İstatistik Final 16. Deneme Sınavı
Toplam 20 Soru1.Soru
Aşağıdakilerden hangisi hipotez testi sürecinin aşamalarından biri değildir?
|
Sıfır hipotezinin ifade edilmesi |
|
Anlamlılık düzeyinin belirlenmesi |
|
Verilerin derlenmesi |
|
Test istatistiğinin seçilmesi |
|
İstatistiksel kararın verilmesi |
Hipotez testi sürecinin aşamaları;
- Hipotezlerin ifade edilmesi
- Anlamlılık düzeyinin belirlenmesi
- Verilerin derlenmesi
- Test istatistiğinin seçilmesi
- İstatistiksel kararın verilmesi
2.Soru
Laspeyres ve paasche indekslerinin geometrik ortalaması alınarak hesaplanan endeks hangisidir?
|
Basit endeks |
|
Bileşik endeks |
|
Sabit esaslı endeks |
|
Değişken esaslı endeks |
|
Fisher endeksi |
Laspeyres ve paasche indekslerinin geometrik ortalaması alınarak hesaplanan endeks Fisher endeksidir.
3.Soru
Bir regresyon denkleminde açıklayıcı(bağımsız) değişkenin, açıklanan (bağımlı) değişkendeki değişkenliğin ne kadarını açıkladığını belirlemek için hangi katsayı hesaplanır?
|
Regresyon katsayısı
|
|
Korelasyon katsayısı
|
|
Regresyon sabiti
|
|
Belirlilik katsayısı
|
|
Tahminlerin standart hatası
|
4.Soru
Örneklem istatistiğinin tanımı aşağıdakilerden hangisidir?
|
Evren için hesaplanan aritmetik ortalamadır.
|
|
Evren için hesaplanan standart sapmadır.
|
|
Örneklemden elde edilen veri kümesi kullanılarak yapılacak çözümlemenin sonucu olan bilgidir.
|
|
Örneklem birimidir.
|
|
Örneklem hacmidir.
|
5.Soru
Aşağıda verilen tahmin türlerinden hangisi istatistiksel tahminleme türlerinin dışında kalmaktadır?
|
Evren aritmetik ortalamasının nokta tahminlemesi
|
|
Evren oranının nokta tahminlemesi
|
|
Evren aritmetik ortalamasının aralık tahminlemesi
|
|
Evren oranının aralık tahminlemesi
|
|
Evren oranına ilişkin hipotez testi
|
6.Soru
Evrenden belirli yöntemlerle seçilmiş olan ve seçildiği evreni temsil ettiği düşünülen birimler kümesi aşağıdakilerden hangisidir?
|
Örnekleme
|
|
İstatistik
|
|
Örneklem
|
|
Tam sayım
|
|
Örnek istatistiği
|
7.Soru
Bileşik endeks hesaplamasında, tartı olarak hesaplaması yapılan devre değerlerini alan endekse ne ad verilir?
|
Fisher endeksi |
|
Laspeyres endeksi |
|
Paasche endeksi |
|
Basit endeks |
|
Ortalamalar endeksi |
Bileşik endeks hesaplamasında, tartı olarak hesaplaması yapılan devre değerlerini alan endekse Paasche endeksi adı verilir. Doğru cevap C'dir.
8.Soru
Yıllara göre kurşunsuz benzin fiyatında meydana gelen değişim oransal olarak hesaplanmak istenmektedir. Bu amaçla 2010-2019 kurşunsuz benzin fiyatları verisi elde edilmiştir. 2010 yılı temel devre kabul edilerek endeks değerleri elde edilmiştir.
Yapılan hesaplamada hangi endeks bulunmuştur?
|
Sabit esaslı miktar indeksi |
|
Değişken esaslı miktar indeksi |
|
Değişken esaslı fiyat indeksi |
|
Sabit esaslı fiyat indeksi |
|
Fisher (İdeal) indeks |
Bir zaman serisinin gözlem değerlerinin, temel devre değeri olarak isimlendirilen sabit bir dönem değerine göre değişimleri hesaplanmak istendiğinde sabit esaslı endeks kullanılır. Kurşunsuz benzin fiyatlarındaki oransal değişim 2010 yılına göre hesaplanmıştır. Temel devre sabit fiyattaki değişim belirlenmiş, doğru cevap sabit esaslı fiyat endeksidir.
9.Soru
Bir denemenin bir ya da daha fazla sonucundan oluşan kümeye ............ adı
verilir.
Aşağıdaki ifadelerden hangisi boşluğu doğru biçimde tamamlar?
|
Deney |
|
Olay |
|
Olasılık |
|
Örneklem Uzayı |
|
Eleman |
Çeşitli olası gözlemlerden yalnızca birinin gerçekleşmesi ile sonuçlanan sürece
deneme adı verilir. Bir denemenin sona erme biçimi sonuç adını alır. Bir denemenin tüm olası sonuçlarından oluşan küme ise örneklem uzayı olarak isimlendirilir. Bir denemenin bir ya da daha fazla sonucundan oluşan kümeye ise bir olay denir. Olasılığa ilişkin temel kavramları tekrar ettik. Verilen bilgilerden hareketle olayın tanımının paylaşıldığı görülür. Doğru cevap b' dir.
10.Soru
“… bir olayın ortaya çıkma şansını ifade eden sıfır ile bir kapalı aralığında (0 ve 1 dahil) bir değerdir.” cümlesinde noktalı alana aşağıdaki ifadelerden hangisi gelir?
|
Olasılık |
|
Deneme |
|
Sonuç |
|
Örneklem uzayı |
|
Varyans |
Olasılık, bir olayın ortaya çıkma şansını ifade eden sıfır ile bir kapalı aralığında (0 ve 1 dahil) bir değerdir.
11.Soru
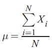
Evren hacmi 10 ve gözlem değerleri toplamı 50 olduğunda aritmetik ortalama aşağıdakilerden hangisine eşit olur?
|
µ=5 |
|
µ=10 |
|
µ=20 |
|
µ=25 |
|
µ=50 |
Evren aritmetik ortalaması yukarıdaki formül uyarınca hesaplanır. Buradan cevap aşağıdaki gibi elde edilir:
µ=50/10=5
Doğru cevap A'dır.
12.Soru
Bir sınıfta 15 öğrenci arasından bir başkan, bir başkan yardımcısı, bir okul temsilcisi olmak üzere üç kişilik bir grup kaç farklı şekilde seçilebilir?
|
1250 |
|
1750 |
|
2008 |
|
2500 |
|
2730 |
13.Soru
Bir mağazada satılan herhangi bir ürünün defolu olma olasılığı 0.25'tir. Bu mağazada arasından rassal olarak seçilen 5 üründen 4!ünün defolu olma olasılığı nedir?
|
0.0146 |
|
0.0723 |
|
0.1862 |
|
0.2755 |
|
0.6713 |
= 0.0146
14.Soru
Aşağıda verilen seriye ne ad verilir? (Servis Kalitesi: Çok iyi, İyi, Orta, Kötü, Çok kötü; Müşteri sayısı:15, 22, 34, 26, 19)
|
Basit seri
|
|
Gruplandırılmış seri
|
|
Nitel dağılma serisi
|
|
Zaman serisi grafiği
|
|
Mekan serisi
|
15.Soru
Aşağıdaki verilen seçeneklerden hangisi “İkincil Veri Türlerinden Çok Kaynaklı Veri” türünde yer alır?
|
Yazılı Malzemeler |
|
Alan Çalışmaları |
|
Sayımlar |
|
Basın Anketleri |
|
Anketler |
İkincil veri türleri:
- Belgeye Dayalı
- Yazılı Malzemeler
- Yazılı olmayan Malzemeler
- Rapor, e posta, Dergi
- Televizyon, Radyo, Vizyon kaydı
- Çok Kaynaklı
- Alan Çalışmaları
- Zaman Serisi Çalışmaları
- Sektör Raporları, Ülke Raporları
- Endüstri Raporları
- Anket
- Sayımlar
- Anketler
- Nüfus Sayımı
- Oda Anketleri, Basın Anketleri
olmak üzere 3 bölümde incelenir.
16.Soru
İstatistiksel bir hipotez testinde aşağıdaki durumların hangisinde 1. tip hata yapılmış olur?
|
Sıfır hipotezi doğru iken test sonucunda kabul edilirse
|
|
Sıfır hipotezi doğru iken test sonucunda reddedilirse
|
|
Sıfır hipotezi doğru değilken test sonucunda kabul dedilirse
|
|
Sıfır hipotezi doğru değilken test sonucunda reddedilirse
|
|
Karşıt hipotez doğru iken test sonucunda sıfır hipotezi kabul dedilirse
|
17.Soru
Aşağıda verilen birimlerden hangisi devamlı birimdir?
|
Bir üniversitedeki öğretim elemanları |
|
Bir hastanede yeni doğan bebekler |
|
Bir ülkede meydana gelen doğal afetler |
|
Bir ülkede meydana gelen grevler |
|
Bir şehirde gerçekleşen intiharlar |
Bir üniversitedeki öğretim elemanları
18.Soru
y=3-2x regresyon denklemi ele alındığında açıklayıcı değişkende meydana gelen 1 birimlik azalma açıklanan değişkende nasıl bir etkiye neden olur ?
|
Değerini 2 birim arttırır.
|
|
Değerini 2 birim azaltır.
|
|
Değerini 3 birim arttırır.
|
|
Değerini 3 birim azaltır.
|
|
Değerini değiştirmez.
|
19.Soru
Aşağıdakilerden hangisi Olasılıklı Örnekleme Yöntemlerinden biri değildir?
|
Basit Rassal Örnekleme
|
|
Yargısal Örnekleme
|
|
Tabakalı Örnekleme
|
|
Sistematik Örnekleme
|
|
Tek ve Çok Anlamlı Örnekleme
|
20.Soru
Aşağıdakilerden hangisi örneklemeyi gerekli kılan nedenlerden biri değildir?
|
Sonsuz evren
|
|
Maliyet
|
|
Zaman
|
|
Fiziksel tahribat
|
|
Örnekleme hacmi
|
-
- 1.SORU ÇÖZÜLMEDİ
- 2.SORU ÇÖZÜLMEDİ
- 3.SORU ÇÖZÜLMEDİ
- 4.SORU ÇÖZÜLMEDİ
- 5.SORU ÇÖZÜLMEDİ
- 6.SORU ÇÖZÜLMEDİ
- 7.SORU ÇÖZÜLMEDİ
- 8.SORU ÇÖZÜLMEDİ
- 9.SORU ÇÖZÜLMEDİ
- 10.SORU ÇÖZÜLMEDİ
- 11.SORU ÇÖZÜLMEDİ
- 12.SORU ÇÖZÜLMEDİ
- 13.SORU ÇÖZÜLMEDİ
- 14.SORU ÇÖZÜLMEDİ
- 15.SORU ÇÖZÜLMEDİ
- 16.SORU ÇÖZÜLMEDİ
- 17.SORU ÇÖZÜLMEDİ
- 18.SORU ÇÖZÜLMEDİ
- 19.SORU ÇÖZÜLMEDİ
- 20.SORU ÇÖZÜLMEDİ