İstatistik 1 Final 18. Deneme Sınavı
Toplam 20 Soru1.Soru
Aşağıdakilerden hangisi kesikli rassal değişken olarak tanımlanabilir?
|
Öğrencilerin boy uzunluğu
|
|
Öğrencilerin ağırlıkları
|
|
Öğrencilerin sayısı
|
|
Öğrencilerin aylık harcama miktarları
|
|
Öğrencilerin başarı puanları
|
2.Soru
Aşağıdakilerden hangisi sürekli bir rassal değişken kullanılarak tanımlanamaz?
|
Rüzgarın hızı
|
|
Bir markete gün içerisinde gelen müşteri sayısı
|
|
Patateslerin ağırlığı
|
|
Havanın sıcaklığı
|
|
Öğrencilerin boy uzunlukları
|
3.Soru
Bir sürekli rassal değişkeni a=3 ve b=8 ile sürekli düzgün dağılıma sahip olsun. Buna göre P(4 1/3 1/4 1/5 4/10 1/3
4.Soru
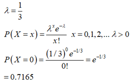
Bir hotel rezervasyon hattına gelen aramalar ?=1/3 ortalaması ile Poisson bir rassal değişkendir. Bu rezervasyon hattına 1 dakika içerisinde hiç arama gelmeme olasılığını hesaplayınız?
|
0.031 |
|
0.055 |
|
0.5512 |
|
0.7165 |
|
0.8124 |
5.Soru
''Den az '' ve ''den çok '' frekansların yer adığıı seri aşağıdakilerden hangisidir?
|
Birikimli seri
|
|
Bileşik seri
|
|
Frekans serisi
|
|
Basit seri
|
|
Zaman serisi
|
6.Soru
Bir torbada 10 siyah 6 adet beyaz top bulunmaktadır. Bu torbadan art arda ilk çekilen topun torbaya geri konulmaması koşulu çekilen iki topun da siyah olduğu bilindiğine göre ilk topun beyaz olması olasılığı nedir?
|
0 |
|
3/8 |
|
5/8 |
|
7/8 |
|
1 |
İlk top kesinlikle siyah olmalıdır. Dolayısı ile bahsedilen olasılık sıfıra eşittir.
7.Soru
Dağılım normal olan bir sürekli rassal değişkenin ortalaması 150 ve varyansı 64’tür. Bu rassal değişkenin 150 ile 160 arasında değer alması olasılığı kaçtır?
|
0.3944
|
|
1.25
|
|
0.1056
|
|
0.6056
|
|
0.6042
|
8.Soru
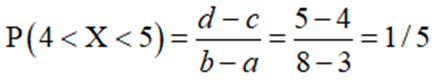
Sürekli X rassal değişkeni, 12 ile 21 değerleri arasında düzgün dağılıma sahip olsun. X rassal değişkeninin 14 ile 19 arasında değer alması olasılığını nedir ?
|
0,35 |
|
0,47 |
|
0,56 |
|
0,63 |
|
0,72 |
P ( c < x < d ) = ((d-c))/((b-a)) olmak üzere P ( 14 < x < 19 ) = ((19-14))/((21-12)) = 5/9 = 0,56
9.Soru
Dağılım normal olan bir sürekli rassal değişkenin ortalaması 150 ve varyansı 64’tür. Bu rassal değişkenin 160’tan büyük değerler alması olasılığı kaçtır?
|
43.64%
|
|
8.10%
|
|
39.44%
|
|
60.56%
|
|
6.42%
|
10.Soru
Beş avcının hedefi vurma olasılıkları sırasıyla 1/2, 1/3, 1/4, 1/5 ve 1/6 ise bu beş avcının aynı anda hedefi vurma olasılığı nedir?
|
1/720
|
|
1/120
|
|
1/20
|
|
1/10
|
|
1/5
|
11.Soru
Bir madeni paranın iki defa atılması deneyinde hiç tura gelmemesi olasılığı kaçtır?
|
0.0875
|
|
0.125
|
|
0.25
|
|
0.375
|
|
0.0625
|
12.Soru
1’den 30’a kadar (30 dahil) olan tam sayılar arasından rastgele seçilen bir sayının 5 ile bölündüğü bilindiğine göre bu sayının 3 ile bölünme olasılığı nedir?
|
1/30
|
|
1/15
|
|
1/5
|
|
1/3
|
|
1
|
13.Soru
Ortalaması 10 standart sapması 2 olan bir normal dağılım veriliyor. Buna göre P( 9<X<12) olasılığı kaçtır?
|
0.2611 |
|
0.3413 |
|
0.38.3 |
|
0.5 |
|
0.5328 |
Ortalamanın sağında ve solunda kalan iki alanın toplanması gerekmektedir.
14.Soru
İki farklı öğrencinin Genel Matematik dersinden başarılı olma olasılıkları sırasıyla 0,7 ve 0,5'dir. Bu iki öğrencinin her ikisinin de Genel Matematik dersinden başarılı olma olasılığı aşağıdakilerden hangisidir?
|
%100 |
|
%75 |
|
%50 |
|
%35 |
|
%12 |
Bu iki olay birbirinden bağımsızdır. İki olayın birlikte gerçekleşme olasılığı
P (A∩B)=P (A).P (B )= 0,7 * 0,5 = 0,35 = %35 olur. Doğru yanıt D'dir.
15.Soru
I. Bir sitede bir haftadaki elektrik tüketimi II. Bir günde belli bir bankaya gelen müşteri sayısı III. Bir firmanın ürettiği ampüllerin kullanım süresi. Yukarıdakilerden hangileri sürekli rassal değişkendir?
|
Yalnız I
|
|
Yalnız II
|
|
Yalnız II
|
|
I-III
|
|
II-III
|
16.Soru
Aşağıdakilerden hangisi tanım kümesi örnek uzay (S), değer kümesi ise reel sayılar (R) olan bir fonksiyondur?
|
Olasılık dağılımı |
|
Varyans |
|
Parametre |
|
Rassal değişken |
|
Beklenen değer |
Rassal bir olayın (ya da deneyin) sonuçlarını, sayısal değerlerle ifade eden değişkene, rassal değişken denir. Rassal değişken kavramı matematiksel olarak da; tanım kümesi örnek uzay (S), değer kümesi ise reel sayılar (R) olan bir fonksiyon olarak tanımlanır.
17.Soru
Standart normal dağılımda z=0,73 sayısına standart normal tablodan karşılık gelen değer kaçtır?
|
0,2673 |
|
0,3456 |
|
0,3643 |
|
0,1179 |
|
0,4243 |
Standart normal dağılım tablosundan z sayısının karşılığı şöyle bulunur. Önce z sütunundan 0,7 değeri bulunur. Daha sonra z satırından 0,03 değeri bulunur. Bu iki değerin kesiştiği yer tablo değeridir.
18.Soru
Bir olayın gerçekleştiğinin bilinmesi durumunda diğer bir olayın gerçekleşmesi olasılığına verilen ad aşağıdakilerden hangisidir?
|
Koşullu olasılık |
|
Bağımsız olasılık |
|
Ayrık olasılık |
|
Birleşik olasılık |
|
Çarpık olasılık |
Bir olayın gerçekleştiğinin bilinmesi durumunda diğer bir olayın gerçekleşmesi olasılığı "koşullu olasılık" olarak adlandırılır.
19.Soru
Bir gözlükçü, gelen müşterinin işini 2 dakika ile 12 dakika arasında çözebilmektedir. Bu gözlükçüye gelen bir müşterinin işini 4 dakikanın altında çözebilme olasılığı ne kadardır?
|
0,10
|
|
0,20
|
|
0,30
|
|
0,40
|
|
0,50
|
20.Soru
3. X rassal değişkeninin olasılık dağılımı aşağıda verildiği gibidir.
X 0 1 2 3 4
P(X=x) 0,10 0,15 0,20 0,25 0,30
Buna göre, X rassal değişkeninin beklenen değeri (µ) aşağıdakilerden hangisidir?
|
1,25 |
|
1,50 |
|
2 |
|
2,50 |
|
3,25 |
Μ = E(X) = ∑_x▒〖x.P(X=x)〗
= 0.P(X=0) + 1.P(X=1) + 2.P(X=2) +3.P(X=3) + 4.P(X=4)
= 0 + 0,15 + 0,40 + 0,75 + 1,20
= 2,50
-
- 1.SORU ÇÖZÜLMEDİ
- 2.SORU ÇÖZÜLMEDİ
- 3.SORU ÇÖZÜLMEDİ
- 4.SORU ÇÖZÜLMEDİ
- 5.SORU ÇÖZÜLMEDİ
- 6.SORU ÇÖZÜLMEDİ
- 7.SORU ÇÖZÜLMEDİ
- 8.SORU ÇÖZÜLMEDİ
- 9.SORU ÇÖZÜLMEDİ
- 10.SORU ÇÖZÜLMEDİ
- 11.SORU ÇÖZÜLMEDİ
- 12.SORU ÇÖZÜLMEDİ
- 13.SORU ÇÖZÜLMEDİ
- 14.SORU ÇÖZÜLMEDİ
- 15.SORU ÇÖZÜLMEDİ
- 16.SORU ÇÖZÜLMEDİ
- 17.SORU ÇÖZÜLMEDİ
- 18.SORU ÇÖZÜLMEDİ
- 19.SORU ÇÖZÜLMEDİ
- 20.SORU ÇÖZÜLMEDİ