İstatistik 2 Final 25. Deneme Sınavı
Toplam 20 Soru1.Soru
Bir araştırmada X ve Y değişkenleri için gözlem değerleri aşağıdaki tabloda verilmiştir. X: 2 4 3 7 Y: 40 60 70 110Bu gözlem değerlerine göre, aşağıdaki değerlerden hangisi Y’deki değişimin ne kadarının X değişkeni tarafından açıklandığını gösterir?
|
0,7123
|
|
0,8267
|
|
0,8901
|
|
0,9434
|
|
0,9713
|
2.Soru
(Yi- Yi) artıklarının kareleri toplamını en küçük yapabilen ? ve ß’ nın tahminlerinin elde edilmesinde kullanılan yöntem aşağıdakilerden hangisidir?
|
t testi
|
|
F testi
|
|
En küçük kareler yöntemi
|
|
Ki-kare testi
|
|
Hipotez testi
|
3.Soru
Hangi doğal durumun ortaya çıkacağının kesinlikle öğrenilmesiyle elde edilebilecek en iyi beklenen değer ile hangi doğal durumun kesinlikle ortaya çıkacağı bilgisi öğrenilmeden önceki en iyi beklenen değer arasındaki fark aşağıdakilerden hangisi ile tanımlanır?
|
En büyük olasılığın beklenen değeri
|
|
En küçük olasılığın beklenen değeri
|
|
Tam bilginin beklenen değeri
|
|
Eksik bilginin beklenen değeri
|
|
Yanlış bilginin beklenen değeri
|
4.Soru
Doğal afetlerin zaman serileri üzerinde etkisiyle meydana gelen dalgalanmalar ne tür dalgalanmalardandır?
|
Düzensiz dalgalanma
|
|
Konjonktürel dalgalanma
|
|
Periyodik ve devri dalgalanma
|
|
Trend
|
|
Mevsimsel dalgalanma
|
5.Soru
Hangi doğal durumun ortaya çıkacağının kesinlikle öğrenilmesiyle elde edilebilecek en iyi beklenen değer ile hangi doğal durumun kesinlikle ortaya çıkacağı bilgisi öğrenilmeden önceki en iyi beklenen değer arasındaki farka ne ad verilir?
|
En büyük olasılık ölçütü |
|
En iyi beklenen değer ölçütü |
|
Tam bilginin beklenen değeri |
|
Hurwicz’in genelleştirilmiş iyimserlik ölçütü |
|
İyimserlik ölçütü |
Hangi doğal durumun ortaya çıkacağının kesinlikle öğrenilmesiyle elde edilebilecek en iyi beklenen değer ile hangi doğal durumun kesinlikle ortaya çıkacağı bilgisi öğrenilmeden önceki en iyi beklenen değer arasındaki farka tam bilginin beklenen değeri denir. Doğru cevap C’dir.
6.Soru
Aralık tahminlemesinde güven aralığının mümkün oldukça dar tutulması arzu edilir. Aşağıdaki güven aralıklarından hangisi en dar güven aralığını vermektedir?
|
% 90
|
|
% 92
|
|
% 95
|
|
% 97
|
|
% 99
|
7.Soru
İki veya daha fazla nicel değişken arasındaki ilişkinin hangi matematiksel modelle ifade edileceğinin araştırılmasına ne ad verilir?
|
Regresyon analizi
|
|
Belirlilik katsayısı
|
|
Korelasyon analizi
|
|
Hipotez testi
|
|
Ki-Kare ilişki analizi
|
8.Soru
Aşağıdaki kavramlardan hangisi, herhangi bir olaya ilişkin olasılık tahmin edilir ya da belirlenirken, mevcut görüşler ve eldeki diğer bilgilerin değerlendirildiği olasılık yaklaşımını ifade etmektedir?
|
Öznel Olasılık
|
|
Saymanın Temel İlkesi
|
|
Klasik Olasılık
|
|
Ortak Olasılık
|
|
Bayes Teoremi
|
9.Soru
Alternatifi Doğal Durumlar 1 2 3 I 400 500 525 II 480 420 500 III 610 480 550 IV 325 600 445 V 205 425 500 Yukarıda kazanç amaçlı bir strateji tablosu verilmiştir. Bu tabloya göre kötümserlik ölçütü kullanan karar vericinin seçeceği karar alternatifi hangisidir?
|
III
|
|
I
|
|
II
|
|
V
|
|
IV
|
10.Soru
Mevsimsel dalgalanmaların bir birini izleyen iki maksimum veya iki minimum nokta arasındaki zaman aralığına ne ad verilir?
|
Dalga uzunluğu
|
|
Değişkenlik ölçüsü
|
|
Dalga şiddeti
|
|
Trend etkisi
|
|
Konjonktür
|
11.Soru
Karar verici tamsayım mı, örnekleme mi uygulanacağına karar verebilmek için aşağıdaki kriterlerden hangisini dikkate almak zorunda değildir?
|
Zaman
|
|
Maliyet
|
|
İncelenecek birimlerin fiziksel zarara uğraması
|
|
Evreni oluşturan birimlerin değişkenliği
|
|
İncelenecek birimlerin katı, sıvı ya da gaz olması
|
12.Soru
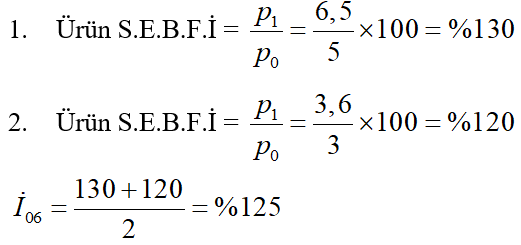
8 ve 9 numaralı sorular aşağıdaki tabloda verilen bilgilere göre hesaplanacaktır?
|
Yıllar |
i (devre) |
1. Ürün fiyat |
2. Ürün Fiyat |
|
2005 |
0 |
5 |
3 |
|
2006 |
1 |
6,5 |
3,6 |
|
2007 |
2 |
7 |
6 |
|
2008 |
3 |
6 |
4,5 |
|
2009 |
4 |
4 |
3,9 |
İndeks ortalamalar tekniği ile 2006 yılına ilişkin sabit esaslı bileşik fiyat indeks değeri aşağıdakilerden hangisidir?
|
%140 |
|
%130 |
|
%126,25 |
|
%125 |
|
%120 |
Doğru cevap C şıkkıdır.
13.Soru
Bir bölgedeki halkın X partisini destekleme oranının 0.9 olduğu iddia edilmektedir. Bu amaç için rassal olarak 300 kişiden oluşan bir örneklem seçilmiş ve seçilen 300 kişiden 90 tanesinin X partisini desteklediği belirlenmiştir. Buna göre, 0.01 anlam düzeyinde iddianın geçerliliği sınanmak istendiğinde hesaplanacak test istatistiği ve karar hakkında aşağıdaki sonuçlardan hangisi doğru olur?
|
Hesaplanacak test istatistiğinin değeri -34.68 dir ve iddia yanlıştır.
|
|
Hesaplanacak test istatistiğinin değeri -0.3 dir ve iddia yanlıştır.
|
|
Hesaplanacak test istatistiğinin değeri 0.9 dur ve iddia doğrudur.
|
|
Hesaplanacak test istatistiğinin değeri -1.9 dur ve iddia doğrudur.
|
|
Hesaplanacak test istatistiğinin değeri 1.9 dur ve iddia yanlıştır.
|
14.Soru
Aşağıdakilerden hangisi indekler için yanlış bir ifadedir?
|
Değişken esaslı indeks hesabında her değer, kendinden bir önceki değere oranlanır.
|
|
Sabit esaslı indeks, zaman serisinde belirli bir devreyi temel alarak serinin bütün değerlerini bunun yüzdesi olarak göstermek suretiyle hesaplanan indekstir.
|
|
İndeks hesabında kesrin paydası sabit kaldığın “sabit esaslı indeks”, değiştiğinde “değişken esaslı indeks” söz konusudur.
|
|
Değişken esaslı indeks oransal bir ölçü iken, sabit esaslı indeks oransal ölçü değildir.
|
|
İndeksler fiyat ve miktar indeksi olarak iki şekilde ele alınmaktadır.
|
15.Soru
Aşağıdakilerden hangisi zaman serilerinin değerlerini etkileyen faktörlerden değildir?
|
Mevsimlik dalgalanmalar
|
|
Konjonktürel dalgalanmalar
|
|
Sistematik dalgalanmalar
|
|
Trend etkisi
|
|
Düzensiz dalgalanmalar
|
16.Soru
Basit doğrusal regresyon modelinde, hata terimlerinin ortak varyansının tahmini aşağıdakilerden hangisi ile hesaplanır?
|
Hata Kareler Toplamı
|
|
Hata Kareler Toplamının Karekökü
|
|
Hata Kareler Ortalamasının Karekökü
|
|
Hata Kareler Ortalamasının serbestlik derecesine bölümü
|
|
Hata Kareler Toplamının serbestlik derecesine bölümü
|
17.Soru
I. Bir şirkette çalışanlar günlük ortalama 7 saat internet kullanmaktadır ifadesi istatistiksel bir hipotezdir. II. İstatistiksel hipotezler daima doğrudur.III. İstatistiksel hipotezlere ilişkin karar belli bir hata payıyla verilir. Yukarıda istatistiksel hipotez ile ilgili verilen bilgilerden hangisi/hangileri doğrudur?
|
Yalnız I
|
|
Yalnız II
|
|
I-III
|
|
II-III
|
|
I-II-III
|
18.Soru
Ki-Kare bağımsızlık testinde, hesaplanan gözenin yer aldığı satır toplam frekansıyla, sütun toplam frekansının çarpılıp, genel toplam frekansa bölünmesiyle hesaplanan değere ne ad verilir?
|
Gözlenen frekans
|
|
Beklenen (Kuramsal) frekans
|
|
Serbestlik derecesi
|
|
Kritik değer
|
|
Test istatistiği
|
19.Soru
I. Uzun devre eğilimi (Trend) II. Konjonktürel dalgalanmalar III. Talep dalgalanmaları IV. Mevsimsel dalgalanmalar V. Rassal dalgalanmalar Yukarıda verilenlerden hangileri aylık bir zaman serisini etkileyen temel faktörlerdendir?
|
I, II, III, IV
|
|
I, II, III, V
|
|
I, II, IV, V
|
|
I, III, IV, V
|
|
II, III, IV, V
|
20.Soru
Aşağıdakilerden hangisi zaman serileri için doğru değildir?
|
Zaman serisi değerleri devamlı derleme ile kaydedilen değerlerdir.
|
|
Zaman serisi değerleri tesadüfi seçilen örnek değerleridir.
|
|
Zaman serisi değerleri daha çok geleceğe yönelik öngörü için kullanılır.
|
|
Hipotez testleri zaman serilerinde uygulanmaz.
|
|
İstatistiksel çıkarsama tekniklerinden olan aralık tahmini zaman serilerinde uygulanmaz.
|
-
- 1.SORU ÇÖZÜLMEDİ
- 2.SORU ÇÖZÜLMEDİ
- 3.SORU ÇÖZÜLMEDİ
- 4.SORU ÇÖZÜLMEDİ
- 5.SORU ÇÖZÜLMEDİ
- 6.SORU ÇÖZÜLMEDİ
- 7.SORU ÇÖZÜLMEDİ
- 8.SORU ÇÖZÜLMEDİ
- 9.SORU ÇÖZÜLMEDİ
- 10.SORU ÇÖZÜLMEDİ
- 11.SORU ÇÖZÜLMEDİ
- 12.SORU ÇÖZÜLMEDİ
- 13.SORU ÇÖZÜLMEDİ
- 14.SORU ÇÖZÜLMEDİ
- 15.SORU ÇÖZÜLMEDİ
- 16.SORU ÇÖZÜLMEDİ
- 17.SORU ÇÖZÜLMEDİ
- 18.SORU ÇÖZÜLMEDİ
- 19.SORU ÇÖZÜLMEDİ
- 20.SORU ÇÖZÜLMEDİ