İstatistik Final 15. Deneme Sınavı
Toplam 20 Soru1.Soru
Bir katı meyve sıkacağı üreticisi, üretimde kullandıkları motorların ne kadar süre dayandığını tahmin etmek istemektedir. Bu amaçlar üretim sırasında rassal olarak 26 meyve sıkacağı seçilmiş ve bunların motorlarının ortalama 1345 saat kullanılabildiği ve standart sapmanın 145 saat olduğu belirlenmiştir. 0,05 anlam düzeyi için istenilen tahmin aşağıdakilerden hangisinde doğru verilmiştir.
|
1263,89< μ<1427,69
|
|
1260,29< μ<1429,71
|
|
1261,93< μ<1428,08
|
|
1265,74< μ<1424,26
|
|
1264,18< μ<1425,82
|
2.Soru
Bir önceki gün Bist' te yer alan şirketlerin yarısının pay fiyatı artmıştır. Bist' ten tesadüfi olarak seçilen iki şirketin her ikisinin de pay fiyatının bir önceki gün artmış olma olasılığı nedir?
|
0,5 |
|
0,05 |
|
1 |
|
0,25 |
|
0,75 |
Seçilen şirketlerin pay fiyatlarının artması olayları birbirinden bağımsızdır.Buna göre soruda istenen olasılık özel çarpma kuralı yardımıyla hesaplanabilir. verilen bilgiye göre seçilen birinci şirketin ve ikinci şirketin pay fiyatının artma olasılığı 0,5' tir. İki olayın gerçekleşme olasılıkları çarpımı iki olayın birlikte gerçekleşme olasılığını verir. Aranan olasılık 0,5*05=0,25' tir. Doğru cevap d' dir.
3.Soru
|
46,66 |
|
82,14 |
|
53,57 |
|
50,00 |
|
78,57 |
i. devre değerinin (i-1). devre değerine bölünmesi ve 100 ile çarpılmaıyla elde hesaplanır.
4.Soru
Seriyi oluşturan gözlem değerlerinin birbirlerinden ve aritmetik ortalamadan ne derece uzaklaştıklarını gösteren ölçü aşağıdakilerden hangisidir?
|
Değişkenlik ölçüsü |
|
Değişim Aralığı |
|
Dağılma ölçüsü |
|
Varyans |
|
Ortalama |
Seriyi oluşturan gözlem değerlerinin birbirlerinden ve aritmetik ortalamadan ne derece uzaklaştıkları, değişkenlik ölçüsü ile belirlenir.
5.Soru
r=0,8 n=20 ve α=0,5 olarak verilmiş olsun. Buna göre;
H0: ρ=0 (x ve y değişkenleri arasında korelasyon yoktur.)
H1: ρ≠0 (x ve y değişkenleri arasında korelasyon vardır.) hipotezi test edilmek isteniyor.
Hipotez testinin sonucuna göre aşağıdakilerden hangisi doğrudur?
|
H0 hipotezi kabul edilir. |
|
tH değeri kritik bölgede yer almaz. |
|
Evrendeki x ve y değişkenleri arasında korelasyon vardır. |
|
Evrendeki x ve y değişkenleri arasında korelasyon değeri sıfıra eşittir. |
|
Değişkenler arasında ilişki yoktur. |
Hesaplanan 7,06 değeri kritik değerler aralığı dışında yer aldığından (tH> tT) H0 hipotezi (Evrendeki x ve y değişkenleri arasında korelasyon yoktur) hipotezi reddedilir, H1(Evrendeki x ve y değişkenleri arasında korelasyon vardır) hipotezi kabul edilir.
6.Soru
Aşağıdaki adımlardan hangisi bir sistematik örneklem oluşturmak için izlenecek adımların başında gelir?
|
Araştırma için yeterli olacak örneklem hacmi n belirlenir. |
|
Büyütme faktörü hesaplanır. |
|
Elde edilen veriler kullanılarak gerekli istatistikler hesaplanır. |
|
Evrendeki birimler 1’den N’ye kadar numaralandırılır. |
|
Örnekleme aralığı hesaplanır. |
Bir sistematik örneklem oluşturmak için aşağıdaki adımlar izlenir:
• Evrendeki birimler 1’den N’ye kadar numaralandırılır.
• Araştırma için yeterli olacak örneklem hacmi n belirlenir.
• Büyütme faktörü (k) hesaplanır. Bu oran örnekleme aralığını gösterir.
• 1 ile k arasında bir tamsayı rassal olarak seçilir. Bu sayı a ile gösterilirse a örnekleme girecek birinci birimin sıra numarası olur.
• a’ıncı birimi k aralıklarıyla izleyen a + k’ıncı , a + 2k’ıncı , ... , a + (n - 1)k’ıncı sıra nolu birimler örnekleme seçilir ve n hacimli sistematik örneklem oluşturulur.
• Oluşturulan örneklemden elde edilen veriler kullanılarak gerekli istatistikler hesaplanır.
Doğru yanıt D seçeneğidir.
7.Soru
Verilerin işlenmiş haline ne ad verilir?
|
Bilim |
|
Bilgi |
|
Özbilgi |
|
Parametre |
|
İstatistik |
Bilim, araştırma sonucu kanıtlanmış ve geçerliliği kabul edilmiş bilgiler bütünüdür. Bilgi, verinin işlenmiş halidir. Özbilgi, bilginin kişiye özgü anlamını ifade eder. Parametre ise evren hakkındaki önemli özellikleri taşıyan nicelikleri, istatistik de parametre değerleri hakkından örneklem üzerinden hesaplanan tahminleri ifade eder.
8.Soru
Bir rassal örneklemden hesaplanan istatistikler yardımıyla ilgili evrenin parametre değerinin araştırılmasına ne ad verilir?
|
Örnekleme
|
|
Tahminleme
|
|
Hipotez Testi
|
|
İstatistiksel Karar
|
|
İstatistiksel Çıkarım
|
9.Soru
Bir serinin standart sapmasının aritmetik ortalamaya bölünüp 100 ile çarpılması sonucu elde edilen oransal ölçüyü ifade eden kavram aşağıdakilerden hangisidir?
|
Değişim Katsayısı
|
|
Asimetri Ölçüsü
|
|
Ortalamaya Dayalı Asimetri Ölçüsü
|
|
Standart Sapma
|
|
Varyans
|
10.Soru
Bir pazarlama müdürü düzenledikleri yeni kampanyanın ürün tercihi üzerinde %75'ten fazla etkisi olduğunu düşünmektedir. Bu düşüncesini araştırmak adına ürünü satın alan müşterilere düzenledikleri kampanyanın ürünü satın alma tercihleri üzerinde bir etkisi olup olmadığını sormaktadır. Rasgele seçtiği 100 müşteri seçip kampanyanın etkisi ile 70 müşterinin ürünü tercih ettiği bilgisine ulaşmıştır. Pazarlama müdürünün düşüncesi 0.05 anlamlılık düzeyinde test edildiğinde hesaplanan test istatistiği değeri kaçtır?
|
1.16
|
|
1.26
|
|
-1.16
|
|
-1.26
|
|
1.36
|
11.Soru
Bir evrenden alınan örneklerden derlenen veri ortalamalarının 0,05 anlam düzeyinde daha önceden belirlenen değerden az olup olmadığı sınanmak istenmektedir.Bu sınamada örneklem dağılımının red bölgesi aşağıdakilerden hangisidir?
|
Sağ uçta, %2,5’lik alan
|
|
Sağ uçta %5’lik alan
|
|
Sol uçta, %2,5’lik alan
|
|
Sol uçta, %5’lik alan
|
|
Sağ uçta %2,5’lik alan ve sol uçta %2,5’lik alan
|
12.Soru
Birim kümelerin örnekleme birimi olarak tanımlandığı ve rassal seçimin uygulandığı örnekleme yöntemine ne ad verilir?
|
Tek aşamalı örnekleme
|
|
Tabakalı örnekleme
|
|
Kota örneklemesi
|
|
Basit rassal örnekleme
|
|
Sistematik örnekleme
|
13.Soru
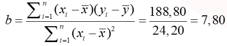
x ve y değişkenlerine ilişkin yukarıda verilen hesaplamalara göre regresyon doğrusunun kesim noktası kaçtır?
|
0,24 |
|
5,26 |
|
111,32 |
|
108,52 |
|
180,28 |
Regresyon doğrusunun kesim noktası
eşitliği ile hesaplanmaktadır. İlk olarak regresyon doğrusunun eğimi (b) değerini bulmak gerekir. Regresyon doğrusunun eğimi
şeklinde hesaplanır.olur.
14.Soru
N=6 birimlik bir evrenden iadeli seçim yöntemi ile n=2 birimlik kaç farklı örneklem seçilebilir?
|
2 |
|
6 |
|
15 |
|
36 |
|
64 |
Belirlenen sonlu evrende yer alması gereken birim oluşturulacak çerçevede yer almıyorsa veya birden fazla yer alıyorsa kura seçiminin rassallığı etkilenir. N hacimli sonlu bir evrende rassal iadeli seçimle Nn tane farklı örneklem seçmek mümkün olur. Dolayısıyla N=6 birimlik bir evrenden iadeli seçim yöntemi ile n=2 birimlik
farklı örneklem seçilebilir. Doğru yanıt D seçeneğidir.
15.Soru
İki değişken arasındaki belirlilik katsayısı r2 = 0,87 olarak hesaplanmıştır. Bu sonuca göre aşağıdaki ifadelerden hangisi doğrudur?
|
Bağımlı değikendeki değişmelerin %13'ü bağımsız değişken tarafından açıklanmaktadır.
|
|
Bağımlı değikendeki değişmelerin %87'i bağımsız değişken tarafından açıklanmaktadır.
|
|
Bağımsız değikendeki değişmelerin %13'ü bağımlı değişken tarafından açıklanmaktadır.
|
|
Bağımsız değikendeki değişmelerin %87'i bağımlı değişken tarafından açıklanmaktadır.
|
|
Bağımlı değişken ile bağımsız değişken % 87 bir birine bağımlıdır.
|
16.Soru
“Laspeyres ve Paasche endekslerinin geometrik ortalaması alınarak hesaplanan endekse …… denir.” cümlesinde noktalı alana aşağıdaki ifadelerden hangisi gelir?
|
Endeksler ortalaması |
|
Ortalamalar endeksi |
|
Basit endeks |
|
Sabit esaslı endeks |
|
Fisher endeksi |
Laspeyres ve Paasche endekslerinin geometrik ortalaması alınarak hesaplanan endekse Fisher endeksi denir.
17.Soru
Aşağıdakilerden hangisi olasılıklı olmayan örnekleme yöntemlerindendir?
|
Basit rassal örnekleme
|
|
Tabakalı örnekleme
|
|
Sistematik örnekleme
|
|
Kota örneklemesi
|
|
Tek ve çok aşamalı örnekleme
|
18.Soru
Sonlu ya da sayılabilir sayıda farklı değeri bulunan rassal değişkenlere ne ad verilir?
|
Kesikli rassal değişken |
|
Genel rassal değişken |
|
Süreksiz rassal değişken |
|
Normal rassal değişken |
|
Sürekli rassal değişken |
Sonlu ya da sayılabilir sayıda farklı değeri bulunan rassal değişkenlere kesikli rassal değişken adı verilir.
19.Soru
İki zarın atılması deneyinde, her iki zarın da 3 gelmesi olayının gerçekleşme olasılığı aşağıdaki seçeneklerden hangisine eşittir?
|
1/36 |
|
1/12 |
|
1/6 |
|
2/6 |
|
1/9 |
Her bir zarın 3 gelme ihtimali 1/6 ise her iki zarın 3 gelme olasılığı, 1/6*1/6 = 1/36 dır. Doğru yanıt A seçeneğidir.
20.Soru
İki değişken arasındaki ilişki aşağıdakilerden hangisi gibi olamaz?
|
Doğrusal
|
|
Eğrisel
|
|
Aynı yönlü
|
|
Ters yönlü
|
|
Rasgele
|
-
- 1.SORU ÇÖZÜLMEDİ
- 2.SORU ÇÖZÜLMEDİ
- 3.SORU ÇÖZÜLMEDİ
- 4.SORU ÇÖZÜLMEDİ
- 5.SORU ÇÖZÜLMEDİ
- 6.SORU ÇÖZÜLMEDİ
- 7.SORU ÇÖZÜLMEDİ
- 8.SORU ÇÖZÜLMEDİ
- 9.SORU ÇÖZÜLMEDİ
- 10.SORU ÇÖZÜLMEDİ
- 11.SORU ÇÖZÜLMEDİ
- 12.SORU ÇÖZÜLMEDİ
- 13.SORU ÇÖZÜLMEDİ
- 14.SORU ÇÖZÜLMEDİ
- 15.SORU ÇÖZÜLMEDİ
- 16.SORU ÇÖZÜLMEDİ
- 17.SORU ÇÖZÜLMEDİ
- 18.SORU ÇÖZÜLMEDİ
- 19.SORU ÇÖZÜLMEDİ
- 20.SORU ÇÖZÜLMEDİ