İstatistik Ara 10. Deneme Sınavı
Toplam 20 Soru1.Soru
Bileşik endeks hesaplamasında tartı olarak temel devre değerlerini alan endekse ne ad verilir?
|
Fisher endeksi |
|
Laspeyres endeksi |
|
Paasche endeksi |
|
Basit endeks |
|
Ortalamalr endeksi |
Bileşik endeks hesaplamasında tartı olarak temel devre değerlerini alan endekse Laspeyres endeksi denir. Doğru cevap B'dir.
2.Soru
Yıllık ortalama üretim 2000 adet ve standart sapma 100 adet ise değişim katsayısı kaçtır?
|
% 5 |
|
% 10 |
|
% 20 |
|
%30 |
|
% 40 |
Değişim katsayısı, bir serinin standart sapmasının aritmetik ortalamaya bölünüp 100 ile çarpılması sonucu elde edilen oransal bir ölçüdür.
DK = (Standart sapma/Aritmetik ortalama)*100 = (100/2000)*100 = % 5.
3.Soru
Aşağıdaki verilen değişkenlerden hangisi ya da hangilerinin ölçümünde oranlı ölçek kullanılır?
I. Cinsiyet
II. Ağırlık
III. Uzunluk
IV. Zeka
|
Yalnız I |
|
I-II |
|
II-III |
|
I-IV |
|
III-IV |
Cinsiyet nitel bir değişkendir. Kadın ve erkek olmak üzere iki kategoriye ayrılır. Sınıflayıcı ölçektir.
Zeka nicel bir değişkendir. Eşit ölçme düzeyine sahiptir. Eşit aralıklı ölçektir.
Ağırlık ve uzunluk en üst seviye ölçektir. Oranlı ölçek türüdür.
4.Soru
Aşağıdakilerden hangisi bilimsel araştırma sürecinin aşamalarından değildir?
|
Betimleme
|
|
İlişki araştırma
|
|
Karşılaştırma
|
|
Tahminleme, Kestirim ve Öngörü
|
|
Hesaplama
|
5.Soru
Parçalandığı ya da birleştirildiğinde özelliğini yitiren birimlere ne ad verilir?
|
Kesikli birim |
|
Serpilme birimi |
|
Doğal birim |
|
Nokta birimi |
|
Pasta birimi |
Parçalandığı ya da birleştirildiğinde özelliğini yitiren birimlere doğal birim denir.
6.Soru
İstatistiğin konusunu ……………….olaylar oluşturur.
Yukarıdaki cümlede boş bırakılan yeri aşağıdakilerden hangisi doğru şekilde tamamlar?
|
Yığın |
|
Tipik |
|
Doğal |
|
Gerçek |
|
Maddi |
Yığın
7.Soru
Bir manav kilogramı 5 TL’lik elmadan 20 kg, 10 TL’lik muzdan 10 kg ve 8 TL’lik portakaldan 25 kg satın almıştır. Satın alınan meyve başına ödenen ortalama fiyat nedir?
|
7,30 |
|
9,88 |
|
5,29 |
|
7,27 |
|
4,45 |
formülüne göre öncelikle meyvelerin gözlem değerleri ile frekansları tek tek çarpılacak, sonra toplanacaktır. Buna göre
olarak hesaplanır. Doğru yanıt D seçeneğidir.
8.Soru
Mayıs-2016 ayına ilişkin 6 farklı şehirdeki toplu taşıma genç fiyatları aşağıdaki tabloda verilmiştir.
| Şehir | Fiyat() |
| İzmir | 2.45 |
| Eskişehir | 2.20 |
| Çanakkale | 2.10 |
| Yozgat | 1.25 |
| İstanbul | 4.00 |
| Ankara | 3.00 |
Ankara için endeks değeri (Mekansal) ve yorum hangi seçenekte doğru verilmiştir?
|
120 , Tabloda verilen 6 ilin ortalamasına göre %20 daha yüksektir. |
|
98, Tabloda verilen 6 ilin ortalamasına göre %2 daha düşüktür. |
|
88, Tabloda verilen 6 ilin ortalamasına göre %12 daha yüksektir. |
|
160, Tabloda verilen 6 ilin ortalamasına göre % 60 daha yüksektir. |
|
50 , Tabloda verilen 6 ilin ortalamasına göre % 50 daha yüksektir. |
Bir serinin mekan endekslerini hesaplayabilmek için önce verilen serinin aritmetik ortalaması bulunması gerekir.
olarak bulunur. Endeks;
olur. Toplu taşıma genç fiyatı , tabloda verilen 6 ilin ortalamasına göre %20 daha yüksektir.
9.Soru
Grup ortalamaları ile frekanslar çarpımının toplamı 400 ve frekanslar toplamı 20 olan bir gruplandırılmış serinin aritmetik ortalaması kaçtır?
|
22 |
|
20 |
|
10 |
|
40 |
|
24 |
Sorunun cevabı=20
aritmetik ortalama=400/20=20
10.Soru
Aşağıdaki kaynaklardan hangisi yazılı olmayan belgeye dayalı veri toplama yöntemine örnektir?
|
Sektör raporları |
|
Ülke raporları |
|
Basın anketleri |
|
Dergi |
|
Radyo |
Rapor, anket ve dergiler yazılı belgeye dayalı, very toplama malzemeleridir. Ancak radio yazılı olmayan işitsel bir veri toplama malzemesidir.
11.Soru
Bir araştırmada veri sayısı çok büyük olduğunda ve birbirinden farklı çok fazla sonucun ortaya çıklması söz konusu olduğunda, veriler için uygun seri türü aşağıdakilerden hangisidir?
|
Basit seri
|
|
Frekans serisi
|
|
Gruplandırılmış seri
|
|
Zaman serisi
|
|
Mekan serisi
|
12.Soru
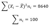
Yukarıda verilenlere göre bu serinin standart sapması kaçtır?
|
0,11 |
|
0,93 |
|
9,295 |
|
86,4 |
|
864 |
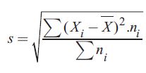
Frekans ve gruplandırılmış serilerde standart sapmanın formülü aşağıdaki gibidir:
Buna göre standart sapma 9,295 olarak bulunur. Doğru cevap C'dir.
13.Soru
Aşağıdakilerden hangisi oranlı ölçekte ölçülen bir değişkendir?
|
KPSS başarı puanı |
|
Akademik unvan |
|
Sıcaklık |
|
Formula 1 yarış sonuçları |
|
Kitapların sayfa sayıları |
Kitapların sayfa sayıları oranlı bir değişkendir çünkü 0 sayfa sayısı yokluk belirtir. Doğru cevap E'dir.
14.Soru
Aşağıda verilen gruplandırılmış serinin aritmetik ortalaması kaçtır? (Gruplar: 1-3, 3-5, 5-7, 7,9 ; ni: 2, 4, 5, 3)
|
3.5
|
|
4.28
|
|
5.28
|
|
6.5
|
|
7.28
|
15.Soru
İstatistik dersinin başarı notu hesaplanmasında I. ara sınav %15, II. ara sınav %25, dönem sonu sınavı %50 ve proje ödevi de %10 etkendir. İstatistik dersinde I. ara sınav notu 70, II. ara sınav notu 80, dönem sonu sınav notu 75 ve proje ödevi notu 90 olan bir öğrencinin başarı notu kaçtır?
|
76
|
|
77
|
|
78
|
|
75
|
|
79
|
16.Soru
Belirli bir değerden daha küçük ya da belirli bir değerden daha büyük kaç tane gözlem değeri olduğu bilgisini üreten serilere ne ad verilir?
|
Zaman serisi
|
|
Birikimli seri
|
|
Frekans serisi
|
|
Basit seri
|
|
Mekan serisi
|
17.Soru
"Her sınıfın üst sınır değeri ile alt sınır değeri arasındaki farka sınıf aralığı adı verilmektedir" Yukarıdaki bilgiye göre sınıf aralığı hangi seriler için söz konusu olmaktadır?
|
Frekans Serisi
|
|
Basit Seri
|
|
Mekan Serisi
|
|
Zaman Serisi
|
|
Gruplandırılmış Seri
|
18.Soru
Her an incelemeye hazır olan ve devamlı birim olarak tanımlanan birimlerden oluşan evrenlere ne ad verilir?
|
Hazır Evren
|
|
Gerçek Evren
|
|
Sonsuz Evren
|
|
Sürekli Evren
|
|
Varsayımsal Evren
|
19.Soru
A-malının yıllara göre satış fiyatı aşağıda verilmiştir. Buna göre 2011 yılı değişken esaslı fiyat endeksi nedir? YILLAR A-Malı Fiyatı(TL) 2010 120--- Soru için gerekli bilgiler soru sonunda yazılmamış. Dolayısıyla çözülemez.
|
%100,00
|
|
%137,5
|
|
%103,03
|
|
%109,41
|
|
%112,90
|
20.Soru
Küçük değerden büyük değere doğru sıralanmış gözlem değerlerinden oluşan seriyi, gözlem sayısı bakımından iki eşit kısmi seriye ayıran değere ne ad verilmektedir?
|
Aritmetik ortalama
|
|
Geometrik ortalama
|
|
Medyan ortalama
|
|
Mod ortalama
|
|
Kareli ortalama
|
-
- 1.SORU ÇÖZÜLMEDİ
- 2.SORU ÇÖZÜLMEDİ
- 3.SORU ÇÖZÜLMEDİ
- 4.SORU ÇÖZÜLMEDİ
- 5.SORU ÇÖZÜLMEDİ
- 6.SORU ÇÖZÜLMEDİ
- 7.SORU ÇÖZÜLMEDİ
- 8.SORU ÇÖZÜLMEDİ
- 9.SORU ÇÖZÜLMEDİ
- 10.SORU ÇÖZÜLMEDİ
- 11.SORU ÇÖZÜLMEDİ
- 12.SORU ÇÖZÜLMEDİ
- 13.SORU ÇÖZÜLMEDİ
- 14.SORU ÇÖZÜLMEDİ
- 15.SORU ÇÖZÜLMEDİ
- 16.SORU ÇÖZÜLMEDİ
- 17.SORU ÇÖZÜLMEDİ
- 18.SORU ÇÖZÜLMEDİ
- 19.SORU ÇÖZÜLMEDİ
- 20.SORU ÇÖZÜLMEDİ