Genel Matematik Final 31. Deneme Sınavı
Toplam 20 Soru1.Soru
Bir sayının %19'u ile %29’unun toplamı 24 olduğuna göre, bu sayı aşağıdakilerden hangisidir?
|
50
|
|
48
|
|
52
|
|
46
|
|
54
|
2.Soru
Sezon fiyatı 70 lira olan bir malın indirim sezonunda fiyatı %30 indirilmiştir. Buna göre malın indirimli fiyatı kaç liradır?
|
49
|
|
50
|
|
40
|
|
35
|
|
60
|
3.Soru
Kartondan yapılmış bir dikdörtgenin uzun kenarının uzunluğu kısa kenarının uzunluğunun 3 katından 2 eksiktir. Bu dikdörtgenin kısa kenarından, bir kenarı kısa kenar uzunluğu kadar olan bir kare kesilip alınıyor. Kalan dikdörtgenin alanı 12 br² olduğuna göre başlangıçta dikdörtgenin uzun kenarının uzunluğu kaç birimdir?
|
5
|
|
6
|
|
7
|
|
8
|
|
9
|
5.Soru
Kendisiyle çarpımının üç fazlası, kendisinin dört katından küçük olan sayıların kümesi aşağıdakilerden hangisidir?
|
[1,3] |
|
(1,3) |
|
(1,3] |
|
(-∞,∞) |
|
∅ |
6.Soru
Konum fonksiyonu f(t)=10t2 (metre) olan bir cismin [2,4] saniyelik zaman aralığındaki ortalama hızı ne olur?
|
50 |
|
60 |
|
70 |
|
80 |
|
90 |
Ortalama hızın tanımını kullanarak,
olarak elde edilir. Cevap B seçeneğidir.
7.Soru
Konum fonksiyonu f (t) = 17t2 (metre) olan bir otomobilin [0, 3] saniyelik zaman aralığındaki ortalama hızı kaç m/s’dir?
|
50 |
|
51 |
|
52 |
|
53 |
|
54 |
Bir doğru üzerinde hareket eden bir cismin katettiği yol, zamanın fonksiyonu olarak f(t) ile gösterilir ve buna konum fonksiyonu denir. Bu cismin [t1, t2] gibi bir zaman aralığındaki ortalama hızı
oranı ile hesaplanır. Bu durumda konum fonksiyonu f(t) = 17t2 olan otomobilin [0, 3] saniyelik zaman aralığındaki ortalama hızı
bulunur. Doğru cevap B'dir.
8.Soru
f(x)=5x^2-3x-10 fonksiyonunun x=2 noktasındaki limiti kaçtır?
|
4
|
|
5
|
|
6
|
|
7
|
|
8
|
9.Soru
f (x) = 2x^2 - x fonksiyonuna x=1 noktasında teğet olan doğrunun denklemi aşağıdakilerden hangisidir?
|
y = 3x -2
|
|
y = 3x + 3
|
|
y = 3x - 1
|
|
y =3x + 2
|
|
y = 5x -2
|
10.Soru
20 sayısının yüzde kaçı, 50 sayısının %80 dır?
|
300
|
|
250
|
|
200
|
|
150
|
|
50
|
11.Soru
Bir kümeste toplam 10 adet tavuk ve tavşan bulunmaktadır. Bu hayvanların ayak sayıları toplamı 36 olduğuna göre, kümeste kaç tavuk vardır?
|
2 |
|
3 |
|
4 |
|
5 |
|
6 |
Bu problem için x tavuk sayısını, y tavşan sayısını ifade etmek üzere, x+y=10 ve 2x+4y=36 olmak üzere iki bilinmeyenli iki denklem kurulur. Birinci denklemde y=10-x eşitliği ikinci denklemde yerine konulursa, 2x+4(10-x)=36 olur. Buradan x=2 elde edilir.
12.Soru
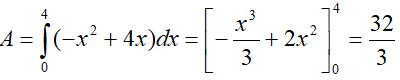
fonksiyonu ile x-ekseni arasında kalan alan nedir?
|
1 |
|
32/3 |
|
35/3 |
|
13/3 |
|
-1 |
olmak üzere, istenen bölgenin alanı,
integralidir. Buna göre
elde edilir.
13.Soru
Aşağıda verilen doğrulardan hangisi y=3x-4 doğrusuna paraleldir?
|
y=-x+2
|
|
y=x+3
|
|
y=2x-3
|
|
y=5x-4
|
|
y=3x+7
|
14.Soru
-x+2z=5x+y+z=43x-y=3 denklem sisteminin çözümü aşağıdakilerden hangisidir?
|
(1,0,1)
|
|
(1,2,2)
|
|
(1,1,2)
|
|
(2,2,1)
|
|
(1,0,3)
|
16.Soru
Sezon fiyatı 275 TL olan çantanın fiyatı indirimde 199 TL'ye düşmektedir. bu durumda çantadaki indirim oranı aşağıdakilerden hangisidir?
|
%27.64
|
|
%31.24
|
|
%28.8
|
|
%25
|
|
%26.34
|
17.Soru
’inin 4 eksiği 12’den büyük olan sayıların kümesi aşağıdakilerden hangisidir?
|
(30,∞) |
|
(-∞,30) |
|
(90,∞) |
|
(-∞,90) |
|
(100,∞) |
18.Soru
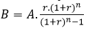
Bir bankadan %1,5 aylık faiz oranı ve 36 ay vade ile 10.000TL ihtiyaç kredisi çeken bir kişi geri ödemelerinde aylık ne kadar öder?
|
150 |
|
180,25 |
|
278 |
|
362 |
|
498 |
Geri ödeme borç amortismanı formülünde
verilenler yerine yazılırsa; n=36 r=0,015 A=10000 için
B= 361,52 = 362 olur.
19.Soru
Bir alışveriş mağazasında 100 liraya satılan bir ürünün fiyatına önce %30 indirim daha sonra indirimli fiyat üzerinden %40 indirim yapılırsa bu ürünün satış fiyatı kaç lira olur?
|
30
|
|
36
|
|
42
|
|
56
|
|
70
|
20.Soru
Bir sayının %15'i ile %25’inin toplamı 24 olduğuna göre bu sayı aşağıdakilerden hangisidir?
|
36 |
|
42 |
|
46 |
|
48 |
|
60 |
Aranan sayıya x diyelim. Bu sayının, %15'i x.15/100 ve %25'i x.25/100 olduğundan toplamları, (15x+25x)/100=40x/100 olur. Toplamları 24 olduğuna göre, 40x/100=24 ise x=60 olur.
-
- 1.SORU ÇÖZÜLMEDİ
- 2.SORU ÇÖZÜLMEDİ
- 3.SORU ÇÖZÜLMEDİ
- 4.SORU ÇÖZÜLMEDİ
- 5.SORU ÇÖZÜLMEDİ
- 6.SORU ÇÖZÜLMEDİ
- 7.SORU ÇÖZÜLMEDİ
- 8.SORU ÇÖZÜLMEDİ
- 9.SORU ÇÖZÜLMEDİ
- 10.SORU ÇÖZÜLMEDİ
- 11.SORU ÇÖZÜLMEDİ
- 12.SORU ÇÖZÜLMEDİ
- 13.SORU ÇÖZÜLMEDİ
- 14.SORU ÇÖZÜLMEDİ
- 15.SORU ÇÖZÜLMEDİ
- 16.SORU ÇÖZÜLMEDİ
- 17.SORU ÇÖZÜLMEDİ
- 18.SORU ÇÖZÜLMEDİ
- 19.SORU ÇÖZÜLMEDİ
- 20.SORU ÇÖZÜLMEDİ