Genel Matematik Final 2. Deneme Sınavı
Toplam 18 Soru3.Soru
Sezon fiyatı 120 lira olan bir malın indirim sezonunda fiyatı 96 liradır. Buna göre malın fiyatında yüzde kaç indirim yapılmıştır?
|
20
|
|
25
|
|
35
|
|
55
|
|
40
|
4.Soru
Ortak çarpanı 3, ilk terimi 4 olan geometrik dizinin beşinci terimi aşağıdakilerden hangisidir?
|
324
|
|
300
|
|
240
|
|
220
|
|
180
|
5.Soru
Bir bankanın 6 aylık faiz oranı %1,8 ise yıllık bileşik faiz oranı ne olur?
|
(1.018)^6
|
|
(1.018)^5
|
|
(1.018)^2
|
|
(1.018)^9
|
|
(1.018)
|
6.Soru
x=2^5, y=2^(-5), z=2^15, t=1 olmak üzere, x,y,z ve t sayılarının büyükten küçüğe doğru sıralanışı aşağıdakilerin hangisinde doğru olarak verilmiştir?
|
x>z>y>t
|
|
x>y>t>z
|
|
z>x>y>t
|
|
z>x>t>y
|
|
t>y>z>x
|
7.Soru
2x2-11x-21<0 eşitsizliğinin çözüm kümesi hangisidir?
|
|
|
|
|
|
|
|
|
|
8.Soru
Bir sayının %18 ile %20 sinin toplamı 76 olduğuna göre bu sayı aşağıdakilerden hangisidir?
|
300
|
|
200
|
|
150
|
|
100
|
|
50
|
9.Soru
ise 4A matrisi aşağıdakilerden hangisidir?
|
|
|
|
|
|
|
|
|
|
Doğru cevap D'dir.
11.Soru
Bir şirket yöneticisi ürün fiyatlarında %20 indirim yapınca, satılan ürün sayısı %40 artmıştır. Bu duruma göre şirketin kasasına giren para ilk duruma göre nasıl değişir?
|
%4 artar |
|
Değişmez |
|
% 10 artar |
|
% 12 artar |
|
%20 artar |
Başlangıçtaki ürün sayısı x olsun, ürünün tanesi 100 TL’den satıldığında 100x TL kadarlık kasaya para girecektir. Ürün fiyatı %20 indirim ile 80 TL olduğunda ise ürün sayısı %40 arttığına göre x+(40/100)x=140x/100 olur. O halde son durumda şirket kasasına 80.(140x/100)= 112x TL girer. 100x’den 112x’e değişim ise %12 artar olarak yorumlanabilir.
12.Soru
f(x) = 3(x)^2 – 10x +3 ise f''(x) değeri aşağıdakilerden hangisidir?
|
1 |
|
6 |
|
2 |
|
5 |
|
3 |
f'(x)=6x-10 ve f''(x)=6 olduğundan ikinci mertebeden türev her x sayısı için 6 değerine sahip olur. Özel olarak x = 1 içinde f''(1)=6 olur. Dolayısıyla doğru cevap B'dir.
13.Soru
Ali’ye kaç kardeşin var diye sormuşlar. Ali kız kardeşlerimin sayısı erkek kardeşlerimin sayısının iki katı demiş. Ali’nin kardeşi Fatma’ya kaç kardeşin var diye sormuşlar. Kız kardeşlerimin üç eksiği kadar erkek kardeşim var demiş. Bu ailede kaç kız kaç erkek çocuk vardır?
|
4 Erkek 6 Kız |
|
6 Erkek 10 Kız |
|
6 erkek 12 Kız |
|
5 Erkek 10 kız |
|
4 Erkek 12 Kız |
Erkeklerin sayısına x, kızların sayısına y diyelim. Ali hariç kız kardeşlerin sayısı erkeklerin iki katı olduğundan 2(x-1)=y yazılabilir. Fatma hariç kız kardeşlerin sayısının 2 eksiği kadar erkek olduğuna göre (y-1)-3=x yazılabilir. Iki denklem çözülürse x=6 ve y=10 bulunur. Doğru cevap B'dir.
14.Soru
Yaptığı parça iş sayısı kadar ücret almak için anlaşan bir işçi ayda ortalama 50 parça iş yapabilmektedir. Bu işçi için en avantajlı ortalama aylık ücret alma şekli aşağıdakilerden hangisinde verilmiştir?
|
Her 1 parça iş için 90 TL |
|
Her 50 parça iş için 5000 TL |
|
İlk 25 parça iş için 2000TL, ikinci 25 parça iş için 3250 TL |
|
İlk 10 parça iş için 500TL, ikinci 10 parça için 800TL şeklinde her bir sonraki 10 parça iş için 300TL artacak şekilde ücret |
|
İlk 10 parça iş için 20 TL, ikinci 10 parça iş için 202 TL şeklinde her bir sonraki 10 parça iş için 20’nin kuvvetleri şeklinde artan bir ücret |
Aylık ortalama 50 parça iş yaptığı düşünülürse
A seçeneği için aylık ücreti: 50x90 = 4500TL olacaktır
B seçeneği için aylık ücreti: 5000TL olacaktır
C seçeneği için aylık ücreti: 2000TL + 3250TL=5250TL olacaktır
D seçeneği için aylık ücreti:
500TL + 800TL + 1100TL + 1400TL + 1700TL = 5500TL
E seçeneği için aylık ortalama ücreti:
5 + 52 + 53 + 54 + 55 = 5 + 25 + 125 + 625 +3125 = 3905 TL
Bu durumda en avantajlı aylık ücret 5500TL olacaktır.
Doğru cevap D seçeneğinde verilmiştir.
15.Soru
f(x)=x^2-3x fonksiyonunun artan olduğu aralığı bulunuz?
|
IR
|
|
(-sonsuz, -3/2)
|
|
(-3/2, sonsuz)
|
|
(-sonsuz,3/2)
|
|
(3/2,sonsuz)
|
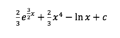
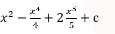
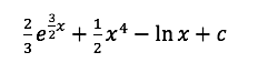
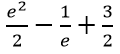
16.Soru
integralinin değeri kaçtır?
|
|
|
|
|
|
|
|
|
|
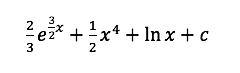
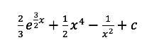
Gerekli integral kurallarıyla
bulunur. Doğru yanıt D seçeneğidir.
17.Soru
Bir bankanın aylık faiz oranı %1,35 ise yıllık faiz oranı kaçtır?
|
1,02 |
|
1,12 |
|
1,17 |
|
1,24 |
|
1,35 |
Aylık %1,35 faiz oranı ile 1 TL’nin 12 ay sonra kaç TL olacağını hesaplayacağız: r=0,0135, n=12 ve P=1 alırsak
bulunur. Doğru cevap C'dir.
18.Soru
Can’ın 80 TL parası vardır. Can 30 TL harcayarak bir gömlek alıyor. Can geriye kalan parası ile tanesi 8 TL olan çoraplardan en fazla kaç tane satın alabilir?
|
4 |
|
5 |
|
6 |
|
7 |
|
8 |
Can’ın çorap satın almak için 80-30=50 TL parası kalmıştır. Can’ın satın alacağı çorap sayısı x ile gösterilsin.
-
- 1.SORU ÇÖZÜLMEDİ
- 2.SORU ÇÖZÜLMEDİ
- 3.SORU ÇÖZÜLMEDİ
- 4.SORU ÇÖZÜLMEDİ
- 5.SORU ÇÖZÜLMEDİ
- 6.SORU ÇÖZÜLMEDİ
- 7.SORU ÇÖZÜLMEDİ
- 8.SORU ÇÖZÜLMEDİ
- 9.SORU ÇÖZÜLMEDİ
- 10.SORU ÇÖZÜLMEDİ
- 11.SORU ÇÖZÜLMEDİ
- 12.SORU ÇÖZÜLMEDİ
- 13.SORU ÇÖZÜLMEDİ
- 14.SORU ÇÖZÜLMEDİ
- 15.SORU ÇÖZÜLMEDİ
- 16.SORU ÇÖZÜLMEDİ
- 17.SORU ÇÖZÜLMEDİ
- 18.SORU ÇÖZÜLMEDİ