Genel Matematik Final 5. Deneme Sınavı
Toplam 20 Soru2.Soru
Üstel fonksiyonla ilgili aşağıdaki ifadelerden hangisi doğrudur?
|
a pozitif bir gerçel sayı olmak üzere f(x)=a^x şeklinde tanımlanan fonksiyona üstel fonksiyon denir.
|
|
a bir gerçel sayı olmak üzere f(x)=a^x şeklinde tanımlanan fonksiyona üstel fonksiyon denir.
|
|
a pozitif bir gerçel sayı olmak üzere f(x)=x^a şeklinde tanımlanan fonksiyona üstel fonksiyon denir.
|
|
a pozitif bir gerçel sayı ve a≠1 olmak üzere f(x)=a^x şeklinde tanımlanan fonksiyona üstel fonksiyon denir.
|
|
a pozitif bir gerçel sayı ve a≠1 olmak üzere f(x)=x^a şeklinde tanımlanan fonksiyona üstel fonksiyon denir.
|
3.Soru
f(x)=3x-5 fonksiyonu veriliyor. f(5)-3f(2) kaça eşittir?
|
-15 |
|
-9 |
|
7 |
|
11 |
|
17 |
f(x)=3x-5 fonksiyonunda x yerine 5 ve 2 konularak f(5) ve f(2) fonksiyonlarının değerleri hesaplanır ve f(5)=3.5-5=10 ve f(2)=3.2-5=1 olur. Böylece f(5)-3f(2)=10-3.1=7 olur.
4.Soru
Bir kümenin tüm altkümelerinin sayısı 32 olduğuna göre bu kümenin eleman sayısı kaçtır?
|
4 |
|
5 |
|
6 |
|
7 |
|
3 |
Dolayısıyla doğru cevap B'dir.
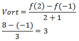
5.Soru
f(t)=3t2-4 kuralı ile verilen hareket eden bir cismin [2, -1] aralığındaki ortalama hızı nedir?
|
2 |
|
-3 |
|
9 |
|
7 |
|
3 |
6.Soru
Yeni sezon fiyatı 160 TL olan bir pantolonun fiyatı sezon sonunda 96 TL’ye düşmüştür. Bu durumda ayakkabıdaki indirim oranı aşağıdakilerden hangisidir?
|
%10 |
|
%20 |
|
%30 |
|
%40 |
|
%50 |
Pantolonun fiyatında oluşan mutlak değişim 160 – 96 = 64 TL’dir. Dolayısıyla yüzde değişim oranı 64/160 TL’dir. Bu da 40/100 = %40 olur.
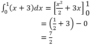
7.Soru
integralinin değeri aşağıdakilerden hangisidir?
|
3/2 |
|
2 |
|
5/2 |
|
7/2 |
|
3 |
Önce
belirsiz integrali hesaplanırsa
olur. Burada c=0 alınır ve belirli integrale geçilirse
olur.
8.Soru
Bir kırtasiyede kalemler X ve Y etiketli paketler halinde satışa sunulmaktadır. X etiketli paketlerin her biri 7 adet kırmızı ve 21 adet mavi yazan kalemler içerirken, Y etiketli paketlerin her biri 16 adet kırmızı ve 13 adet mavi yazan kalemler içermektedir. k adet X etiketli ve r adet Y etiketli paketten satın alındığında, 596 adet kırmızı ve 668 adet mavi yazan (ne fazla ne eksik ) kalem elde edilmiştir. Bu durumda r sayısı aşağıdakilerden hangisidir?
|
30
|
|
31
|
|
32
|
|
33
|
|
Hiç biri.
|
9.Soru
f (x) = x3 - 3x fonksiyonunun grafiğine (2, 2) noktasında çizilecek teğet doğrusunun denklemi aşağıdakilerden hangisidir?
|
y = 9x - 16
|
|
y = -9x +16
|
|
y = 9x - 2
|
|
y = 9x + 2
|
|
y = -9x + 2
|
10.Soru
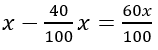
600 TL’lik bir takım elbise indirimle 420 TL’ye düşmüştür. Takım elbiseye yüzde kaç indirim yapılmıştır?
|
15 |
|
20 |
|
25 |
|
30 |
|
35 |
420=600-600x/100 olur. Buradan 420=600-6x olur. Sonuçta x=30 elde edilir.
11.Soru
Aşağıdaki ifadelerden hangisi yanlıştır?
|
Aynı boyutlu 2 satır matris çarpılamaz.
|
|
Kare olmayan 2 matris toplanamaz.
|
|
Bir kare matris ile aynı boyutlu bir sıfır matrisin çarpımı sıfır matristir.
|
|
Her matrisin ters matrisi olmak zorunda değildir.
|
|
Birim matrisi tersi vardır ve kendisidir.
|
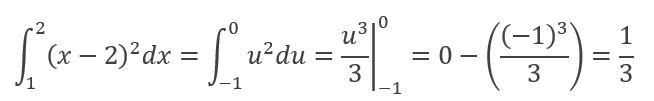
12.Soru
|
|
|
|
|
0 |
|
|
|
|
u=x-2 değişken değişimini uygularsak, dx=du olur ve integralin sınırları u=-1’den u=0’a değişeceğinden
elde edilir.
13.Soru
y=5^x ise 5^(x-3) ifadesinin değeri kaçtır?
|
5y+125
|
|
5y-125
|
|
y/25
|
|
125y
|
|
y/125
|
14.Soru
-3x-5y=47x+4y=14sisteminin katsayılar matrisi nedir?
|
|
|
|
|
|
|
|
|
|
Bu denklem sisteminin katsayılarından oluşan matris
matrisidir. Doğru cevap E'dir.
15.Soru
Çeyreğinin 4 fazlası 7’den küçük olan sayıların kümesi aşağıdakilerden hangisidir?
|
|
|
|
|
|
|
|
|
|
16.Soru
Bir çocuk parasının %40 ını harcadıktan sonra geriye 30 lirası kalıyor. Çocuk kaç para harcamıştır?
|
60 |
|
50 |
|
40 |
|
30 |
|
20 |
Çocuğun harcama yapmadan önceki parası x lira olsun. Parasının %40 ını harcarsa geriye
lirası kalır. Kalan para 30 lira olup 3x/5=30 denklemi elde edilir. Buradan da harcama yapmadan önceki parası x=50 lira olarak bulunur. Çocuk 50-30=20 lira harcamıştır.Doğru yanıt E seçeneğidir.
18.Soru
(-1,9) ve (2,6) açık aralıklarının kesişimi nedir?
|
(-1,6)
|
|
(2,9)
|
|
(2,6)
|
|
(-1,9)
|
|
(-1,8)
|
19.Soru
Şekilde taralı olarak verilen küme aşağıdakilerden hangisidir?
|
A U B |
|
(AUB)t |
|
A \ B |
|
(A \ B)t |
|
At U Bt |
Taralı bölge ile verilen küme hem A kümesinin hem de B kümesinin dışındaki elemanlardan oluşmaktadır. Doğru cevap B şıkkıdır.
20.Soru
Yarı ömrü 3 gün olan bir maddenin 18 gün sonra kütlesi 2 miligram olduğuna göre bu maddenin başlangıçtaki kütlesi aşağıdakilerden hangisidir?
|
8
|
|
16
|
|
32
|
|
64
|
|
128
|
-
- 1.SORU ÇÖZÜLMEDİ
- 2.SORU ÇÖZÜLMEDİ
- 3.SORU ÇÖZÜLMEDİ
- 4.SORU ÇÖZÜLMEDİ
- 5.SORU ÇÖZÜLMEDİ
- 6.SORU ÇÖZÜLMEDİ
- 7.SORU ÇÖZÜLMEDİ
- 8.SORU ÇÖZÜLMEDİ
- 9.SORU ÇÖZÜLMEDİ
- 10.SORU ÇÖZÜLMEDİ
- 11.SORU ÇÖZÜLMEDİ
- 12.SORU ÇÖZÜLMEDİ
- 13.SORU ÇÖZÜLMEDİ
- 14.SORU ÇÖZÜLMEDİ
- 15.SORU ÇÖZÜLMEDİ
- 16.SORU ÇÖZÜLMEDİ
- 17.SORU ÇÖZÜLMEDİ
- 18.SORU ÇÖZÜLMEDİ
- 19.SORU ÇÖZÜLMEDİ
- 20.SORU ÇÖZÜLMEDİ