İstatistik 1 Final 1. Deneme Sınavı
Toplam 20 Soru1.Soru
Aşağıda verilen rassal değişkenlerden hangisi (veya hangileri) sürekli rassal değişkendir? i.) Öğrencilerin ağırlığı ii.) Öğrencilerin sayısı iii.) Öğrencilerin aldığı not iv.) Öğrencilerin boy uzunluğu v.) Öğrencilerin aldığı ders sayısı
|
i
|
|
ii ve iii
|
|
i, ii ve iii
|
|
i ve iv
|
|
ii, iii ve v
|
2.Soru
Hilesiz bir zarın iki kez atılması deneyinde, iki atışın sonunda üste gelen sayıların toplamının 9 veya 10 elde edilmesi olasılığı aşağıdakilerden hangisidir?
|
1/36 |
|
3/36 |
|
4/36 |
|
5/36 |
|
7/36 |
A:İki atışın sonunda üste gelen sayıların toplamının 9 olması
B:İki atışın sonunda üste gelen sayıların toplamının 10 olması olayları
A={(3,6),(4,5),(5,4),(6,3)}
B= {(4,6), (5,5), (6,4)} biçimindedir. A ve B Ayrık olaylardır. A?B=Ø ve P (Ø)=0’dır.
P(A)=4/36 ve P(B)=3/36
P(A ? B)= P(A) + P(B)= (4/36)+(3/36)=7/36
3.Soru
Aşağıda değişken ve türü ikililerinden hangisi yanlıştır?
|
Göz rengi-sözel değişken
|
|
Öğrenci boyu-sayısal değişken
|
|
Zaman-sayısal değişken
|
|
Cinsiyet-sayısal değişken
|
|
Medeni durum-sözel değişken
|
4.Soru
Hilesiz bir zarın 3 kez atılması deneyinde, üç atışın da 6 gelmesi olasılığı nedir?
|
1/6
|
|
1/18
|
|
1/36
|
|
1/72
|
|
1/216
|
5.Soru
Bir fabrikada üretilen çapa makinaları her hangi bir bağın 1 hektarını sürmek için 80 ml ile 120 ml arasında düzgün dağılımda benzin harcamaktadır. Bu fabrikada üretilen çapa makinalarından % kaçının her hangi bir bağın bir hektarını sürmek için en az 105 ml benzin harcadığını bulunuz.
|
0,625
|
|
0,375
|
|
0,550
|
|
0,825
|
|
0,735
|
6.Soru
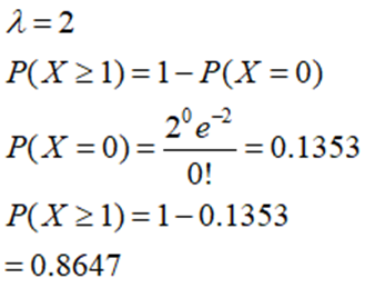
Bir hastanede gözlenen doğum sıklığı saatte 2 bebek olarak verilmiştir. Bu hastanede saatte 1’den fazla doğum gerçekleşme olasılığı nedir?
|
0.8647 |
|
0.7342 |
|
0.5869 |
|
0.4421 |
|
0.3365 |
Birim zamanda gerçekleşen olaylar Poisson dağılımına uygunluk gösterir. Ayrıca dağılımın ortalaması da λ=2 olarak verilmiştir. Saatte gerçekleşen doğum rassal değişkeni
olacaktır.
7.Soru
Üç zar aynı anda atılarak gelen sonuçların toplamının alındığı zar atma deneyine ilişkin örnek uzayının en küçük ve en büyük değerleri aşağıdakilerden hangisidir?
|
3, 18 |
|
1,6 |
|
2,12 |
|
6,6 |
|
4,24 |
X: Üç zarın üzerindeki noktaların toplamı olmak üzere; , X rassal değişkeninin aldığı değerlerin kümesi,
{ 3 4 5 6 7 8 9 10 11 12 13 14 15 16 17 18 } olacaktır. Bu kümenin enküçük değeri 3 ; enbüyük değeri ise 18’dir.
8.Soru
Sürekli bir rassal değişkenin tanımlı olduğu aralıkta belirlenen eşit uzunluktaki aralıkların olasılıklarının eşit olduğu dağılıma ne ad verilir?
|
Düzgün dağılım
|
|
Normal dağılım
|
|
Standart normal dağılım
|
|
t dağılımı
|
|
Binom dağılımı
|
9.Soru
Hangisi Poisson dağılımı kullanılarak modelleme yapılabilecek bir örnek değildir?
|
Boğaziçi köprüsünden 1 günde geçen araç sayısı |
|
3 dönüm tarladaki hastalıklı fide sayısı |
|
Bir hastaneye 1 haftada ambulansla götürülen hasta sayısı |
|
Dünya'ya düşen göktaşı sayısı |
|
1 litre üretilen yağlardaki üretimden kaynaklanan hata sayısı |
Poisson dağılımı, olasılık ve istatistik teorisinde yaygın olarak kullanılan kesikli bir dağılımdır. Bir olayın, belirlenen bir zaman ya da uzay (uzunluk, alan, hacim gibi) aralığında gerçekleşme sayısını modellemek için kullanılır, bkz. Simeon Denis Poisson (1837). İlgilenilen aralık uzunluğu, bir “birim” olarak ifade edilirse zamanla ilgili aralıklar “birim zaman”, uzayla ilgili aralıklar ise “birim uzay” olarak ifade edilir.
- Birim zamana örnek olarak;
Bir hafta, altı ay, bir yıl
- Birim uzaya örnek olarak ise;
Bir metre (uzunluk), bir dönüm (alan), 1/2 metre küp (hacim) v.b. verilebilir.
10.Soru
(X= x), X kesikli rassal değişkeninin aldığı değerler ile bu değerlere karşılık gelen olasılıkları aşağıdakilerden hangisi ifade eder?
|
Fonksiyon
|
|
Olasılık dağılımı
|
|
Dağılım
|
|
Olasılık
|
|
Rassal Değişken
|
11.Soru
Aşağıdakilerden hangisi sürekli rassal değişkendir?
|
Bir kutudaki kusurlu kalem sayısı
|
|
Bir kavşakta meydana gelen trafik kazalarının sayısı
|
|
Para atma deneyinde tura gelinceye kadar yapılan atış sayısı
|
|
Bir büfeye gün içinde gelen müşteri sayısı
|
|
Yarışmacıların 100 metreyi koşma süresi
|
12.Soru
Bir torbada 5 mavi 4 sarı bilye vardır. Bu torbadan yerine konmaksızın iki bilye çekilmiştir. İlk bilyenin mavi ikinci bilyenin sarı olması olasılığı nedir?
|
4/18 |
|
5/18 |
|
4/36 |
|
5/36 |
|
20/81 |
A:İlk bilyenin mavi olması
B: İkinci biyenin sarı olması
P(A)=5/9
P(B)=4/8
13.Soru
Bir işyerinde yaz aylarında çalışanların spor ayakkabı giyme olasılığı 0,60 tır. Bu iş yerine ziyarete giden birisinin gördüğü 5 kişiden hiçbirine spor ayakkabı olmaması olasılığı kaçtır ?
|
0,0102 |
|
0,0483 |
|
0,0882 |
|
0,2766 |
|
0,3002 |
P(Y=y) = (n¦y). 〖(p)〗^y . 〖(1-P)〗^(n-y)
n = 5 y = 0 p = 0,60 ve
(1-p) = 1-0,60=0,40
P(Y=0) = (5¦0). 〖(0,60)〗^0 . 〖(0,40)〗^5
= 1. 1 . (0,40) .(0,40) . (0,40).(0,40). (0,40)
= 0,0102
14.Soru
A ve B ayrık olaylar olmak üzere ve olasılıkları P(A)=0.20 ve P(B)=0.30 ise P (A│B) olasılığı aşağıdakilerden hangisidir?
|
0
|
|
0,10
|
|
0,20
|
|
0,30
|
|
0,50
|
15.Soru
Verilenlere göre sayısal değeri 40’dan büyük gözlem sayısı kaçtır?
| Gruplar | Frekans | “-den az” | “-den çok” |
| 10-20 | 3 | 3 | 45 |
| 20-30 | 6 | 9 | 42 |
| 30-40 | 9 | 18 | 36 |
| 40-50 | 12 | 30 | 27 |
| 50-60 | 15 | 45 | 15 |
|
45 |
|
47 |
|
36 |
|
27 |
|
15 |
40 alt sınırının olduğu grubun “-den çok” değerine karşılık gelen hücrenin değeri 27’dir.
16.Soru
40 kişilik bir öğrenci grubunda basket oynayanların sayısı 19, tenis oynayanların sayısı 15' dir. 6 kişi her ikisini de oynadığına gör, bu gruptan rastgele seçilen birinin basketbol veya tenis oynama olasılığı kaçtır?
|
0.7
|
|
0.55
|
|
0.4
|
|
0.33
|
|
0.25
|
17.Soru
Poisson dağılımında varyans 0,45 olduğuna göre dağılımın ortalaması kaçtır?
|
0,55 |
|
0,45 |
|
1 |
|
0,35 |
|
0,65 |
Poisson dağılımında varyans ve ortalama eşittir.
18.Soru
Hilesiz 3 paranın aynı anda atılması deneyinde hiç tura gelmeme olasılığı nedir ?
|
1/2
|
|
1/6
|
|
1/8
|
|
7/8
|
|
1/32
|
19.Soru
İki zar aynı anda atılmaktadır. Atılan zarların toplamının 7 gelme olasılığı kaçtır?
|
0,3334 |
|
0,25 |
|
0,2 |
|
0.1667 |
|
0,1111 |
Bu örnekte, S örnek uzayının eleman sayısının 36 olduğu açıktır. Herhangi bir A olayının gerçekleşme olasılığı P(A)=nA/n
nA : A olayının eleman sayısı
n : S örnek uzayının eleman sayısı olarak tanımlandığından, P(A)= P(X=6) = nA/n = 6/36 =1/6 olarak bulunur.
20.Soru
Bir kutuda 4 siyah ve 12 kırmızı top vardır. Çekilen toplar yerine konmak şartıyla rastgele seçilen iki topunda siyah olma olasılığı nedir?
|
1/4 |
|
1/8 |
|
1/16 |
|
1/12 |
|
4/12 |
Çekilen toplar yerine konduğuna göre iadeli seçimdir. Bu durumda toplam azalma olmayacağından, bulunur.
-
- 1.SORU ÇÖZÜLMEDİ
- 2.SORU ÇÖZÜLMEDİ
- 3.SORU ÇÖZÜLMEDİ
- 4.SORU ÇÖZÜLMEDİ
- 5.SORU ÇÖZÜLMEDİ
- 6.SORU ÇÖZÜLMEDİ
- 7.SORU ÇÖZÜLMEDİ
- 8.SORU ÇÖZÜLMEDİ
- 9.SORU ÇÖZÜLMEDİ
- 10.SORU ÇÖZÜLMEDİ
- 11.SORU ÇÖZÜLMEDİ
- 12.SORU ÇÖZÜLMEDİ
- 13.SORU ÇÖZÜLMEDİ
- 14.SORU ÇÖZÜLMEDİ
- 15.SORU ÇÖZÜLMEDİ
- 16.SORU ÇÖZÜLMEDİ
- 17.SORU ÇÖZÜLMEDİ
- 18.SORU ÇÖZÜLMEDİ
- 19.SORU ÇÖZÜLMEDİ
- 20.SORU ÇÖZÜLMEDİ