Genel Matematik Final 19. Deneme Sınavı
Toplam 20 Soru1.Soru
Bir sayının %21’i ile %24’ünün toplamı 27 olduğuna göre bu sayı aşağıdakilerden hangisidir?
|
27 |
|
45 |
|
60 |
|
90 |
|
120 |
Aranan sayıya x dersek;
21x/100+24x/100=27
45.x=27.100
x = 60 olur.
2.Soru
İki sayının toplamı 42 dir. Büyük sayı küçük sayının altı katı olduğuna göre bu sayılar aşağıdakilerden hangisidir?
|
6,36
|
|
6,16
|
|
8, 66
|
|
5, 17
|
|
3, 19
|
3.Soru
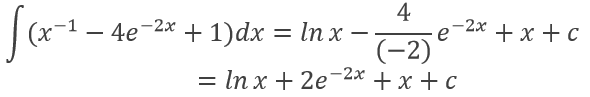
integralinin sonucu aşağıdakilerden hangisidir?
|
x4/4+x+c |
|
x4+x3+c |
|
x3/3-x+c |
|
3x+c |
|
(x+2)4/4 +c |
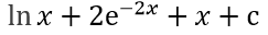
integralinde u=x+2 şeklinde değişken değiştirmesi yapılırsa du=dx olur. Buna göre
olur, burada u=x+2 yazılırsa integral (x+2)4/4 +c bulunur.
4.Soru
(x/y)=5 ve (y/x)^(n/2)=5^0.5 olduğuna göre n kaçtır?
|
-2
|
|
2
|
|
1
|
|
-1
|
|
0.5
|
5.Soru
f (x) = (3 + x^2)^2 fonksiyonunun türevi aşağıdakilerden hangisidir?
|
4x(3 + x^2)
|
|
4x(3 + x)
|
|
4x(3 - x)
|
|
x^2 - 12
|
|
x^2 + 12
|
6.Soru
ve
olmak üzere A.B matrisi aşağıdakilerden hangisidir?
|
|
|
|
|
|
|
|
|
|
İki matrisin çarpılabilmesi için birinci matrisin sütun sayısı ikinci matrisin satır sayısına eşit olmalıdır. Soruda verilen matrislerden birincisi 2x2 ve ikincisi 2x3 boyutunda oldukları için çarpılabilirler. İki matris çarpılırken çarpım matrisinin i. ve j. sütunundaki elemanı bulmak için birinci matrisin i. satırındaki elemanlar ile ikinci matrisin j. sütunundaki elemanlar karşılıklı olarak çarpılıp toplanır. O halde
elde edilir.
7.Soru
Bir yatırımcı 15 000 TL olan parasının % 60 ı ile fiyatı 6 TL olan hisse senedi alıyor. Geriye kalan parası ile de fiyatı 20 TL olan başka bir hisse senedi alıyor. Bir yıl sonra 6 TL olan senet 9 TL ye yükselirken 20 TL olan senet de 18 TL ye düşüyor. Bu yatırımcının bir yıl sonra toplam karı yüzde kaç olmuştur?
|
%26
|
|
%16
|
|
%23
|
|
%30
|
|
%18
|
9.Soru
f(x)=3x4+2x2-x fonksiyonunun f’’(-1) değeri nedir?
|
36 |
|
26 |
|
40 |
|
44 |
|
48 |
f’(x)=12x3+4x-1
f’’(x)=36x2+4
f’’(-1)=40
10.Soru
Gerçel sayılar kümesinden gerçelsayılar kümesine bir f(x) fonksiyon kuralı f(x+1)=f(x) eşitliğiyle verilen özelliğe sahip olsun. Eğer f(1)=5 ise f(0) kaça eşittir?
|
0
|
|
1
|
|
6
|
|
5
|
|
4
|
11.Soru
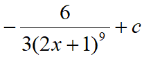
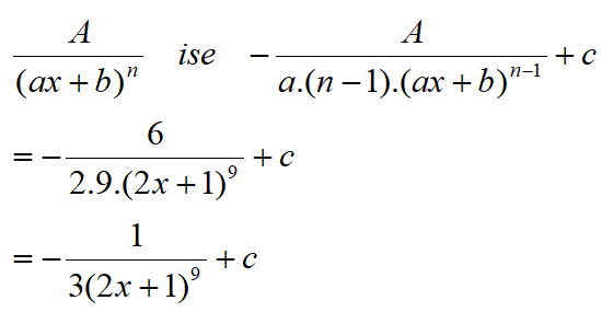
olmak üzere
integralinin sonucu aşağıdakilerden hangisidir?
|
|
|
|
|
|
|
|
|
|
olur. Doğru cevap C’dir.
12.Soru
Aylık %0,8 faiz oranı ve 120 ay vade ile bankadan çekilen 100 000 lira için aylık taksitler kaç lira olur?
|
1188,78
|
|
1296,45
|
|
1359,25
|
|
1400,15
|
|
1498,35
|
13.Soru
6 bin lira %50 ten bileşik faiz ile bir bankaya yatırılısa 1 yıl sonra ne kadar faiz alınır?
|
2
|
|
3
|
|
4
|
|
5
|
|
6
|
14.Soru
Alttan y=x² parabolü, üstten y=x doğrusu ile sınırlı bölgenin alanı kaç br²’dir?
|
1/6
|
|
1/5
|
|
1/4
|
|
1/3
|
|
1/2
|
15.Soru
Bir yatırımcı 5000 TL parasının %20'si ile fiyatı 10 TL olan hisse senedi, geri kalan parası ile fiyatı 40 TL olan başka bir hisse senedi alıyor. Bir ay sonra fiyatı 10 TL olan kağıt 12 TL'ye, fiyatı 40 TL olan kağıt ise 45 TL'ye yükseliyor. Bu yatırımcının toplam kârı yüzde kaç olmuştur?
|
%10
|
|
%11
|
|
%12
|
|
%13
|
|
%14
|
17.Soru
Aşağıda verilen üstel fonksiyonlar ile ilgili bilgilerden hangisi/hangileri doğrudur?
- Üstel fonksiyon grafikleri her zaman (0,1) noktasından geçer.
- Üstel fonksiyon grafikleri her zaman (1,0) noktasından geçer.
- Üstel fonksiyon 1-1 ve örtendir.
- Üstel fonksiyon gerçel sayılardan pozitif gerçel sayılara giden bir fonksiyondur.
|
I-III |
|
II-III |
|
III-IV |
|
I-III-IV |
|
II-III-IV |
18.Soru
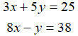
sisteminin çözümü aşağıdakilerden hangisidir?
|
(1, 2) |
|
(2, 5) |
|
(-2, 5) |
|
(1, 0) |
|
(5, 2) |
İkinci denklemde y değişkenini çeker, birinci denklemde yerine yazarsak, y = 8x – 38 , 3x + 5(8x – 38) = 25, 43x – 190 = 25 ise x = 5 olur. Bu durumda y = 8.5 – 38 = 2 olur.
19.Soru
Bir babanın yaşı 3 çocuğunun yaşları toplamına eşittir. En büyük kardeş ortanca kardeşten 3 yaş büyük, küçük kardeşten 7 yaş büyüktür. Babanın yaşı 47 olduğuna göre, ortanca kardeş kaç yaşındadır?
|
19 |
|
18 |
|
17 |
|
16 |
|
10 |
En büyük kardeşin yaşına x dersek,
ortanca kardeş x-3
küçük kardeş x-7 yaşında olur. Kardeşlerin yaşları toplamı babanın yaşına eşit olduğundan,
x+(x-3)+(x-7)=47
3x-10=47
3x=57
x=19 en büyük kardeşin yaşıdır.
x-3=19-3=16 ortanca kardeşin yaşı olur.
Doğru cevap D şıkkıdır.
20.Soru
eln3+ln5 ifadesi neye eşittir?
|
2 |
|
10 |
|
8 |
|
15 |
|
6 |
eln3+ln5 = eln3.eln5 olup şeklinde olup eln3.eln5 =3+5=8'dir. Dolayısıyla doğru cevap C'dir.
-
- 1.SORU ÇÖZÜLMEDİ
- 2.SORU ÇÖZÜLMEDİ
- 3.SORU ÇÖZÜLMEDİ
- 4.SORU ÇÖZÜLMEDİ
- 5.SORU ÇÖZÜLMEDİ
- 6.SORU ÇÖZÜLMEDİ
- 7.SORU ÇÖZÜLMEDİ
- 8.SORU ÇÖZÜLMEDİ
- 9.SORU ÇÖZÜLMEDİ
- 10.SORU ÇÖZÜLMEDİ
- 11.SORU ÇÖZÜLMEDİ
- 12.SORU ÇÖZÜLMEDİ
- 13.SORU ÇÖZÜLMEDİ
- 14.SORU ÇÖZÜLMEDİ
- 15.SORU ÇÖZÜLMEDİ
- 16.SORU ÇÖZÜLMEDİ
- 17.SORU ÇÖZÜLMEDİ
- 18.SORU ÇÖZÜLMEDİ
- 19.SORU ÇÖZÜLMEDİ
- 20.SORU ÇÖZÜLMEDİ