İktisada Giriş 2 Ara 6. Deneme Sınavı
Toplam 20 Soru1.Soru
Marjinal tüketim eğiliminin 0.70 olduğu bir ekonomide marjinal tasarruf eğiliminin değeri nedir?
|
0
|
|
0.30
|
|
1.43
|
|
1.70
|
|
-0.70
|
2.Soru
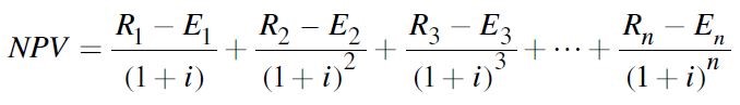
Yukarıda verilen formül ile aşağıdakilerden hangisi hesaplanır?
|
Enflasyon |
|
Net Bugünkü Değer |
|
İşsizlik Oranı |
|
TÜFE |
|
Deflasyon |
NPV net bugünkü değeri, R1, R2, R3… her dönem elde edilecek hasılatı veya nakit girişini; E1, E2, E3 her dönem gerçekleşen harcamaları veya nakit çıktısını göstermektedir. Formüldeki i ise indirgeme faktörüdür. Bir yatırım projesinin net bugünkü değeri yukarıdaki formülle hesaplanır.
3.Soru
Üretime katılan son işçinin işletmenin toplam hasılasına yaptığı katkı, ya da, toplam hasılada meydana getirdiği değişiklik ne olarak adlandırılır?
|
Marjinal tüketim eğilimi
|
|
Marjinal fayda
|
|
Ortalama tüketim
|
|
Toplam ürün hasılası
|
|
Marjinal ürün hasılası
|
4.Soru
Türkiye’nin GSYH’si 2006 yılında 96,6, 2007 yılında 101,0 milyar TL olmuştur. Türkiye’nin 2007 yılındaki büyüme hızı aşağıdakilerden hangisidir?
|
% 4,5 |
|
% 45 |
|
% 0.45 |
|
% 450 |
|
% 40,5 |
İktisadi büyümeyi bulurken iki dönem arasındaki farkı ilk dönemdeki hasılaya bölüp 100 ile çarpmamız gerekir. Yani, (101-96.6/96.6) x100. Bu durumda büyüme oranı yaklaşık % 4,5 çıkmaktadır.
5.Soru
Aşağıdakilerden hangisi makro iktisadın ilgi alanlarından biri değildir?
|
Ekonomik büyüme
|
|
İşsizlik
|
|
Kar maksimizasyonu
|
|
Enflasyon
|
|
Ödemeler Bilançosu
|
6.Soru
I. Piyasa değeri dikkate alınır.II. Üretilen ara mallar da hesaba katılır.III. Hesap dönemindeki mal ve hizmetler hesaplanır.IV. Belirli bir zaman periyodu için ölçülür. Yukarıdakilerden hangi/leri Gayri Safi Yurtiçi Hasılanın (GSYH) unsurları arasındadır?
|
Yalnız I |
|
I ve II |
|
I,II ve III |
|
III ve IV |
|
I, III ve IV |
GSYH hesaplanırken mal ve hizmetlerin piyasa değeri dikkate alınır. Hesap döneminde ülke sınırları içerisinde üretilen mal ve hizmetler dahil edilir. GSYH belirli bir zaman periyodu için ölçülür. GSYH hesaplamasına sadece tamamlanmış (nihai) mal ve hizmetler hesaba katılır; ancak ara malla dahil edilmez. Eğer katılırsa mükerrer sayma hatası yapılmış olur.
7.Soru
Yatırım harcamaları aşağıdakilerden hangilerini içerir?
|
Makine ve teçhizat, binalar ve dayanıklı tüketim malları
|
|
Makine ve teçhizat, binalar ve stok değişmeleri.
|
|
Makine ve teçhizat, dayanıklı tüketim malları ve stok değişmeleri.
|
|
Makine ve teçhizat, binalar ve firma tasarruflarındaki değişmeler.
|
|
Makine ve teçhizat, dayanıklı ve dayanıksız tüketim malları.
|
8.Soru
Eğer bir ekonomide Kişi başına Reel Gayri Safi Yurtiçi Hasıla artıyor ve bu artış sürüdürlebilir ise aşağıdakilerden hangisi doğru olur?
|
Yaşam standartları yükselir.
|
|
Yoksulluk artar.
|
|
Ölüm oranları artar.
|
|
Yaşam süresi kısalır.
|
|
Gelir dağılımında adaletsizlik artar.
|
9.Soru
1 Avro = 3 TL olarak ele alalım. Avrupadaki X ülkesinde bir kalemin fiyatı 3 Avro olsun. Aynı kalemin fiyatı Türkiyede 5 Tl olsun. Bu durumda 1 Avro'nun 1 Tl'ye göre satın alma gücü nasıldır?
|
5/9 oranında daha düşüktür
|
|
5/9 oranında daha yüksektir
|
|
9/5 oranında daha düşüktür.
|
|
9/5 oranında daha yüksektir.
|
|
Eşittir.
|
10.Soru
Bir grup mal ve hizmetin cari fiyatlarla değerinin aynı mal grubunun belirli bir yıldaki (baz yıl) fiyatlarla değerine oranı aşağıdakilerden hangisidir?
|
GSYH deflatörü
|
|
Ekonomik Büyüme
|
|
Fiyat endeksi
|
|
Milli Gelir
|
|
SYH
|
11.Soru
Bir yıl içinde mal ve hizmet fiyatlarında %5 artış olmaktadır. Tüketicinin yıllık yatırımından elde ettiği faiz oranı ise %8’dir. Bu durumda bir yıl sonra tüketicinin elde edeceği reel faiz oranı ne kadardır?
|
% 1 |
|
% 2 |
|
% 3 |
|
% 4 |
|
% 5 |
Tüketicinin bugün yatırdığı 1 lira bir yıl sonunda 1,08 lira olacaktır. Tüketicinin 1 liraya alabileceği mal ve hizmetlerin fiyatları bir sene sonunda 1,05 olacaktır. Bir yıl sonra elde edeceği getirisi 1,08-1,05=0,03 liradır; reel faiz oranı ise %3’tür.
12.Soru
Verimlilik artışı sonucu aşağıdakilerden hangileri gerçekleşir?
|
Potansiyel Gayrisafi Yurtiçi Hasıla azalır, İstihdam ve reel ücretler artar.
|
|
Potansiyel Gayrisafi Yurtiçi Hasıla, İstihdam ve reel ücretler artar.
|
|
Potansiyel Gayrisafi Yurtiçi Hasıla ve İstihdam azalır ve reel ücretler düşer.
|
|
Potansiyel Gayrisafi Yurtiçi Hasıla ve İstihdam artar ve reel ücretler düşer.
|
|
Potansiyel Gayrisafi Yurtiçi Hasıla artar, İstihdam azalır ve reel ücretler düşer.
|
13.Soru
Fiilen çalışıyor görünmelerine rağmen, iş alanından çekildiklerinde üretimde hiçbir azalmanın olmadığı kişilerin oluşturduğu işsizlik türü hangisidir?
|
Friksiyonel
|
|
Yapısal
|
|
Gizli
|
|
Mevsimsel
|
|
Konjonktürel
|
14.Soru
Aşağıdakilerden hangisi makro iktisadın özelliklerden biridir?
|
Fayda kavramını analiz etmesi |
|
Üreticilerin faaliyetlerini incelemesi |
|
Tüketicilerin faaliyetlerini incelemesi |
|
Farklı piyasa koşullarını incelemesi |
|
Fiyatlar genel seviyesini analiz etmesi |
Makro iktisatta, ekonomi bir bütün olarak ele alınmakta ve bu bütün içindeki birimlerin ayrı ayrı dengeleri değil de ekonominin tüm dengesi araştırılmaktadır. Örneğin fiyatlar genel seviyesini analiz etmesi, milli geliri tahmin etmesi gibi. Diğer seçenekler ise, mikro iktisadın konularıdır.
15.Soru
Aşağıdakilerden hangisi makro iktisat ile ilgili doğru bir ifadedir?
|
Firmaları ve bireyleri inceler.
|
|
Toplulaştırılmış değişkenleri kullanır.
|
|
İhtiyaç ve fayda kavramlarını kullanır.
|
|
Değer ve fiyat kavramlarını kullanır.
|
|
Piyasa türlerini ve işleyişini araştırır.
|
16.Soru
GSMH ve GSYH kavramları arasındaki farkı oluşturan kalem hangisidir?
|
Net ihracat
|
|
Net faktör gelirleri
|
|
İthalat
|
|
İhracat
|
|
Ödemeler dengesi
|
17.Soru
Bir ekonomide toplam faktör verimliliği yılda ortalama %2, işgücü %4, sermaye de yılda %3, büyüyorsa ve emeğin ulusal hasıladan aldığı pay %30, sermayenin ise %40 ise bu ekonomideki büyüme oranı yüzde kaçtır?
|
4 |
|
3 |
|
2 |
|
6 |
|
8 |
İktisadi büyüme =toplam faktör verimliliğindeki yüzde değişim + üretim faktörlerindeki yüzde değişim İktisadi büyüme = %2 + (0,30 x %4) + (0,40 x %3) = %2 + 0,012 + 0,012 = 0,044 = %4
18.Soru
Bir ülkede yaşayan insanların yaşam standartlarını sürekli biçimde artırmanın tek yolu aşağıdakilerden hangisidir?
|
Yoksulluğun kalkması |
|
Cari dengenin sağlanması |
|
Ekonomik büyüme |
|
Enflasyonun düşürülmesi |
|
Kalifiye işgücünün yetiştirilmesi |
Ekonomik büyüme yaşam standartlarını yükseltmenin tek yoludur. Böylece bireylerin geliri artar, ihtiyaçlarını giderebilirler. Diğer seçeneklerde bir ölçüde başarılı olduğunda aslında dolaylı yoldan yaşam standardını arttırıcı etkisi bulunmaktadır.
19.Soru
I. Üretim düzeyi II. İstihdamIII. Fiyatlar genel düzeyiIV. Dış ekonomik ilişkiler Yukarıdakilerden hangilerini izlemek, bir ekonominin sağlıklı işleyip işlemediğini anlamak için gereklidir?
|
I ve II
|
|
I ve III
|
|
I, III ve IV
|
|
III ve IV
|
|
I, II, III ve IV
|
20.Soru
Reel faiz oranında artış yaşanan bir ortamda:I.Borç alan bir bireyin cari tüketimi azalır ve tasarrufu artar.II. Tasarruf yapan bir bireyin bugünkü tüketimi kesinlikle azalır.III. Gelir etkisi tasarrufların azalmasına ve tüketim harcamalarının artmasına yol açar.IV. İkame etkisi borç alan bireyler ile tasarruf yapan bireyler için aynı şekilde işler.Yukarıdakilerden hangileri doğrudur?
|
I ve II
|
|
II ve IV
|
|
III ve IV
|
|
I, III ve IV
|
|
I, II, III ve IV
|
-
- 1.SORU ÇÖZÜLMEDİ
- 2.SORU ÇÖZÜLMEDİ
- 3.SORU ÇÖZÜLMEDİ
- 4.SORU ÇÖZÜLMEDİ
- 5.SORU ÇÖZÜLMEDİ
- 6.SORU ÇÖZÜLMEDİ
- 7.SORU ÇÖZÜLMEDİ
- 8.SORU ÇÖZÜLMEDİ
- 9.SORU ÇÖZÜLMEDİ
- 10.SORU ÇÖZÜLMEDİ
- 11.SORU ÇÖZÜLMEDİ
- 12.SORU ÇÖZÜLMEDİ
- 13.SORU ÇÖZÜLMEDİ
- 14.SORU ÇÖZÜLMEDİ
- 15.SORU ÇÖZÜLMEDİ
- 16.SORU ÇÖZÜLMEDİ
- 17.SORU ÇÖZÜLMEDİ
- 18.SORU ÇÖZÜLMEDİ
- 19.SORU ÇÖZÜLMEDİ
- 20.SORU ÇÖZÜLMEDİ