Genel Matematik Final 17. Deneme Sınavı
Toplam 20 Soru1.Soru
ve
matrisleri verilsin. A=B ise x+y+z=?
|
1 |
|
2 |
|
3 |
|
4 |
|
5 |
İki matrisin eşit olması için aynı satır ve sütundaki elemanlarının eşit olması gereklidir. Böylece x=-1, -z=-1, y=3 olur. x+y+z=-1+3+1=3 bulunur.
2.Soru
120 kilo olan bir kadın düzenli spor yaparak 90 kiloya düştüğüne göre bu kadın kilosunun yüzde kaçını vermiştir?
|
50
|
|
40
|
|
30
|
|
25
|
|
20
|
3.Soru
x^2+4x-5<0 eşitsizliğinin çözüm kümesi aşağıdakilerden hangisidir?
|
(1,∞)
|
|
(-∞,-5)
|
|
[1,5]
|
|
∅
|
|
(-5,1)
|
4.Soru
Bir sayının %40 'ı 64 ise o sayı nedir?
|
160 |
|
180 |
|
200 |
|
240 |
|
320 |
260
5.Soru
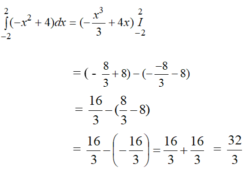
y = -x2 + 4 ile x ekseni arasında kalan alan nedir?
|
4 |
|
16 |
|
3/32 |
|
32/3 |
|
24 |
- x2 + 4 = 0
x2 = 4
x = - 2 ve x = 2 olarak bulunur.
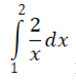
6.Soru
integralinin sonucu aşağıdakilerden hangisidir?
|
0 |
|
ln4 |
|
ln3 |
|
ln2 |
|
ln(3/2) |
Sabit kuralını kullanarak,
sonucuna ulaşılır.
7.Soru
fonksiyonunun
aralığının
bölüntüsüne göre Riemann toplamı kaçtır?
|
|
|
|
|
|
|
|
|
|
İstenen toplam alt aralıkların sağ uçlarındaki değerler dikkate alınarak
olarak hesaplanır. Doğru yanıt D seçeneğidir.
8.Soru
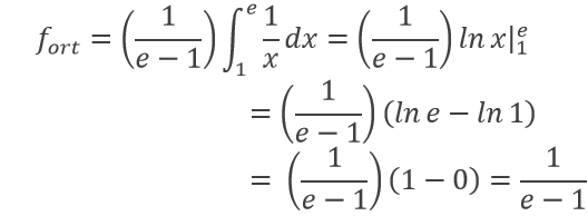
aralığı üzerinde
fonksiyonunun ortalama değeri aşağıdakilerden hangisidir?
|
|
|
|
|
|
|
|
|
|
aralığı üzerinde
fonksiyonunun ortalama değeri
olarak hesaplanır. Doğru cevap E’dir.
9.Soru
Aşağıdakilerden hangisi matrisler için söylenemez.
|
Bir matristeki düz yatay sıraya matrisin satırı denir.
|
|
Sadece bir sütundan oluşan matrise sütun matrisi denir.
|
|
Satır ve sütun sayıları eşit olan matrise kare matris denir.
|
|
Birinci matrisin sütun sayısı, ikinci matrisin satır sayısına eşitse bu iki matris çarpılabilir.
|
|
Matris çarpımının değişme özelliği vardır.
|
10.Soru
f(x)=x^2+3x-5 olmak üzere f'(-1) kaçtır?
|
1
|
|
-5
|
|
-1
|
|
3
|
|
2
|
11.Soru
Bir malın fiyatında %40 indirim yapılıyor. Başlangıç fiyatına göre toplamda % 70 lik bir indirim olması için mevcut fiyatından ne kadar daha indirim yapılmalıdır?
|
%10
|
|
%20
|
|
%30
|
|
%40
|
|
%50
|
12.Soru
x2-2x-8<0 eşitsizliğinin çözüm kümesi aşağıdakilerden hangisidir?
|
(-1,2) |
|
(-2,4) |
|
(-2,5) |
|
[-2,4] |
|
[-2,1) |
13.Soru
f(x)=-x^2-4x+1 olmak üzere f''(x) nedir?
|
-2
|
|
-2x-4
|
|
-2x
|
|
2
|
|
2x
|
15.Soru
Bir mağazada fiyatı 1800 TL olan takım elbisenin fiyatı 1000 TL 'ye düşmüştür. İndirim oranı nedir?
|
%39 |
|
%40 |
|
%42,5 |
|
%44,4 |
|
%50 |
Doğru cevap D seçeneğidir.
16.Soru
% 8 i 20 eden sayı aşağıdakilerden hangisidir?
|
200
|
|
400
|
|
300
|
|
250
|
|
2 00
|
17.Soru
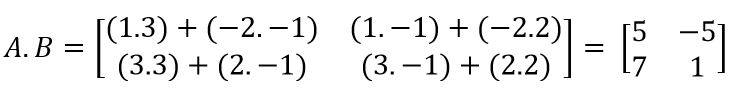
olmak üzere A.B çarpımı aşağıdakilerden hangisidir?
|
|
|
|
|
|
|
|
|
|
olur.
18.Soru
Düzlemde y=2x-4 ve y=-x+5 doğrularının kesişim noktasından geçen ve eğimi 3 olan doğrunun denklemi aşağıdakilerden hangisidir?
|
y=3x-7
|
|
y=3x+5
|
|
y=-3x+1
|
|
y=3x-2
|
|
y=-3x+4
|
19.Soru
Bir bakteri kültüründeki bakteri sayısı her saatte 3 katına çıkmaktadır. Başlangıçta bakteri kültüründeki bakteri sayısı 10 olduğuna göre 5 saat sonra bakteri kültüründeki bakteri sayısı aşağıdakilerden hangisidir?
|
30
|
|
90
|
|
270
|
|
810
|
|
2430
|
20.Soru
Azalan fonksiyonun tanımı aşağıdakilerden hangisidir?
|
a = b iken f (a) < f (b) oluyorsa f (x) fonksiyonuna azalan fonksiyon denir.
|
|
a < b iken f (a) < f (b) oluyorsa f (x) fonksiyonuna azalan fonksiyon denir.
|
|
a < b iken f (a) > f (b) oluyorsa f (x) fonksiyonuna azalan fonksiyon denir.
|
|
a > b iken f (a) > f (b) oluyorsa f (x) fonksiyonuna azalan fonksiyon denir.
|
|
a < b iken f (a) = f (b) oluyorsa f (x) fonksiyonuna azalan fonksiyon denir.
|
-
- 1.SORU ÇÖZÜLMEDİ
- 2.SORU ÇÖZÜLMEDİ
- 3.SORU ÇÖZÜLMEDİ
- 4.SORU ÇÖZÜLMEDİ
- 5.SORU ÇÖZÜLMEDİ
- 6.SORU ÇÖZÜLMEDİ
- 7.SORU ÇÖZÜLMEDİ
- 8.SORU ÇÖZÜLMEDİ
- 9.SORU ÇÖZÜLMEDİ
- 10.SORU ÇÖZÜLMEDİ
- 11.SORU ÇÖZÜLMEDİ
- 12.SORU ÇÖZÜLMEDİ
- 13.SORU ÇÖZÜLMEDİ
- 14.SORU ÇÖZÜLMEDİ
- 15.SORU ÇÖZÜLMEDİ
- 16.SORU ÇÖZÜLMEDİ
- 17.SORU ÇÖZÜLMEDİ
- 18.SORU ÇÖZÜLMEDİ
- 19.SORU ÇÖZÜLMEDİ
- 20.SORU ÇÖZÜLMEDİ