Genel Matematik Final 10. Deneme Sınavı
Toplam 18 Soru1.Soru
Ali parasının ini harcadıktan sonra 30 lirası kalıyor. Ali'nin harcama yapmadan önceki parası aşağıdakilerden hangisidir?
|
90 |
|
80 |
|
70 |
|
60 |
|
50 |
2.Soru
Düzlemde y=2x-4 ve y=x+5 doğrularının kesişim noktasından geçen ve eğimi 3 olan doğrunun denklemi aşağıdakilerden hangisidir?
|
y=3x-13
|
|
y=3x+13
|
|
y=3x-9
|
|
y=3x+9
|
|
y=3x-11
|
3.Soru
Verilen fonksiyonlardan hangisi bire-bir ve örtendir?
|
f: IR→IR ; f(x)=x^2-x-2
|
|
f:Z→ Z ; f(x)=x+1
|
|
f:IR→IR ; f(x)=4x-x^2
|
|
f: [0,∞)→IR ; f(x)= √x
|
|
f: Z→Z ; f(x)=4x-1
|
4.Soru
Aşağıdakilerden hangisi belirsiz integral için kullanılan kurallar arasındadır?
|
Eksik kuralı |
|
Bölme kuralı |
|
Sabitle çarpma kuralı |
|
Fonksiyon kuralı |
|
Doğru kuralı |
Belirsiz integral için aşağıdaki kurallar geçerlidir:
1. Sabitle çarpma kuralı
2. Toplam fark kuralı
3. Fark kuralı
Dolayısıyla doğru cevap C'dir.
5.Soru
f (x) =2x(x+2) ise f ' (0) = ?
|
4
|
|
8
|
|
2
|
|
12
|
|
-1
|
6.Soru
Aşağıdaki ifadelerden hangisi yanlıştır?
|
Her sürekli fonksiyonun türevi olmak zorunda değildir.
|
|
İki fonksiyonun toplamının türevi türevlerinin toplamına eşittir.
|
|
Bir fonksiyonun sabit sayıyla çarpımının türevi o fonksiyonun türevinin aynı sabitle çarpımına eşittir.
|
|
Sabit fonksiyonun her noktadaki türevi sıfırdır.
|
|
İki fonksiyonun çarpımının türevi türevlerinin çarpımına eşittir.
|
7.Soru
Aşağıdakilerden hangisi bir irrasyonel sayıdır?
|
-15 |
|
0 |
|
√5 |
|
11/3 |
|
√16 |
-15 bir negatif tamsayı, 11/3 bir rasyonel sayı, 0 bir tamsayı ve √16 ise karesi 16 olan sayı olup 4 e eşittir ve bir tamsayıdır. √5 karesi 5 olan sayı olup böyle bir rasyonel sayı yoktur.
8.Soru
Bir sayının %25'i ile %45'inin toplamı 56 olduğuna göre, bu sayı aşağıdakilerden hangisidir?
|
70
|
|
75
|
|
80
|
|
85
|
|
90
|
10.Soru
fonksiyonunun ortalama değeri kaçtır?
|
-3 |
|
-2 |
|
-1 |
|
0 |
|
1 |
11.Soru
f(x)=x(x-1) ise f ' (4) = ?
|
1
|
|
2
|
|
4
|
|
6
|
|
7
|
12.Soru
f(x)=4x^3+7x fonksiyonunun [0,1] aralığı üzerindeki integralinin değeri kaçtır?
|
7/2
|
|
6
|
|
9/2
|
|
4
|
|
5/2
|
13.Soru
Bir fonksiyonun grafiğinin bir noktadaki teğetinin eğimi 10 ise bu fonksiyonun bu noktadaki türevi kaçtır?
|
0
|
|
Yoktur
|
|
1
|
|
10
|
|
25
|
14.Soru
Aşağıdaki kümelerden hangisi A = { 1, 2, 3, 4 } kümesinin bir alt kümesi değildir?
|
{ 1, 2, 5 }
|
|
NULL (Boş Küme)
|
|
{ 2 }
|
|
{ 1, 2, 3, 4 }
|
|
{ 2, 3 }
|
16.Soru
Bir geometrik dizinin ilk terimi 2/3, ikinci terimi 4 olduğuna göre 5. terimi kaçtır?
|
834
|
|
920
|
|
856
|
|
864
|
|
910
|
17.Soru
Aşağıdakilerden hangisi dizi tanımı olarak verilebilir?
|
Dizi, gerçel sayılar kümesinden doğal sayılar kümesine bir fonksiyondur.
|
|
Dizi, tam sayılar kümesinden rasyonel sayılar kümesine bir fonksiyondur.
|
|
Dizi, her hangi iki küme arasında bir fonksiyondur.
|
|
Dizi “bire-bir” bir fonksiyondur
|
|
Dizi, doğal sayılar kümesinden gerçel sayılar kümesine bir fonksiyondur.
|
18.Soru
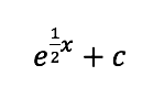
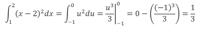
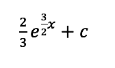
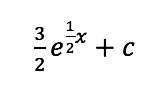
integralinin değeri kaçtır?
|
|
|
|
|
|
|
|
|
|
değişken değişimini uygularsak,
olur ve integralin sınırları
değişeceğinden
elde edilir. Doğru yanıt B seçeneğidir.
-
- 1.SORU ÇÖZÜLMEDİ
- 2.SORU ÇÖZÜLMEDİ
- 3.SORU ÇÖZÜLMEDİ
- 4.SORU ÇÖZÜLMEDİ
- 5.SORU ÇÖZÜLMEDİ
- 6.SORU ÇÖZÜLMEDİ
- 7.SORU ÇÖZÜLMEDİ
- 8.SORU ÇÖZÜLMEDİ
- 9.SORU ÇÖZÜLMEDİ
- 10.SORU ÇÖZÜLMEDİ
- 11.SORU ÇÖZÜLMEDİ
- 12.SORU ÇÖZÜLMEDİ
- 13.SORU ÇÖZÜLMEDİ
- 14.SORU ÇÖZÜLMEDİ
- 15.SORU ÇÖZÜLMEDİ
- 16.SORU ÇÖZÜLMEDİ
- 17.SORU ÇÖZÜLMEDİ
- 18.SORU ÇÖZÜLMEDİ