Genel Matematik Final 32. Deneme Sınavı
Toplam 20 Soru1.Soru
f: R › R^+ , f(x)= 7^x fonksiyonu için (f(x+1))/(f(x-1)) ifadesinin değeri kaça eşittir?
|
49
|
|
14
|
|
7
|
|
1/7
|
|
1/49
|
2.Soru
Bir kişinin 15000TL parası vardır ve bu parayı yıllık %13 bileşik faiz oranıyla bankaya yatırmak istemektedir. Yaklaşık olarak kaç yıl sonra bankadaki hesap tutarı 4 katına çıkar?
|
9
|
|
10
|
|
11
|
|
12
|
|
13
|
3.Soru
y = f(x) = √(5x+10) şeklinde tanımlı f fonksiyonunun tanım kümesi aşağıdakilerden hangisine eşittir?
|
[-2,∞)
|
|
[-∞,2]
|
|
(-2,∞)
|
|
(-∞,2)
|
|
2
|
4.Soru
matrislerinin çarpımı aşağıdakilerden hangisidir?
|
[5 2] |
|
[2 2] |
|
[5 5] |
|
[2 5] |
|
[5 0] |
5.Soru
Bir sayının %12'si ile %18'inin toplamı 54 olduğuna göre, bu sayı aşağıdakilerden hangisidir?
|
80 |
|
90 |
|
180 |
|
200 |
|
250 |
Bu sayı x olsun. Sayının %18'i 18x/100' e eşittir. Soruya göre
(12x+18x)/100=30x/100=54 ise x=5400/30=180 olur.
6.Soru
A şehrinden Cşehrine 120 km ilerleyen bir araç, B ve C şehirlerinin orta noktasına, C şehrinden A şehrine doğru 150 km ilerleyen bir araç A ve B şehirlerinin orta noktasına ulaşıyor. A ile C şehirlerinin arası kaç km 'dir?
|
50 |
|
60 |
|
70 |
|
80 |
|
90 |
şekli ele alırsak;
2x+y=120
2y+x=150
denkelemlerini ortak çözersek sonuç=60 elde edilir.
7.Soru
|
%5 kar etmiştir |
|
%5 zarar etmiştir |
|
%10 kar etmiştir |
|
%10 zarar etmiştir |
|
Kar veya zarar etmemiştir |
8.Soru
Konumu f(t)=2t^2+3t-1 fonksiyonu ile verilen cismin t=3 anındaki hızı nedir?
|
26
|
|
16
|
|
15
|
|
10
|
|
5
|
9.Soru
Etiket fiyatı üzerinden %25 indirimle aldığı bir malı aldığı fiyat üzerinden %10 karla satan bir satıcının karı etiket fiyatının yüzde kaçıdır?
|
2,5
|
|
3,5
|
|
2
|
|
3
|
|
5
|
10.Soru
A={a,b,c,d} ve B={c,d,e,f,g} ise A∩B aşağıdakilerden hangisidir?
|
{a,b,c,d,e,f,g}
|
|
{c,d}
|
|
{a,b,c}
|
|
{e,f,g}
|
|
{c}
|
11.Soru
f(x) = x3 fonksiyonunun ikinci mertebeden türevi nedir?
|
6x |
|
6x2 |
|
3x2 |
|
6 |
|
3x |
f(x) fonksiyonunun ikinci mertebeden türevi, f'(x) = 3x2 fonksiyonunun türevi olduğundan f''(x) = 6x bulunur. Doğru cevap A'dır.
12.Soru
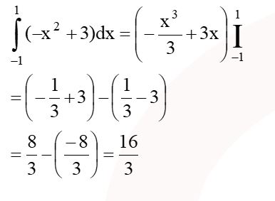
f (x) = -x2+3 parabolü ile x = -1 ve x = 1 doğruları arasında kalan alan kaç br2 dir?
|
|
|
0 |
|
|
|
|
|
|
Verilen parabolün integrali alınır.Sınırlar verilmiş.
13.Soru
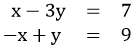
denklem sisteminin çözüm kümesi aşağıdakilerden hangisidir?
|
{(-17, -8)} |
|
{(17, 8)} |
|
{(-17, 8)} |
|
{(-17, 17)} |
|
|
Verilen iki denklemi taraf tarafa toplarsak,x-3y-x+y=7+9 eşitliği elde edilir. Bu eşitliği düzenlersek; -2y=16 buradan da y=-8 bulunur. Bu y değerini ikinci denklemde yerine yazarsak, -x-8=9 eşitliğinden x=-17 bulunur. Böylece aranan çözüm kümesi {(-17, -8)} dir.
14.Soru
Aylık faiz oranı %0,75 olduğu bir ülkede enflasyon oranı kaçtır?
|
%2 |
|
%3 |
|
%4 |
|
%5 |
|
%6 |
formülünde verilenler r=%0,0075, n=12 ve P=1 için yerine yazılırsa;
olur. Yıllık enflasyon oranı %2 olarak elde edilir.
15.Soru
%15 zararla 170 liraya satılan bir mal, %15 kârla kaç liraya satılır?
|
185
|
|
200
|
|
215
|
|
220
|
|
230
|
16.Soru
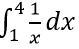
integralinin değeri kaçtır?
|
|
|
|
|
|
|
|
|
|
elde edilir. Doğru yanıt B seçeneğidir.
17.Soru
f(x)=2x-x^2 fonksiyonunun [0,2] aralığı üzerindeki ortalama değeri nedir?
|
1/2
|
|
1/3
|
|
2/3
|
|
3/4
|
|
3/8
|
18.Soru
Aylık faiz oranının %1,15 olduğu bir bankadan 24 ay vade ile 40000 TL kredi çekildiğinde, aylık geri ödeme taksitleri ne kadar olur?
|
1.914,74 TL
|
|
1.915,74 TL
|
|
1.916,74 TL
|
|
1.917,74 TL
|
|
1.918,74 TL
|
19.Soru
A=[1 2] ve B= [3 -1] olmak üzere A-B matrisi aşağıdakilerden hangisidir?
|
[-2 3]
|
|
[2 3]
|
|
[-1 3]
|
|
[-1 1]
|
|
[4 3]
|
20.Soru
Bir bankadan %1, 01 aylık faiz oranı ve 32 ay vade ile 20000 TL tüketici kredisi çekilirse, aylık geri ödeme taksitleri yaklaşık olarak ne kadar olur?
|
784,32
|
|
408,95
|
|
704,65
|
|
74,25
|
|
734,55
|
-
- 1.SORU ÇÖZÜLMEDİ
- 2.SORU ÇÖZÜLMEDİ
- 3.SORU ÇÖZÜLMEDİ
- 4.SORU ÇÖZÜLMEDİ
- 5.SORU ÇÖZÜLMEDİ
- 6.SORU ÇÖZÜLMEDİ
- 7.SORU ÇÖZÜLMEDİ
- 8.SORU ÇÖZÜLMEDİ
- 9.SORU ÇÖZÜLMEDİ
- 10.SORU ÇÖZÜLMEDİ
- 11.SORU ÇÖZÜLMEDİ
- 12.SORU ÇÖZÜLMEDİ
- 13.SORU ÇÖZÜLMEDİ
- 14.SORU ÇÖZÜLMEDİ
- 15.SORU ÇÖZÜLMEDİ
- 16.SORU ÇÖZÜLMEDİ
- 17.SORU ÇÖZÜLMEDİ
- 18.SORU ÇÖZÜLMEDİ
- 19.SORU ÇÖZÜLMEDİ
- 20.SORU ÇÖZÜLMEDİ