Güç Sistemleri Analizi Ara 7. Deneme Sınavı
Toplam 20 Soru1.Soru
Güç üçgeni düşünüldüğünde; 120 kW ve 160 kVAR güç değerlerine sahip bir yükün, çektiği kompleks güç değeri aşağıdakilerden hangisi olur?
|
40 KVA
|
|
120 KVA
|
|
160 KVA
|
|
200 KVA
|
|
240 KVA
|
2.Soru
Çift sargılı, tek-fazlı bir transformatör 60 Hz frekans değerinde 25 kVA, 360/120 V anma değerleri ile verilmiştir. Birincil sargıya bağlanan kaynak, transformatördeki ikincil sargıya bağlanan Z2 empedans yüküne enerji sağlamaktadır. Yük üzerine düşen gerilim 116 V olduğunda; yük, 0,8 geride güç faktörüyle 12 kVA güç çekmektedir. Transformatörün ideal olduğu varsayıldığına göre aşağıdakilerden hangisi 360 V sargıya göre yük empedansının değeridir?
|
|
|
|
|
|
|
|
|
|
360 V sargıya göre yük empedansı
3.Soru
- Eşdeğer seri empedans genellikle kısa-devre testindeki anma akım değerinde belirlenir.
- Paralel admitans ise açık-devre testindeki anma gerilim değerinde belirlenir.
- Anma değerlerinde çalışan transformatördeki ufak değişiklikler için empedans ve admitans değerleri sabit kabul edilir.
Transformatörlerdeki kısa-devre ve açık-devre testleri ile ilgili aşağıdakilerden hangisi doğrudur?
|
Yalnız i |
|
Yalnız ii |
|
Yalnız i ve ii |
|
Yalnız ii ve iii |
|
i, ii ve iii |
Transformatörlerdeki kısa-devre ve açık-devre testleri ile ilgili belirtilenler doğrudur. Cevap E'dir.
4.Soru
Yukarıda verilen denklem kaç fazlı iletim hatlarının sıralı devrelerini elde etmek için kullanılabilir?
|
1 |
|
5 |
|
2 |
|
7 |
|
3 |
denklemi üç-fazlı iletim hatlarının sıralı devrelerini elde etmek için kullanılabilir.
Doğru yanıt "E" seçeneğidir.
5.Soru
Simetrik seri empedanslar için sıralı empedans değeri denklemi kullanılarak elde edilir. Bu denklemde kullanılan
dönüşüm matrisi (yani
dönüşüm matrisinin tersi) aşağıdakilerden hangisidir?
|
|
|
|
|
|
|
|
|
|
denkleminde kullanılan
dönüşüm matrisi
ifadesi ile verilmektedir. Doğru cevap A'dır.
6.Soru
İdeal transformatör için aşağıdakilerden hangisi yanlıştır?
|
Giriş ve çıkış güçleri birbirine eşittir
|
|
Çekirdek kaybı sıfırdır
|
|
Kaçak akı yok olarak kabul edilir; tüm akı, çekirdek ve sargılarda sınırlandırılmıştır
|
|
Çekirdek geçirgenliği sonsuzdur; bu da sıfır çekirdek relüktansına (manyetik direnç) karşılık gelmektedir.
|
|
Sargılardaki direnç sonsuzdur; bu yüzden sargılardaki I^2 R kayıpları sıfır olur
|
7.Soru
Simetrik yük tanımına göre aşağıdaki ifadelerden hangisi doğrudur?
|
Sıralı empedans matrisi devriktir.
|
|
Sıralı empedans matrisi köşegendir.
|
|
Sıralı empedans matrisi eşdeğerdir.
|
|
Sıralı empedans matrisi paraleldir.
|
|
Sıralı empedans matrisi kararsızdır.
|
8.Soru
Aşağıdakilerden hangisi eşit büyüklükte, aralarında ±120° faz kaymasına sahip ve açısal olarak pozitif yönde sıralanmış üç ayrı fazörden meydana gelmektedirler?
|
Sıfır-sıralı bileşenler |
|
Pozitif-sıralı bileşenler |
|
Negatif-sıralı bileşenler |
|
Birim sıralı devre |
|
Empedans matrisi |
Pozitif-sıralı bileşenler eşit büyüklükte, aralarında ±120° faz kaymasına sahip ve açısal olarak pozitif yönde sıralanmış üç ayrı fazörden meydana gelmektedirler. Açısal olarak pozitif yön, saat yönünü ifade eder.
9.Soru
Aşağıdakilerden hangisi jeneratörün çıkış gerilim seviyelerinden biridir?
|
2 kV
|
|
4,5 kV
|
|
7,8 kV
|
|
8,9 kV
|
|
0,6 kV
|
10.Soru
Dengeli bağlı empedans yükün eşdeğer
devresine ait pozitif-sıralı empedans değeri aşağıdakilerden hangisidir?
|
|
|
|
|
|
|
|
|
|
Dengeli bağlı empedans yükün eşdeğer
devresine ait;
sıfır-sıralı empedans değeri
pozitif-sıralı empedans değeri
ve negatif_sıralı empedans değeri de
olarak verilmektedir. Doğru cevap C'dir.
11.Soru
Aşağıdakilerden hangisi yük endüktif ise doğrudur?
|
Akım gerilimden geridedir, |
|
Çekilen reaktif güç negatiftir, |
|
Akım gerilimden geridedir, |
|
Kondansatör şebekeye negatif reaktif güç sağlar, |
|
Sıfır reaktif güç çekilir. |
Yük endüktif ise akım gerilimden geridedir.
12.Soru
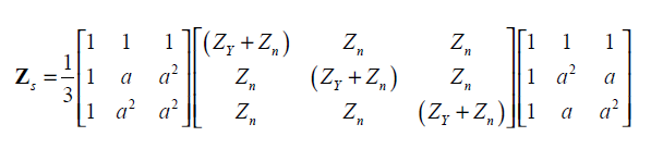
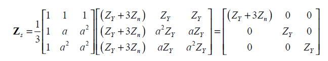
Aşağıdaki matrislerden hangisi Y bağlı dengeli yük için Zs sıralı empedans matrisi olarak kullanılır?
|
|
|
|
|
|
|
|
|
|
Y bağlı dengeli yük için, Zs sıralı empedans matrisi
yukarıdaki matris çarpımlarını yaparak ve (1+ a+ a2 )= 0 özdeşliğini kullanarak
denklemi bulunur.
13.Soru
Aşağıdakilerden hangisinin jeneratörler ve motorlar gibi dönen elemanların pozitif- ve negatif-sıralı empedansları için söylenmesi doğrudur?
Aşağıdakilerden hangisinin jeneratörler ve motorlar gibi dönen elemanların pozitif- ve negatif-sıralı empedansları için söylenmesi doğrudur?
|
Eşittir. |
|
Dengelidir. |
|
Genellikle eşit değildir. |
|
Tutarsızdır. |
|
Doğrusaldır. |
Jeneratörler ve motorlar gibi dönen elemanların pozitif- ve negatif-sıralı empedansları genellikle eşit değildir.
Doğru yanıt "C" seçeneğidir.
14.Soru
Kutupsal formda şeklinde gösterilen gerilimin anlık değeri aşağıdakilerden hangisiyle ifade edilir?
|
|
|
|
|
|
|
|
|
|
Vmak maksimum değerinde ve cos(?t) faz açısına göre ? faz farkına sahip bir gerilimin anlık değeri:
v(t) = Vmak cos(?t +? )
şeklinde ifade edilir. Sinüssel bir gerilimin etkin (rms) değeri:
Kutupsal gösterim:
Kutupsal gösterimi olan gerilimin anlık değeri:
şeklinde ifade edilir.
15.Soru
Amerikan standartlarına göre, Y - ? transformatörünün yüksek-gerilim tarafındaki negatif-sıralı gerilim ve akımları, alçak-gerilim tarafındaki aynı niceliklere karşılık gelen değerlerin açısal olarak kaç derece gerisindedirler?
|
30° |
|
45° |
|
60° |
|
75° |
|
90° |
Amerikan standartlarına göre, Y - ? transformatörünün yüksek-gerilim tarafındaki negatif-sıralı gerilim ve akımları, alçak-gerilim tarafındaki aynı niceliklere karşılık gelen değerlerin açısal olarak 30° gerisindedirler.
16.Soru
Üç fazlı bir sistemde olarak gösterilen fazör aşağıdakilerden hangisine karşılık gelmektedir?
|
b fazına ait sıfır-sıralı bileşen |
|
b fazına ait pozitif-sıralı bileşen |
|
a fazına ait pozitif-sıralı bileşen |
|
b fazına ait negatif-sıralı bileşen |
|
a fazına ait negatif-sıralı bileşen |
İlgili faza ait olarak verilen 0, 1 ve 2 alt indisleri sırasıyla sıfır, pozitif ve negatif sıralı bileşenleri göstermektedir. Doğru cevap B'dir.
17.Soru
Sıralı empedans matrisi köşegen olan yük olarak tanımlanan kavram aşağıdakilerden hangisidir?
|
Paralel yük |
|
Simetrik yük |
|
Yığışımlı yük |
|
Asimetrik yük |
|
Toplam yük |
Simetrik yük, sıralı empedans matrisi köşegen olan yük olarak tanımlanmaktadır.
Doğru yanıt "B" seçeneğidir.
18.Soru
Sıralı empedans matrisi köşegen olan yük aşağıdakilerden hangisidir?
|
Simetrik yük, |
|
Sıfır sıralı empedans, |
|
Negatif sıralı empedans, |
|
Pozitif sıralı empedans, |
|
Hat empedansı. |
Simetrik yük, sıralı empedans matrisi köşegen olan yük olarak tanımlanmaktadır.
19.Soru
Jeneratör nötr empedansındaki gerilim düşümü formülü aşağıdakilerden hangisidir?
|
(Zn)I0 |
|
(3Zn)I |
|
(3Zn)A0 |
|
(3Z)I0 |
|
(3Zn)I0 |
Jeneratör nötr empedansındaki gerilim düşümü ZnIn ’dir ve (3Zn)I0 şeklinde de yazılabilir
20.Soru
Alçaltıcı tipteki transformatörün görevi aşağıdakilerden hangisidir?
|
Giriş gerilimini çıkışta düşürmek
|
|
Giriş frekansını çıkışta düşürmek
|
|
Giriş akımını çıkışta düşürmek
|
|
Çıkış frekansını çıkışta düşürmek
|
|
Çıkış akımını çıkışta düşürmek
|
-
- 1.SORU ÇÖZÜLMEDİ
- 2.SORU ÇÖZÜLMEDİ
- 3.SORU ÇÖZÜLMEDİ
- 4.SORU ÇÖZÜLMEDİ
- 5.SORU ÇÖZÜLMEDİ
- 6.SORU ÇÖZÜLMEDİ
- 7.SORU ÇÖZÜLMEDİ
- 8.SORU ÇÖZÜLMEDİ
- 9.SORU ÇÖZÜLMEDİ
- 10.SORU ÇÖZÜLMEDİ
- 11.SORU ÇÖZÜLMEDİ
- 12.SORU ÇÖZÜLMEDİ
- 13.SORU ÇÖZÜLMEDİ
- 14.SORU ÇÖZÜLMEDİ
- 15.SORU ÇÖZÜLMEDİ
- 16.SORU ÇÖZÜLMEDİ
- 17.SORU ÇÖZÜLMEDİ
- 18.SORU ÇÖZÜLMEDİ
- 19.SORU ÇÖZÜLMEDİ
- 20.SORU ÇÖZÜLMEDİ