Genel Matematik Final 28. Deneme Sınavı
Toplam 20 Soru1.Soru
olduğuna göre ln125 kaçtır?
|
3,218 |
|
0,804 |
|
0,503 |
|
4,827 |
|
5,342 |
olur.
2.Soru
Haftalık harçlığı 30 TL olan bir çocuğun 156 TL olan tableti bir ay sonra alabilmesi için harçlığı aylık yüzde kaç artırılmalıdır?
|
%20
|
|
%25
|
|
%30
|
|
%35
|
|
%40
|
3.Soru
İlk terimi 4, ortak çarpanı 3 olan bir geometrik dizinin 4. Terimi kaçtır?
|
324
|
|
108
|
|
64
|
|
48
|
|
36
|
4.Soru
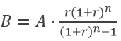
Aylık %0,80 faiz oranıyla bir bankadan çekilen 100000 TL kredi, aylık 2000 TL taksitle geri ödenmek istenirse borç kay ay sonra biter?
|
52 |
|
56 |
|
60 |
|
64 |
|
68 |
Aşağıdaki borç amortismanı denkleminde verilenleri yerine yazıp sonra denklemi zaman dilimi için çözmeliyiz. Borç amortismanı denklemi
ile verilmişti, burada B=2000, A=100000, r=0,008 olarak belirlidir ve n sayısını bulmalıyız. Yani,
denklemini çözmeliyiz.
Yani borç 64 ay sonra biter. Doğru cevap D'dir.
5.Soru
f(x)=x³-3x²+1 fonksiyonu aşağıdaki aralıkların hangisinde azalandır?
|
[2,3]
|
|
[-1,0]
|
|
[3,4]
|
|
[-2,-1]
|
|
[0, 2]
|
6.Soru
Bir bankadan %1,29 aylık faiz oranı ve 36 ay vade ile 20000 TL tüketici kredisi çekilirse, aylık geri ödeme taksitleri ne kadar olur?
|
685,88 |
|
695,88 |
|
705,88 |
|
715,88 |
|
725,88 |
borç amortismanı formülünde n=36, r=0,0129, A=20000 değerleri kullanılarak
bulunur. Doğru cevap B'dir.
7.Soru
Bir A sayısı %P azaltılırsa sonuç kaç olur?
|
100*A-A*P
|
|
(A-P)/100
|
|
A-P/100
|
|
(100*A-A*P)/100
|
|
(100*A+A*P)/100
|
8.Soru
R gerçel sayılar kümesi evrensel küme ve
A ={x|2x≥14,x∈R} olmak üzere At kümesi aşağıdakilerden hangisidir?
|
[7,∞) |
|
(-∞,7) |
|
(-∞,7] |
|
{…,5,6,7} |
|
{7,8,9,…} |
9.Soru
log20 + log8 – 4log2 ifadesinin değeri aşağıdakilerden hangisidir?
|
-1 |
|
1 |
|
0 |
|
2 |
|
-2 |
sonucu elde edilir. Doğru cevap B'dir.
10.Soru
Yüz binin 10 tabanına göre logaritması kaçtır?
|
2 |
|
4 |
|
5 |
|
6 |
|
8 |
100000=105 dir. 10 tabanında log10105=5 olarak hesaplanır.
11.Soru
f (x) = 6x^2-10x fonksiyonunun x = 2 noktasındaki ikinci mertebeden türevi nedir?
|
6
|
|
12
|
|
-2
|
|
2
|
|
4
|
12.Soru
f(x)=x2-6x+2 fonksiyonu hangi aralık üzerinde artandır?
|
(3, ∞) |
|
(-3, ∞) |
|
(1, ∞) |
|
(-∞, 1) |
|
(-∞, -1) |
f'(x)=2x-6=0 dersek, x=3 kritik noktasını buluruz. x>3 iken f'(x)>0 ve x<3 iken f'(x)<0 olduğuna göre f fonksiyonu (3, ∞) aralığında artandır. Doğru cevap A'dır.
13.Soru
f(x)=2x^2+8x-4 fonksiyonu için aşağıdakilerden hangisi yanlıştır?
|
Fonksiyonun ekstremum noktası vardır.
|
|
x=-2 noktası yerel maksimum noktasıdır.
|
|
Yerel minimum değeri -12'dir.
|
|
Fonksiyonun artan olduğu aralık (-2, ∞) aralığıdır.
|
|
Fonksiyonun azalan olduğu aralık (-∞,-2) aralığıdır.
|
14.Soru
3 aylık dönemin enflasyon oranı % 0,8 olan bir ülkede 5 yıllık enflasyon oranı yüzde kaçtır?
|
%1,7
|
|
%17
|
|
%2,7
|
|
%27
|
|
%3,7
|
15.Soru
3 katının 10 fazlası karesinden büyük olan sayılar kümesi aşağıdakilerden hangisidir?
|
(-1,3)
|
|
(-2,5)
|
|
(-3,3)
|
|
(-3,4)
|
|
(-1,6)
|
16.Soru
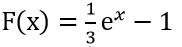
fonksiyonu aşağıdakilerden hangisidir?
|
|
|
|
|
|
|
|
|
|
şeklinde bir fonksiyon olur.
koşulunu sağladığı için
buradan
bulunur.
olur. Doğru cevap E’dir.
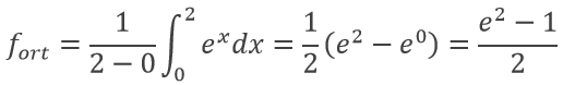
17.Soru
fonksiyonunun
aralığındaki ortalama değeri nedir?
|
|
|
|
|
|
|
|
|
|
Fonksiyonun ortalama değeri
bulunur. Doğru yanıt A seçeneğidir.
18.Soru
7x-5y=13 ve -4x+10y=-16 şeklinde verilen doğrusal denklem sistemi çözüldüğünde x+y kaç olur?
|
-6/5
|
|
1
|
|
-12/11
|
|
-1/5
|
|
2
|
19.Soru
x-2y=1 , x+3y=-4 sistemini yerine koyma yöntemi ile çözünüz
|
(-1,-1)
|
|
(-1,1)
|
|
(1,-1)
|
|
(1,1)
|
|
(1,0)
|
20.Soru
-2x+3(x+5)≥4 eşitsizliğinin çözüm kümesi aşağıdakilerden hangisidir?
|
[11,∞)
|
|
[-11,∞)
|
|
(-∞,-11]
|
|
(-∞,11]
|
|
[-14,-11]
|
-
- 1.SORU ÇÖZÜLMEDİ
- 2.SORU ÇÖZÜLMEDİ
- 3.SORU ÇÖZÜLMEDİ
- 4.SORU ÇÖZÜLMEDİ
- 5.SORU ÇÖZÜLMEDİ
- 6.SORU ÇÖZÜLMEDİ
- 7.SORU ÇÖZÜLMEDİ
- 8.SORU ÇÖZÜLMEDİ
- 9.SORU ÇÖZÜLMEDİ
- 10.SORU ÇÖZÜLMEDİ
- 11.SORU ÇÖZÜLMEDİ
- 12.SORU ÇÖZÜLMEDİ
- 13.SORU ÇÖZÜLMEDİ
- 14.SORU ÇÖZÜLMEDİ
- 15.SORU ÇÖZÜLMEDİ
- 16.SORU ÇÖZÜLMEDİ
- 17.SORU ÇÖZÜLMEDİ
- 18.SORU ÇÖZÜLMEDİ
- 19.SORU ÇÖZÜLMEDİ
- 20.SORU ÇÖZÜLMEDİ