Karar Modelleri Final 11. Deneme Sınavı
Toplam 20 Soru1.Soru
Aşağıdakilerden hangisi tam bilgi durumunda beklenen kâr değeri ile bilgi öncesi analizde seçilen en iyi seçeneğin beklenen kâr değeri arasındaki farkı göstermektedir?
|
Risk ortamında beklenen kar |
|
Ek bilgi maliyeti |
|
Tam bilginin beklenen değeri |
|
Tam bilgi olduğunda beklenen kar |
|
Kar marjı |
Tam bilginin beklenen değeri, tam bilgi durumunda beklenen kâr değeri ile bilgi öncesi analizde seçilen en iyi seçeneğin beklenen kâr değeri arasındaki farkı göstermektedir.
2.Soru
I. tüketici davranışı
II. müşteri ve ürün sadakatine ait tahminlerde
III. geçmiş tüketici verilerinin bulunmadığı yeni ürünlerin tanıtımında
ykarıdaki maddelerden hangisi benzetim yönteminin pazarlamada kullanıldığı alanlar arasındadır?
|
Yalnız I |
|
Yalnız II |
|
I ve II |
|
II ve III |
|
I, II ve III |
Benzetim yöntemi Pazarlamada; tüketici davranışı, müşteri ve ürün sadakatine ait tahminlerde, geçmiş tüketici verilerinin bulunmadığı yeni ürünlerin tanıtımında kullanılabilnektedir.
3.Soru
Kısıtlarının tamamı eşitlik formunda olan doğrusal olmayan programlama problemlerinin çözümünde kullanılan yöntem nedir?
|
Lagrange Çarpanları Yöntemi |
|
Yerine Koyma Yöntemi |
|
Kısıtsız Optimizasyon yöntemi |
|
Kısıtlı Optimizasyon Yöntemi |
|
Analitik Çözüm Yöntemi |
Lagrange çarpanları, kısıtlarının tamamı eşitlik formunda olan doğrusal olmayan programlama problemlerinin çözümünde kullanılır.
4.Soru
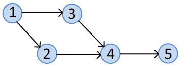
Yukarıda yer alan çizgede 1 numaralı düğümden, 5 numaralı düğüme en kısa yolu veren rota aşağıdakilerden hangisidir?
|
1-2-5 |
|
1-3-4-5 |
|
1-2-4-5 |
|
1-3-2-5 |
|
1-2-3-4-5 |
Problemin çözümü aşağıda gösterilmiştir:
5.Soru
7. ve 8. sorular yukarıda verilen çizgeden yararlanılarak cevaplandırılacaktır.
Şekildeki çizgede 1 numaralı düğümden 5 numaralı düğüme en kısa yol ile gitmek için izlenmesi gereken numaralar aşağıdakilerden hangisidir?
|
1-2-5 |
|
1-4-5 |
|
1-3-5 |
|
1-2-3-5 |
|
1-3-4-5 |
En kısa yolu veren rota 1-3-5 ile 8 birimdir. Doğru cevap C'dir.
6.Soru
Aşağıdakilerden hangisi karar verme probleminin ek bilgiden yararlanılarak çözülebilmesi için ödenebilecek miktarın üst sınırını gösterir?
|
Risk ortamında beklenen kâr oranı |
|
Eksik bilgi durumunda beklenen kar değeri |
|
Bilgi öncesi analizinde beklenen kar değeri |
|
Ek bilgiye ihtiyaç olup olmadığı |
|
Tam bilginin beklenen değeri |
Tam bilginin beklenen değeri, karar verme probleminin ek bilgiden yararlanılarak çözülebilmesi için ödenebilecek miktarın üst sınırını gösterir. Birçok gerçek olayda tam bilgiye ulaşmak mümkün değildir. Ancak karar probleminin doğasına uygun bir araştırma, test, gözlem vb. ile örneklem bilgisine ulaşılabilir.
7.Soru
1 – 2 – 3 nolu düğümlere bağlanmamış düğümler arasından bağlanabilecek düğümler aşağıdakilerden hangisidir?
|
2-3-4 |
|
2-4-5 |
|
4-5 |
|
4-5-6 |
|
5-6 |
1 – 2 – 3 nolu düğümlere bağlanmamış düğümler arasından bağlanabilecek düğümler 4 – 5 – 6 nolu düğümlerdir.
8.Soru
“…… analiz öncesi belirlenen ve analiz boyunca sabit kalan değerlerdir.” Noktalı yere hangi ifade uygundur?
|
Parametreler |
|
İlişkiler |
|
Varsayımlar |
|
Kısıtlar |
|
Ölçütler |
İlişkiler, sistem, sistemin alt sistemleri, sistemin bilesenleri, değişkenler ve parametreler arasındaki bağlantılardır. Varsayımlar, modelin çözümü için gerekli olan kabullerdir. Kısıtlar, değişkenlerin değerlerindeki sınırlandırmalardır. Ölçütler, sistemin hedef ve amaçlarının ve bunların ne şekilde değerlendirileceğinin bir durumudur. Parametreler ise analiz öncesi belirlenen ve analiz boyunca sabit kalan değerlerdir.
9.Soru
- O¨nsel olasılıklar
- Olabilirlikler
- Para piyasasına ilişkin olasılıklar
O¨rneklem bilgisi ile yapılan hesaplamalarda yukarıdakilerden hangisi kullanılır?
- O¨nsel olasılıklar
- Olabilirlikler
- Para piyasasına ilişkin olasılıklar
O¨rneklem bilgisi ile yapılan hesaplamalarda yukarıdakilerden hangisi kullanılır?
|
Yalnız I |
|
I ve II |
|
I ve III |
|
II ve III |
|
I, II ve III |
Problemde verilen bilgilerden hareketle; geçmiş veriler ışığında belirlenen olasılıkların önsel (başlangıç) olasılıklar, test cihazı sonuçlarını gösteren olasılıkların ise olabilirlikler olduğu anlaşılabilir.
10.Soru
Olası Durumlar
Karar (Satın Alma) Güçlü Ekonomik Koşullar Zayıf Ekonomik Koşullar Apartman inşası 50000 30000
Ofis inşası 100000 -40000
Depo inşası 30000 10000
Yukarıdaki tabloya göre iyimserlik ölçütünü kullanarak karar veren bir yöneticinin tercih edeceği alternatif aşağıdakilerden hangisidir?
|
Apartman inşası |
|
Ofis inşası |
|
Depo inşası |
|
Apartman ve ofis inşası |
|
Ofis ve depo inşası |
İyimserlik ölçütüne göre karar veren bir yönetici için en yüksek kazanç ve en düşük maliyet ön planda olduğu için en iyi alternatif en düşük maliyetli depo inşasıdır.
11.Soru
İki bağlı düğümden birinden diğerine tek yönlü akış olduğunu gösteren bağlantı biçimine ne ad verilir?
|
Doğrusal bağlantı |
|
Çizge bağlantı |
|
Yönlü olmayan bağlantı |
|
Yönlü bağlantı |
|
Akış bağlantısı |
İki bağlı düğümden birinden diğerine tek yönlü akış olduğunu gösteren bağlantı biçimine yönlü bağlantı denir.
12.Soru
- Belirsizlik ortamında karar
- Stratejik karar
- Risk ortamında karar
- Programlanmış kararlar
Yukarıdakilerden hangisi/hangileri verildiği duruma göre karar sınıflarındandır?
|
Yalnız I |
|
Yalnız IV |
|
I ve III |
|
II ve IV |
|
I, II ve III |
Verildiği ortama göre kararlar; • Belirlilik ortamında karar, • Belirsizlik ortamında karar, • Risk ortamında karar biçiminde sınıflandırılır.
13.Soru
Yukarıda yer alan şekilde bir işletmenin dört dağıtım merkezi ve bunların arasında gönderilebilecek malzeme miktarları ile kapasiteler verilmiştir. 1. dağıtım merkezinden 4. dağıtım merkezine, sadece 2. dağıtım merkezi üzerinden gönderilebilecek malzeme miktarı ne kadardır?
|
28 |
|
36 |
|
8 |
|
50 |
|
16 |
1. dağıtım merkezinden 4. dağıtım merkezine, sadece 2. dağıtım merkezi üzerinden gönderilebilecek malzeme miktarı, 2-4 yolunda 2. dağıtım merkezinin kapasitesi kadardır. Bu ise 8 adettir.
14.Soru
Aşağıdaki seçeneklerden hangisi çizgeyi doğru şekilde ifade etmektedir?
|
N={A,B,C,D,E} S={(1,2),(1,3),(3,4),(4,5)} |
|
N={A,B,C,D,E} S={(1,3),(3,4),(4,5)} |
|
N={1,2,3,4,5} S={(1,2),(1,3),(3,4),(4,5)} |
|
N={1,2,3,4,5} S={(1,2),(1,3),(4,5)} |
|
N={1,2,3,4,5} S={(1,2),(1,3),(2,5),(4,5)} |
Bir çizgede bağlantılar birleştirdikleri (her iki uçtaki) düğümler kullanılarak isimlendirilir.
15.Soru
"Durum değişkenlerinin değerlerinin sadece belirli zaman noktalarında bir anda değiştiği sistemler" aşağıdakilerden hangisinin açıklamasıdır?
|
Örtülü sistemler |
|
Hiyerarşik sistemler |
|
Dinamik sistemler |
|
Sürekli sistemler |
|
Kesikli sistemler |
Kesikli sistemler, durum değişkenlerinin değerlerinin sadece belirli zaman noktalarında bir anda değiştiği sistemlerdir.
16.Soru
I. Doğrusal olmayan programlama modellerinin kurulumu genellikle doğrusal programlama modellerinin kurulumuna göre daha zordur.
II. Analitik yöntemlerle çözülemeyen doğrusal olmayan modeller için yaklaşık çözüm teknikleri kullanılmaktadır.
III. Doğrusal olmayan programlama problemlerinin çözümünde genel bir yöntem bulunmamaktadır.
Doğrusal olmayan modeller hakkında yukarıda verilen bilgilerin hangisi ya da hangileri doğrudur?
|
I ve II |
|
I ve III |
|
Yalnız II |
|
I,II ve III |
|
Yalnız III |
Öncüllerin hepsi doğru bilgiler içermektedir.
17.Soru
Başlangıçta mevcut olan bilgilerin daha sağlıklı, daha gerçekçi bilgilere dönüşmesine katkı sağlayan EVSI ile ifade edilmek istenen aşağıdakilerden hangisidir?
|
Ek bilginin beklenen değeri |
|
Tam bilginin beklenen değeri |
|
Örneklem bilgisinin beklenen değeri |
|
Stratejik bilginin tam değeri |
|
Ek bilgi elde etmenin bedeli |
EVSI (Expected Value of Sample Information) ile gösterilen örneklem bilgisinin beklenen değeri, örneklem bilgisinden elde edilen kâr ile örneklem bilgisi olmadan elde edilen kâr arasındaki farka eşittir.
18.Soru
Üretim yapan bir firmada, belli bir bölümde çalışan bir usta başı günlük olarak eksilen malzemeleri belirleyip bir üst düzey yöneticisine ne kadar malzeme siparişi gerektiğini bildirmektedir. Yönetim kademesine göre bu hangi türden bir karardır?
|
Stratejik karar |
|
Taktik karar |
|
Operasyonel karar |
|
Anlık karar |
|
Programlanmamış karar |
Operasyonel kararlar günlük konuları içerir ve alt düzey yöneticilerin etki alanında yer alan kararlardır. Belirlilik ortamında verilen bu kararlara örnek olarak tedarikçilere verilecek günlük sipariş miktarı verilebilir.
19.Soru
I. Dışsal değişkenler
II. Politika değişkenleri
III. Rassal değişkenler
IV. Deterministik Değişkenler
Yukarıdakilerden hangileri benzetim modelindeki değişkenlerdendir?
|
Hepsi |
|
I,II,IV |
|
II,III |
|
I,IV |
|
Hiçbiri |
Öncüllerin hepsi benzetim modelinin değişkenlerini içerir.
20.Soru
"S ? IRn kümesindeki her x', x" ? S ve 0 ? ? ? 1 değeri için, ?x' + (1 – ?) x" ? S oluyor ise S kümesine ............ denir."
Aşağıdakilerden hangisi boş bırakılan yere gelmesi gereken uygun kavramdır?
"S ? IRn kümesindeki her x', x" ? S ve 0 ? ? ? 1 değeri için, ?x' + (1 – ?) x" ? S oluyor ise S kümesine ............ denir."
Aşağıdakilerden hangisi boş bırakılan yere gelmesi gereken uygun kavramdır?
|
Hessian matrisi |
|
Asal minör |
|
Matris belirliliği |
|
Konveks küme |
|
Konveks küme fonksiyon |
S ? IRn kümesindeki her x', x" ? S ve 0 ? ? ? 1 değeri için, ?x' + (1 – ?) x" ? S oluyor ise S kümesine konveks küme denir.
-
- 1.SORU ÇÖZÜLMEDİ
- 2.SORU ÇÖZÜLMEDİ
- 3.SORU ÇÖZÜLMEDİ
- 4.SORU ÇÖZÜLMEDİ
- 5.SORU ÇÖZÜLMEDİ
- 6.SORU ÇÖZÜLMEDİ
- 7.SORU ÇÖZÜLMEDİ
- 8.SORU ÇÖZÜLMEDİ
- 9.SORU ÇÖZÜLMEDİ
- 10.SORU ÇÖZÜLMEDİ
- 11.SORU ÇÖZÜLMEDİ
- 12.SORU ÇÖZÜLMEDİ
- 13.SORU ÇÖZÜLMEDİ
- 14.SORU ÇÖZÜLMEDİ
- 15.SORU ÇÖZÜLMEDİ
- 16.SORU ÇÖZÜLMEDİ
- 17.SORU ÇÖZÜLMEDİ
- 18.SORU ÇÖZÜLMEDİ
- 19.SORU ÇÖZÜLMEDİ
- 20.SORU ÇÖZÜLMEDİ