Güç Sistemleri Analizi Ara 6. Deneme Sınavı
Toplam 20 Soru1.Soru
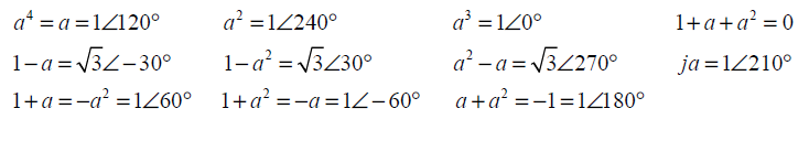
I.
II.
III.
IV.
V.
Büyüklüğü 1 ve faz açısı 120° olan a fazörü için yukarıda verilen ifadelerden hangileri doğrudur?
|
I, II, V |
|
I, IV, V |
|
II, III, IV |
|
I, III, V |
|
I, II, IV |
2.Soru
Kararlı durumda, pozitif-sıralı jeneratör empedansına ne ad verilir?
|
Pozitif sıralı empedans, |
|
Negatif sıralı empedans, |
|
Sıfır sıralı empedans, |
|
Asenkron empedans, |
|
Senkron empedans. |
Kararlı durumda, pozitif-sıralı jeneratör empedansı senkron
empedans olarak adlandırılır.
3.Soru
sembolü neyi ifade eder?
|
Kaynak geriliminin faz açısı, |
|
Kaynak gerilimi ve akımı arasındaki faz açısı, |
|
Güç faktörü |
|
Kaynak geriliminin frekansı, |
|
Yükün anlık çektiği güç |
sembolü güç faktörü demektir.
4.Soru
Elektrik enerjisi, genel olarak aşağıdaki yöntemlerden hangisiyle dağıtım birimlerine iletilmektedir?
|
Alçak gerilimli doğru akımlarla
|
|
Alçak gerilimli alternatif akımlarla
|
|
Yüksek gerilimli doğru akımlarla
|
|
Yüksek gerilimli alternatif akımlarla
|
|
Alçak gerilimli üçgen akımlarla
|
5.Soru
Aşağıdaki ifadelerden hangisi güç birimi olan Watt'a karşılık gelmektedir?
|
|
|
|
|
|
|
|
|
|
Güç terimi; zamana göre enerji değişim oranı olarak ifade edilmektedir. Gücün birimi Watt’tır ve bu birim aynı zamanda joule/saniye’ye eşittir. Doğru cevap B'dir.
6.Soru
Sinüssel denge durumundaki devreler için Kirchhoff’un gerilimler kanunu (KGK) ve akımlar kanunu (KAK), fazör gösterimi için de uygulanabilir. Bu yüzden; hem kapalı bir devrede bir düğüm noktasına gelen fazör akımlarının toplamı, hem de kapalı bir döngü üzerindeki gerilimlerin toplamı kaçtır?
|
0 |
|
3 |
|
5 |
|
7 |
|
1 |
Sinüssel denge durumundaki devreler için Kirchhoff’un gerilimler kanunu (KGK) ve akımlar kanunu (KAK), fazör gösterimi için de uygulanabilir. Bu yüzden; hem kapalı bir devrede bir düğüm noktasına gelen fazör akımlarının toplamı, hem de kapalı bir döngü üzerindeki gerilimlerin toplamı sıfırdır.
7.Soru
Saf endüktif yükte, akım gerilimden kaç derece geride olduğunda, endüktör tarafından çekilen anlık güç, ortalama değeri sıfır olan çift frekanslı bir sinüssel terim olarak nitelendirilebilir?
|
0° |
|
30° |
|
45° |
|
60° |
|
90° |
Saf endüktif yükte; akım gerilimden 90° geridedir.
8.Soru
Güç üçgeni düşünüldüğünde; 120 kVAR aktif güce ve 200 kVA kompleks güce sahip bir yükün aktif güç değeri ne olur?
|
160kW |
|
120kW |
|
100kW |
|
180kW |
|
60kW |
formülünden
P aktif güç: 160kW olarak bulunur.
9.Soru
Kondansatör tarafından çekilen anlık gücün çift frekanslı bir sinüssel terim olması neyi ifade eder?
|
Frekansının kaynak frekansının 2 katına eşit olduğu, |
|
Harmonik içerdiği, |
|
İki farklı frekans değerinin toplamı olduğu, |
|
Tek bir frekans değerine sahip olmadığı, |
|
Tepe gerilim değerinin çift frekansta düştüğü. |
Kondansatör tarafından çekilen anlık gücün çift frekanslı bir sinüssel terim olması, frekansının kaynak frekansının 2 katına eşit olduğu anlamına gelir.
10.Soru
Üç fazlı dengeli bir sistemde c fazına ait gerilim olarak ve
fazörü de
olarak veriliyorsa
geriliminin sıralı bileşenler cinsinden ifadesi aşağıdakilerden hangisidir?
|
|
|
|
|
|
|
|
|
|
Üç fazlı dengeli bir sistemde ,
ve
gerilimleri aşaıdaki ifadeler ile verilmektedir:
Doğru cevap B'dir.
11.Soru
Aşağıdakilerden hangisi eşit büyüklükte, aralarında ±120° faz kaymasına sahip ve açısal olarak negatif yönde sıralanmış üç ayrı fazörden meydana gelmektedirler. Açısal olarak negatif yön, saat yönünün tersini ifade eder.
|
Sıfır-sıralı bileşenler |
|
Pozitif-sıralı bileşenler |
|
Negatif-sıralı bileşenler |
|
Birim sıralı devre |
|
Dönüşüm matrisi |
Negatif-sıralı bileşenler eşit büyüklükte, aralarında ±120° faz kaymasına sahip ve açısal olarak negatif yönde sıralanmış üç ayrı fazörden meydana gelmektedirler. Açısal olarak negatif yön, saat yönünün tersini ifade eder.
12.Soru
Şekildeki gösterim neyi ifade etmektedir?
|
Çok-fazlı, Frekans Düşürücü Transformatör, |
|
Tek-fazlı, Frekans Yükseltici Transformatör, |
|
Çok-fazlı, Faz Kaydırıcı Transformatör, |
|
Tek-fazlı, Faz Kaydırıcı Transformatör, |
|
Tek-fazlı, Gerilim düşürücü Transformatör, |
Tek-fazlı, Faz Kaydırıcı Transformatör gösterimidir.
13.Soru
Aşağıdakilerden hangisi, transformatörlerde manyetik nüvenin yapılış şekline göre yapılan sınıflandırmalardan biridir?
|
Yağlı
|
|
Çekirdek
|
|
Kuru
|
|
Silindirik sargılı
|
|
Sabit akımlı
|
14.Soru
Aşağıdakilerden hangisi ideal transformatör için kabul edilen özelliklerden biri değildir?
|
Sargıların direnci sıfırdır ve bu yüzden sargılardaki |
|
Çekirdek geçirgenliği |
|
Kaçak akı yok olarak kabul edilir; tüm akı, çekirdek ve sargılarda sınırlandırılmıştır, |
|
Birincil sargılara verilen giriş gücü, ikincil sargıda artar, |
|
Çekirdek kaybı yok. |
İdeal bir transformatör için aşağıdakiler kabul edilir:
1. Sargıların direnci sıfırdır ve bu yüzden sargılardaki kayıplarının değeri sıfır olur.
2. Çekirdek geçirgenliği sonsuzdur; bu da sıfır çekirdek relüktansına (manyetik direnç) karşılık gelmektedir.
3. Kaçak akı yok olarak kabul edilir; tüm akı, çekirdek ve sargılarda sınırlandırılmıştır.
4. Çekirdek kaybı yok.
15.Soru
Üç-fazlı nicelikler ve bunların sıralı bleşenleri ile olan ilişkilerini hesaplamada kullanılan büyüklüğü 1 ve faz açısı olarak verilen
fazörünün kartezyen koordinatlardaki karşılığı aşağıdakilerden hangisidir?
|
|
|
|
|
|
|
|
|
|
Üç-fazlı nicelikler ve bunların sıralı bileşenleri ile olan ilişkisini daha iyi anlayabilmek
için aşağıdaki dönüşüm denklemi yararlı olacaktır.
Bu denklemde büyüklüğü 1 ve faz açısı olarak verilen
fazörü aşağıdaki şekillerde ifade edilir:
Doğru cevap D'dir.
16.Soru
Aşağıdakilerden hangisi sargı durumlarına göre transformatör çeşitlerindendir?
|
Oto-transformatörler |
|
Silindirik sargı |
|
Dilimli sargı |
|
Çekirdek tipi |
|
Ölçü transformatörleri |
Transformatörler çeşitli özellikleri dikkate alınarak sınıflandırılır:
1. Manyetik nüvenin yapılış şekline göre:
a. Çekirdek tipi
b. Mantel tipi
c. Dağıtılmış nüve tipi
2. Faz sayısına göre:
a. Birincil ve ikincil sargıda aynı sayıda faza sahip olanlar
b. Birincil ve ikincil sargıda farklı sayıda faza sahip olanlar
3. Soğutma şekline göre:
a. Kuru transformatörler
b. Yağlı transformatörler
4. Kuruluş yerlerine göre
a. İç mekanlarda kullanılan tip
b. Açık havada kullanılan tip
5. Sargı tiplerine göre
a. Silindirik sargı
b. Dilimli sargı
6. Çalışma prensibine göre
a. Sabit akımlı
b. Sabit gerilimli
7. Sargı durumlarına göre
a. Yalıtılmış sargılı
b. Oto-transformatörler
8. Soğutucu cinsine göre
a. Hava ile soğutulan
b. Yağ ile soğutulan
c. Su ile soğutulan
9. Kullanılış amaçlarına göre
a. Güç transformatörleri
b. Ölçü transformatörleri
c. Çeşitli aygıt ve makinalarda kullanılan diğer transformatörler
17.Soru
Üç-fazlı jeneratörün denge konumunda çalışması durumunda; zaman terimi ile jeneratörün sağladığı anlık güç arasında nasıl bir ilişki vardır?
|
Zaman ile doğru orantılıdır.
|
|
Zamanın karesi ile doğru orantılıdır.
|
|
Zamana bağlı değildir.
|
|
Zamanın karesi ile ters orantılıdır.
|
|
Zaman ile ters orantılıdır.
|
18.Soru
Pozitif sıralı kaynak tarafından beslenen denge durumundaki ? bağlı yük için faz akımları yük akımlarının kaç katıdır?
|
|
|
|
|
|
|
|
|
|
Pozitif sıralı kaynak tarafından beslenen denge durumundaki ? bağlı yük için faz akımları yük akımlarının katıdır.
19.Soru
Yükseltici transformatörler için aşağıdakilerden hangisi doğrudur?
|
İkincil (sekonder) sargısındaki gerilim değeri birincil (primer) sargısından düşüktür. |
|
Birincil (primer) sargısındaki gerilim değeri ikincil (sekonder) sargısından düşüktür. |
|
Birincil (primer) sargısındaki frekans değeri ikincil (sekonder) sargısından düşüktür. |
|
İkincil (sekonder) sargısındaki frekans değeri birincil (primer) sargısından büyüktür. |
|
Birincil (primer) sargısındaki gerilim değeri ikincil (sekonder) sargısına eşittir. |
Birincil sargısına uygulanan gerilim değerini ikincil sargısından daha yüksek bir değer olarak elde ettiğimiz transformatörlere yükseltici tip transformatörler adı verilir. Transformatörler gerilimin seviyesini frekans değiştirilmeden manyetik indüksiyon yoluyla dönüştürmek için kullanılmaktadır. Buna göre cevap B'dir.
20.Soru
Üç-fazlı transformatörlerde Tek-fazlı transformatör sargıları için yapılan 1,2 ve 3 şeklindeki etiketlemenin yerine; H, M ve X harfleri sırasıyla hangi gerilim seviyesindeki sargıları etiketlemek için kullanılır?
|
Alçak, yüksek ve orta-gerilim, |
|
Orta, alçak ve yüksek-gerilim, |
|
Orta, yüksek ve alçak-gerilim, |
|
Yüksek, orta ve alçak-gerilim, |
|
Yüksek, alçak ve orta-gerilim, |
Üç-fazlı transformatörlerde Tek-fazlı transformatör sargıları için yapılan 1,2 ve 3 şeklindeki etiketlemenin yerine; H, M ve X harfleri sırasıyla yüksek- ,orta- ve alçak-gerilim sargılarını etiketlemek için kullanılır.
-
- 1.SORU ÇÖZÜLMEDİ
- 2.SORU ÇÖZÜLMEDİ
- 3.SORU ÇÖZÜLMEDİ
- 4.SORU ÇÖZÜLMEDİ
- 5.SORU ÇÖZÜLMEDİ
- 6.SORU ÇÖZÜLMEDİ
- 7.SORU ÇÖZÜLMEDİ
- 8.SORU ÇÖZÜLMEDİ
- 9.SORU ÇÖZÜLMEDİ
- 10.SORU ÇÖZÜLMEDİ
- 11.SORU ÇÖZÜLMEDİ
- 12.SORU ÇÖZÜLMEDİ
- 13.SORU ÇÖZÜLMEDİ
- 14.SORU ÇÖZÜLMEDİ
- 15.SORU ÇÖZÜLMEDİ
- 16.SORU ÇÖZÜLMEDİ
- 17.SORU ÇÖZÜLMEDİ
- 18.SORU ÇÖZÜLMEDİ
- 19.SORU ÇÖZÜLMEDİ
- 20.SORU ÇÖZÜLMEDİ