İktisada Giriş 1 Ara 3. Deneme Sınavı
Toplam 20 Soru1.Soru
Üretimde kıt kaynakların kullanıldığı, insan ihtiyaçlarını karşılama özelliğine sahip fiziki varlığı olan ürünler aşağıdakilerden hangisidir?
|
Mal |
|
Sermaye |
|
Hizmet |
|
Marjinal analiz |
|
Milli hasıla |
Üretimde kıt kaynakların kullanıldığı, insan ihtiyaçlarını karşılama özelliğine sahip fiziki varlığı olan ürünler mal olarak tanımlanmaktadır.
2.Soru
Otobüs ve tren yolculuğu ikame hizmetlerdir. Eğer tren bileti fiyatları artarsa denge otobüs bileti miktarı ve fiyatında nasıl bir değişim olur?
|
Denge miktarı ve denge fiyatı artar. |
|
Denge miktarı ve denge fiyatı düşer. |
|
Denge fiyatı artar, denge miktarı değişmez. |
|
Denge fiyatı düşer, denge miktarı değişmez. |
|
Denge fiyatı artar, denge miktarı düşer. |
Otobüs ve tren biletleri ikame mallar olduğu için tren fiyatının artması otobüs yolculuğuna talebi arttırır. Talep artışı neticesinde hem denge fiyatı hem denge miktarı artar.
3.Soru
Aşağıdakilerden hangisi piyasa talep eğrisinin tanımıdır?
|
Diğer şeyler değişmez iken, talep edilen mal miktarı ile malın fiyatı arasındaki ilişkiyi yansıtır |
|
Belirli bir zaman diliminde farklı fiyat düzeylerinde piyasada etkileşimde bulunan tüm tüketicilerin talep ettikleri mal miktarını gösteren tablodur |
|
Bireysel tüketici talep eğrilerinin yatay olarak toplanmasıdır |
|
İki tüketicinin farklı fiyat düzeylerindeki talep miktarlarınıntoplanmasıdır |
|
Talep eğrisi üzerindeki bir hareket, fiyat düzeyindeki bir değişmeyi ifade eder ve o da talep edilen mal miktarının değiştiğini gösterir |
Piyasa talep eğrisi: Bireysel tüketici talep eğrilerinin yatay olarak toplanmasıdır.
4.Soru
Aşağıdakilerden hangisi esneklik terminolojisinin unsurlarından biri değildir?
|
Esneklik katsayısının olası en düşük değeri sıfırdır. |
|
Ed = 0 (sıfır) olması durumunda fiyattaki bir değişme talep edilen miktarda hiçbir değişmeye neden olmayacaktır. |
|
Esneklik katsayısının alabileceği olası en yüksek değer sonsuza yaklaşmaktadır. |
|
Esneklik değerinin sonsuz olması halinde talep tam esnek talep olarak tanımlanır. |
|
Esneklik sonsuz bir değer alamaz. |
Esneklik katsayısının olası en düşük değeri sıfırdır, 0 (sıfır) olması durumunda fiyattaki bir değişme talep edilen miktarda hiçbir değişmeye neden olmayacaktır. Esneklik katsayısının alabileceği olası en yüksek değer sonsuza yaklaşmaktadır. Esneklik değerinin sonsuz olması halinde talep tam esnek talep olarak tanımlanır.
5.Soru
Kıtlık ya da aşırı talep aşağıdaki hangi durumda ortaya çıkar?
|
Tüketicilerin gelirinin çok yükselmesi |
|
Talep edilen miktarın arz edilen miktardan yüksek olması |
|
Mal arzının sabit olduğu |
|
Mal talebinin sabit olduğu |
|
Fiyatlara sınır konulduğu |
Kıtlık ya da aşırı talep veri fiyat düzeyinde talep edilen miktarın arz edilen miktardan fazla olma durumudur.
6.Soru
Aşağıdakilerden hangisi serbest maldır?
|
Kalem |
|
Hava |
|
Yol |
|
Kitap |
|
Cep telefonu |
Serbest mallar doğada her istenildiğinde bulunabilen ve bedel ödemeden elde edilebilen mallardır. Hava iktisadın konusu olmayan serbest mal kategorisinde yer almaktadır.
7.Soru
Veri fiyat düzeyinde arz edilen miktarın talep edilen miktardan fazla olması durumuna ne ad verilir?
|
Arbitraj |
|
Kıtlık |
|
Denge |
|
İkame |
|
Artık |
Aşırı arz ya da artık, veri fiyat düzeyinde arz edilen miktarın talep edilen miktardan fazla olma durumudur.
8.Soru
Bir firmanın en az bir veya daha fazla üretim girdisini değiştiremediği süreye ne ad verilir?
|
Uzun dönem |
|
Kısa dönem |
|
Orta dönem |
|
Uyum dönemi |
|
Değişken dönem |
Üretim girdilerinden en az birinin sabit kaldığı döneme kısa dönem denir. Kısa dönemde genellikle sermaye sabit, emek değişkendir.
9.Soru
- Tüketicinin Geçmişi
- Tüketicinin Çevresi
- Psikolojik Faktörler
Yukarıda sayılan değişkenlerden hangisi ya da hangileri talebi etkileyen zevk ve tercih değişkenlerindendir?
|
Yalnız I |
|
Yalnız II |
|
Yalnız III |
|
I-II |
|
I-II-III |
Zevk ve tercihler; tüketicinin geçmişi, çevresi, psikolojik faktörler gibi birçok değişken tarafından etkilenir. Tüketicinin zevkleri de talep eğrisini kaydıran diğer bir etkendir. Bir mala ilişkin diğer şartlar değişmezken, tüketicinin o malın tüketilmesinden daha çok zevk duyması ya da o malın tüketilmesi yönünde bir eğiliminin olması durumunda o malın talebi artacak yani talep eğrisi sağa kaydıracaktır. Bu nedenle doğru cevap E'dir.
10.Soru
Birey X markasının Y markasına göre daha üstün olduğunu belirledikten sonra Y markasını satın almaya devam ediyorsa iktisadi düşünme tarzında yapılan hatalardan hangisine düşmüş olur?
|
Korelasyon hatası
|
|
Bireysel yanılgı
|
|
İrrasyonel davranış
|
|
Nedensellik hatası
|
|
Tümleme yanılgısı
|
11.Soru
Aşağıdakilerden hangisi mikro iktisadın temel konuları arasındadır?
|
Para |
|
Bankacılık |
|
Fiyatlar |
|
Enflasyon |
|
Büyüme |
Fiyatlar, mikro iktisadın temel konuları arasındadır.
12.Soru
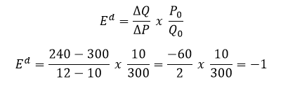
A malının fiyatı 10 TL iken talep edilen miktar 300 birim, A malının fiyatı 12 TL'ye yükseldiğinde talep edilen miktar 240 birimdir. Buna göre A malının talebinin fiyat esnekliği kaçtır?
|
4 |
|
3 |
|
2 |
|
1 |
|
0 |
Esneklik katsayısı yorumlanırken mutlak değeri alınarak yorumlanır.
13.Soru
Bir ekonomik değişkenin bir başka ekonomik değişkene karşı olan duyarlılığının ölçüsü olan kavram aşağıdakilerden hangisidir?
|
Marjinal maliyet |
|
Arz esnekliği |
|
Marjinal fayda |
|
Talep kaymaları |
|
Esneklik |
Ekonomik değişken türü kadar çok sayıda farklı kavramlarla karşılaşılan esneklik bir ekonomik değişkenin bir başka ekonomik değişkene karşı olan duyarlılığının ölçüsüdür. Tüketicilerin ve üreticilerin ya da arz ve talep edenlerin fiyatlardaki değişmelere karşı duyarlılıklarının derecesini ölçmek için esneklikler kullanılır.
14.Soru
Üretiminde kıt kaynakların kullanıldığı, insan ihtiyaçlarını karşılama özelliğine sahip fiziki varlığı olan ürünlere ne denir?
|
Hizmet |
|
Mal |
|
Sermaye |
|
İş Gücü |
|
Toprak |
Üretiminde kıt kaynakların kullanıldığı, insan ihtiyaçlarını karşılama özelliğine sahip fiziki varlığı olan ürünlere "Mal" denir.
15.Soru
Aşağıdakilerden hangisinde Çapraz Fiyat Esnekliği vardır?
|
Normal Mal |
|
Düşük Mal |
|
Tamamlayıcı Mal |
|
Lüks Mal |
|
Zorunlu Mal |
Çapraz fiyat esnekliği: Bir malın talep edilen miktarındaki yüzde değişmenin ilgili bir başka malın fiyatındaki yüzde değişmeye oranı olarak tanımlanır. Bu tanımlamada iki tür ilişkili mal ile karşılaşılır. Bunlar ikame ve tamamlayıcı mallardır.
16.Soru
- Girdi fiyatlarının azalması
- Teknolojik ilerleme
- Üretici firma sayısında artış
- Sübvansiyonlarda artış
Yukarıda verilenlerden hangileri arz eğrisinin sağa kaymasına sebep olur?
|
I-II-III |
|
I-II-IV |
|
II-IV |
|
I-III-IV |
|
I-II-III-IV |
Verilenlerin hepsi, arz eğrisinin sağa doğru hareket etmesine sebep olacaktır.
17.Soru
Aşağıdakilerden hangisi iktisadın başlangıç noktasını belirleyen faktörlerden birisidir?
|
Mevcut kaynaklar |
|
Tercih |
|
İhtiyaçlar |
|
Üretim faktörleri |
|
Teknoloji |
İktisat bireyler olarak yaptığımız tercihler ve bu tercihlerin ekonomi üzerindeki etkilerini inceler. Toplumsal bazda düşünüldüğünde sorun kaynakların kıt olmasıdır. Kıtlık bir şeyin mevcut miktarının arzulanan miktarı karşılayamaması yetersiz kalması durumudur.
18.Soru
Birey için doğru olanın grup için de doğru olacağı şeklinde hatalı bir sonuca ulaşılması olarak tanımlanan iktisadi düşünme tarz hatası aşağıdaki seçeneklerden hangisinde doğru olarak verilmektedir?
|
Birlikte değişim |
|
Nedensellik |
|
Birlikte değişim-Nedensellik |
|
Diğer şartlar sabitken |
|
Tümleme yanılgısı |
Birey için doğru olanın grup için de doğru olacağı şeklinde hatalı bir sonuca ulaşılması olarak tanımlanan iktisadi düşünme tarz hatası “ tümleme yanılgısı” olarak adlandırılır.
19.Soru
Bir firmanın malına ait esneklik değeri Ed=1 olduğu durumda, firma ürününün fiyatına %10 indirim yaptığı zaman firmanın toplam hasılatı nasıl değişir?
|
%10 artar |
|
%10 azalır |
|
%10'dan daha fazla artar |
|
%10'dan daha fazla azalır |
|
Toplam hazırlat değişmez |
Eğer miktardaki yüzde değişme fiyattaki yüzde değişmeye eşit ise talep birim esnektir ve fiyat düştüğü zaman toplam hasılat değişmez. Dolayısıyla firmanın malına ait talep birim esnek olduğu için toplam hasılatı değişmez.
20.Soru
Leyleklerin göç zamanında bölgedeki bebek doğum oranlarının artmış olması iktisadi düşünce tarzında yapılan hataların hangisini ifade eder?
|
Tümleme yanılğısı |
|
Diğer şartlar sabit |
|
Nedensellik |
|
Karar alma |
|
Marjinal analiz |
Bir iktisadi olgu incelenirken bu olguyu etkileyen değişkenlerden sadece bir tanesinin değiştiğini diğerlerinin sabit kaldığını Ceteris Paribus yani diğer şartlar sabit olarak ifade ederiz. Bir eylemin olası yarar ve maliyetlerini göz önüne alınması karar alma, mevcut şartlar değiştiğinde ortaya çıkacak durumun incelenmesi marjinal analiz ve bir birey için doğru olanın grup içinde doğru olacağı şeklindeki hatalı sonuç Tümleme yanılgısıdır. Nedensellik ise; Birbiri ile ilişkisi olmayan iki değişkenin aynı anda tesadüfi olarak birlikte değişmesi birinin diğerinin nedeni ya da sonucu olduğunu göstermemesidir. Örneğimizdeki leyleklerin göç zamanı leyleklerin gelişi ve bebek doğum oranlarındaki artış bebekleri leyleklerin getirdiğini göstermez. Bu iktisadi düşünce tarzında yapılan nedensellik-birlikte değişim hatasıdır.
-
- 1.SORU ÇÖZÜLMEDİ
- 2.SORU ÇÖZÜLMEDİ
- 3.SORU ÇÖZÜLMEDİ
- 4.SORU ÇÖZÜLMEDİ
- 5.SORU ÇÖZÜLMEDİ
- 6.SORU ÇÖZÜLMEDİ
- 7.SORU ÇÖZÜLMEDİ
- 8.SORU ÇÖZÜLMEDİ
- 9.SORU ÇÖZÜLMEDİ
- 10.SORU ÇÖZÜLMEDİ
- 11.SORU ÇÖZÜLMEDİ
- 12.SORU ÇÖZÜLMEDİ
- 13.SORU ÇÖZÜLMEDİ
- 14.SORU ÇÖZÜLMEDİ
- 15.SORU ÇÖZÜLMEDİ
- 16.SORU ÇÖZÜLMEDİ
- 17.SORU ÇÖZÜLMEDİ
- 18.SORU ÇÖZÜLMEDİ
- 19.SORU ÇÖZÜLMEDİ
- 20.SORU ÇÖZÜLMEDİ