Lojistik Planlama Ve Modelleme Final 4. Deneme Sınavı
Toplam 20 Soru1.Soru
Tahmin edebilen talebin karşılanmasında; toplam maliyetin minimize ve ürün karışımlarından elde edilen geliri ise maksimize etmekte kullanılan, 12 ay hazırlık ve 3 ay tekrar periyodu içeren sistem aşağıdakilerden hangisidir?
|
Taktik Optimizasyon Modelleme Sistemi |
|
Lojistik Optimizasyon Modelleme Sistemi |
|
Stratejik Optimizasyon Modelleme Sistemi |
|
Dağıtım Tahminleme Optimizasyon Modelleme Sistemi |
|
Üretim Planlama Optimizasyon Modelleme Sistemi |
Tahmin edebilen talebin karşılanmasında; toplam maliyetin minimize ve ürün karışımlarından elde edilen geliri ise maksimize etmekte kullanılan, 12 ay hazırlık ve 3 ay tekrar periyodu içeren sistem, taktik optimizasyon modelleme sistemidir.
2.Soru
Aşağıdakilerden hangisi veya hangileri iki boyutlu araç yükleme probleminin matematiksel modelindeki parametrelerdendir?
I.paketin boyu
II.paletin eni
III.yüklenecek paket sayısı
|
I,III |
|
Yalnız III |
|
I,II |
|
II,III |
|
I,II,III |
Parametreler:
i ? I = {1,..., m} yüklenecek paket sayısı
l
i : j. paketin boyu
wi : j. paketin eni
L : paletin boyu
W: paletin eni
3.Soru
Belli bir merkezden çıkıp geri dönülmesi ve planlanan bütün noktalara uğrama zorunluluğu olan durumlarda toplamda en kısa yolu veya en az maliyetli yolu verecek turun bulunması aşağıdaki problemlerden hangisidir?
|
Kapasiteli Araç Rotalama Problemi |
|
Çoklu Gezgin Satıcı Problemi |
|
Gezgin Satıcı Problemi |
|
Topla-Dağıt Problemi |
|
Zaman Pencereli Araç Rotalama Problemi |
Bu problemlerin ortak noktası gezginlerin belli bir merkezden çıkıp geri dönmeleri ve planlanan bütün noktalara uğrama zorunluluğudur. Toplamda en kısa yolu veya en
az maliyetli yolu verecek turun bulunması istendiğinde bir gezgin satıcı problemi oluşur.
Bu problemde genellikle tek çıkış noktası vardır ve kapalı bir tur elde edilir
4.Soru
Gezgin satıcı problemlerinin matematiksel modelleri ile ilgili olarak verilen ifadelerden hangisi yanlıştır?
|
cij: i'den j'ye geçiş maliyetini gösterir. |
|
Her bir düğümden sadece bir tane çıkış olabileceğini ifade etmektedir. |
|
Her düğüme birden fazla giriş olabilir. |
|
Gezgin satıcı ve diğer düğüm tabanlı rotalama problemlerinin en önemli kısıtı, alt tur engelleme kısıtıdır. |
|
Modelin amaç fonksiyonunu ifade etmektedir. |
Her düğüme sadece bir giriş olabilir doğru cevap C'dir.
5.Soru
Problemlere ait matematiksel modeller ve çözüm algoritmaları çeşitli varsayımlar altında ele alınmıştır, aşağıdakilerden hangisi yanlıştır?
|
Yerleştirilecek ürünlerin tüm kenarları, yerleştirilecekleri kutu, palet veya konteynırın kenarlarına paralel olacaktır. |
|
Ürünlerin yerleştirileceği birden fazla tür kutu/palet/konteynır türü vardır. |
|
Yerleştirilecek bir ürünün bir kısmı başka bir ürünün bir kısmı ile kesinlikle çakışmayacaktır. |
|
Yerleştirilecek ürünler, yerleştirilecekleri kutu, palet veya konteynırın boyutlarını aşmayacaktır. |
|
Yerleştirilecek ürünler düzgündür (girintili olmayan). |
Her bir yükleme probleminin incelendiği bu ünitede, problemlere ait matematiksel modeller ve çözüm algoritmaları çeşitli varsayımlar altında ele alınmıştır:
• Yerleştirilecek ürünlerin tüm kenarları, yerleştirilecekleri kutu, palet veya konteynırın kenarlarına paralel olacaktır.
• Ürünlerin yerleştirileceği tek bir tür kutu/palet/konteynır türü vardır.
• Yerleştirilecek bir ürünün bir kısmı başka bir ürünün bir kısmı ile kesinlikle çakışmayacaktır.
• Yerleştirilecek ürünler, yerleştirilecekleri kutu, palet veya konteynırın boyutlarını aşmayacaktır. • Yerleştirilecek ürünler düzgündür (girintili olmayan).
• Ürünlerin rotasyonuna izin verilmez.
6.Soru
Bir kutunun diğerinin üzerine nasıl koyulacağıyla ilgili kısıttır. Bir kutunun üzerine kaç adet kutu koyulabileceği, kutunun ne kadarlık bir basınca veya ağırlığa dayanabileceği gibi faktörler göz önünde bulundurulur. Kutu temelinde düşünülecek olursa da, her bir kutunun yüzeyleri farklı olabileceği için bu kısıtı her boyutta farklı ele almak gerekebilir.Aşağıdakilerden hangisi bu kısıtlama türüdür?
|
Konumlandırma-rotasyon kısıtları: |
|
Ağırlık dağılımı, yük dengesi |
|
İstif kısıtları |
|
Yükleme öncelikleri |
|
Tam sevkiyat kısıtları |
İstif kısıtları: Bir kutunun diğerinin üzerine nasıl koyulacağıyla ilgili kısıttır. Bir
kutunun üzerine kaç adet kutu koyulabileceği, kutunun ne kadarlık bir basınca
veya ağırlığa dayanabileceği gibi faktörler göz önünde bulundurulur. Kutu temelinde düşünülecek olursa da, her bir kutunun yüzeyleri farklı olabileceği için bu kısıtı
her boyutta farklı ele almak gerekebilir
7.Soru
Serimdeki bütün düğümler arasında doğrudan geçiş varsa bu durum aşağıdakilerden hangisiyle ifade edilir?
|
Tam bağlı serim |
|
Seyrek serim |
|
Düğüm |
|
Ayrıt |
|
Kavşak |
Serimdeki bütün düğümler arasında doğrudan geçiş varsa buna tam bağlı (complete) serim denir. Doğru cevap A dır.
8.Soru
Mobilya, mutfak gibi montaj gerektiren kargolarda genelde tek seferde teslimat istenir. O nedenle ya tamamı yüklenir ya da hiçbiri yüklenmez. bu durum aşağıdaki kısıtlılardan hangisi için örnek olabilir?
|
Konumlandırma-rotasyon kısıtları |
|
İstif kısıtları |
|
Tam sevkiyat kısıtları |
|
Denge kısıtları |
|
Tahsis kısıtları |
Tam sevkiyat kısıtları: Bir kutu türünün yüklenmiş olmasına bağlı olarak belli kutuların da yüklenmesi gerekebilir. Aynı zamanda yüklenmemiş ise ait olduğu kümeden hiç bir kutunun yüklenmemesi de istenebilir. Mobilya, mutfak gibi montaj gerektiren kargolarda genelde tek seferde teslimat istenir. O nedenle ya tamamı yüklenir ya da hiçbiri yüklenmez.
9.Soru
Aşağıdaki algoritmların hangisinde eğer yeni ürünün boyu, palet boyu eksi birinci katman boyundan fazla
ise ikinci paletin tabanının en soluna yerleştirilir?
|
BFD Sezgiseli |
|
FF Sezgiseli |
|
FNF sezgiseli |
|
FFF sezgiseli |
|
BF Sezgiseli |
FFF sezgiselinde yüklenecek ürünler boylarına göre yeniden sıralanır ve sırasıyla paletlere yerleştirilir. İlk ürün birinci paletin tabanının en soluna yerleştirilir. İkinci sıradaki ürün birinci paletin birinci katmanına boyutları nedeniyle sığmıyorsa ikinci katmana yerleştirilmeye çalışılır. Eğer yeni ürünün boyu, palet boyu eksi birinci katman boyundan fazla ise ikinci paletin tabanının en soluna yerleştirilir.
10.Soru
Çoklu Çinli Postacı Probleminde amaç aşağıdakilerden hangisidir?
|
Boş geçiş veye boş geçmeyi ortadan kaldırma |
|
En az mesafenin kat edilmesini sağlamak |
|
En düşük maliyeti belirlemek |
|
Zaman aralıklarını belirlemek |
|
Tur devamlılığını sağlamak |
Çoklu Çinli Postacı Problemi (k-Chinese Postman Problem-kCPP): k tane gezginin olduğu ve gezginler için kapasite sınırının olmadığı durumdur. Bu problem tıpkı çoklu gezgin satıcı problemi gibidir. Serimde k tane gezgin vardı ve her ayrıtın mutlaka bir gezgin tarafından ziyaret edilmesi gerekir. Amaç, toplamda en az mesafenin kat edilmesini sağlayacak şekilde gezginlerin rotalarını belirlemektir. Gezginlerin turları birbirleriyle kesişebilir. Aslında bu problem için Çinli postacı probleminin genel hâli de denebilir. Bir mahalledeki postaların çok sayıda postacı tarafından dağıtılması buna iyi bir örnek olur.
11.Soru
Bir boyutlu araç yükleme problemi literatürde hangi adla anılmaktadır?
|
Kutu yükleme |
|
Kargo yükleme |
|
Konteynır yükleme |
|
Araç yükleme |
|
Evrak yükleme |
Bir boyutlu araç yükleme problemi literatürde kutu yükleme (bin backing) olarak da adlandırılmaktadır.
12.Soru
Clarke ve Wright tarafından geliştirilmiş, kullanışlı ve etkin bir tur iyileştirme algoritmasıdır. Türkçede tasarruf algoritması adıyla da bilinmektedir. Tur iyileştirmeden kastedilen, algoritmanın her adımda eldeki turu iyileştirmesidir. Bu algoritma yönlü, yönsüz ve karma serimler üzerinde çalışabilir. Seyrek matrisin tam bağlı biçime çevrilmesine gerek yoktur. Verilen bilgiler aşağıdakilerden hangisine aittir?
|
Komşuluk Algoritması |
|
Kazanım Algoritması |
|
Gezgin Satıcı Problemi İçin En Yakın Komşuluk Algoritması |
|
En Yakın Komşu Sezgiseli |
|
Araç Rotalama Problemi İçin En Yakın Komşuluk Algoritması |
Kazanım Algoritması: Clarke ve Wright tarafından geliştirilmiş, kullanışlı ve etkin bir tur iyileştirme algoritmasıdır. Türkçede tasarruf algoritması adıyla da bilinmektedir. Tur iyileştirmeden kastedilen, algoritmanın her adımda eldeki turu iyileştirmesidir. Bu algoritma yönlü, yönsüz ve karma serimler üzerinde çalışabilir. Seyrek matrisin tam bağlı biçime çevrilmesine gerek yoktur. Doğru cevap B dir
13.Soru
Üretim Tahminleme Optimizasyon Modelleme Sistemi nin hedef fonksiyonu aşağıdakilerden hangisinde doğru olarak verilmiştir?
|
Bir işletmenin fiziksel dağıtım faaliyetlerinin düzenlenmesinde kullanılır. |
|
Bir işletmenin tüm üretim sistemini kapsayan bir destek sistemidir. |
|
Dağıtım maliyetlerini minimize etmekte kullanılır. |
|
Üretim maliyetlerini minimize etmekte kullanılır. |
|
Gereksiz lojistik maliyetleri elimine etmek için kullanılır |
A,B,D,E seçeneklerinde verilenler diğer fonksiyonların hedef fonksiyonudur C seçeneğinde Üretim Tahminleme Optimizasyon Modelleme Sisteminin hedef fonksiyonu verilmiştir. Buna göre doğru cevap C dir.
14.Soru
Aşağıdakilerden hangisi ulaştırma yönetiminin başarılı olması için sorulabilecek sorulardan biri değildir?
|
Ne taşınacak? |
|
Ne zaman taşınacak? |
|
Nerede taşınacak? |
|
Nasıl taşınacak? |
|
Kim için taşınacak? |
Ulaştırma yönetimi mevcut imkânlarla taşıma ihtiyaçlarının karşılanmasıdır. Başarısı, ne taşınacak, hangi yoldan taşınacak, nasıl taşınacak, nereden taşınacak, nereye taşınacak, ne zaman taşınacak, neyle taşınacak, ne kadar taşınacak, nerede taşınacak, hangi kısıtlamalara tabi olacak, taşımanın maliyeti ne olacak, birden çok araçla taşınacaksa ne olacak, hangi taşıma yöntemleri ile taşınacak, araçlar nasıl yüklenecek gibi soruların yanıtlarının doğru verilebilmesine bağlıdır.
15.Soru
Yönsüz Çinli Postacı Problem İçin Enküçük Kusursuz Eşleşme Algoritmasının ilk adımı aşığıdakilerden hangisidir?
|
Serimin genişletilmiş hali için Euler turunu belirlemek |
|
Toplamda en az maliyet artışını verecek ayrıtları serime eklemek |
|
Serimdeki tek ve çift dereceli düğümleri belirlemek |
|
Tek dereceli düğümleri listeleyerek bunların arasından hangilerinde git gel yapılabileceğini incelemek. |
|
Fonksiyonu değerini belirlemek |
Bu algoritma temel olarak serimde bir Euler turu oluşturmak için hangi düğümler arasında git-gel yapılması gerektiğini belirlemeye çalışır. Bunu için de tek dereceli düğümler arasındaki olası geçişleri inceler ve toplamda en az mesafe artırımına neden olacak seçeneği benimser. Algoritmanın adımları şöyle verilmektedir:
1. Adım: Serimdeki tek ve çift dereceli düğümleri belirle. Bütün düğüm dereceleri çift ise Euler turu vardır, devam etmeye gerek olmaz, dur. Tek dereceli düğümler varsa 2. adıma geç.
2. Adım: Tek dereceli düğümleri listeleyerek bunların arasından hangilerinde git gel yapılabileceğini incele. Toplamda en az maliyet artışını verecek ayrıtları serime ekle.
3. Adım: Serimin genişletilmiş hâli için Euler turunu belirle. Toplam maliyet, bütün ayrıtların maliyetleri ve 2. adımda serime yeni eklenen ayrıtların maliyetleri toplamıdır.
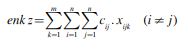
16.Soru
Yukarıda verilen model seçeneklerden hangisini ifade etmektedir?
|
Her bir araç için araç kapasitesinin aşılmamasını |
|
Toplamdaki maliyetin veya kat edilecek yolun en küçükleneceğini |
|
x ve y değişkenleri arasındaki ilişkiyi |
|
Eğer hizmet verilmesi gerekli bir ayrıt varsa oradan en az 1 kere geçilmesini garanti eder ama tur devamlılığını sağlamak için boş geçiş yapılması gereken bir |
|
Her bir araç için her bir düğüme giriş ve çıkış sayısının eşit olması gerektiğini |
Resimde verilen model toplamdaki maliyetin veya kat edilecek yolun en küçükleneceğini ifade eder. Doğru cevap B seçeneğidir.
17.Soru
Aşağıdakilerden hangisi üretim süreçlerine göre stok sınıflarından biridir ?
|
Pazar |
|
Ürün |
|
Üretim |
|
Hammadde ve yarı mamuller |
|
Bilgi teknolojisi |
Üretim süreçlerine göre beş farklı stok sınıfı bulunur. Stok çeşitleri hammadde ve yarı mamuller, üretim sürecinde olan malzemeler, nihai ürünler, dağıtım stoku, bakım onarım ve işletme parçaları malzemelerdir. Buna göre doğru cevap D dir
18.Soru
I. Bir postacının karşılaştığı posta dağıtma problemi II. Kentlerde sabah vakti bakkallara gazete, süt, su vb. gibi günlük kullanımı olan malzemeleri dağıtan araçların karşılaştığı problem III.Belediyelerin karşılaştığı çöp toplama problemi Verilen problemlerden hangisi yada hangileri ayrıt tabanlı rotalama problemine örnek gösterilebilir?
|
I |
|
II |
|
I-II |
|
I-III |
|
I-II-III |
Verilen problemlerin hepsi ayrıt tabanlı rotalama problemidir bu nedenle doğru cevap E dir.
19.Soru
BF Sezgiseli adım eşleşmelerinden hangisi veya hangileri doğrudur?
I. Adım 0. S paketler listesi, V uygun kutular listesi ve T kullanılmış kutular listesi olsun. Başlangıçta T listesi boştur.
II. Adım 1. S listesinin başından bir i paketini seç ve kalan kapasitesi pi
’ye (i. paket ağırlığına) eşit olan ya da pi ’den büyük olan ve pi ’ye yakın olankutusuna ata. Eğer bu koşula uygun bin yoksa V listesinin başından yeni bir k kutusu seç ve T listesinin sonuna ekle. i paketini k kutusuna ekle
III.Adım 2. S= Ø ise DUR, tüm paketler yüklenmiştir. T, kullanılan kutular listesi iken V
de kullanılmamış kutular listesidir.ise Adım 1’e git.
|
Yalnız III |
|
I,II |
|
II,III |
|
I,III |
|
I,II,III |
BF Sezgiseli (Best Fitting), eniyi yerleştirme sezgiseli olarak da adlandırılabilir. En az boş yer kalacak şekilde bir kutu arayıp yerleştirme prensibine dayanan algoritmanın adımları izleyen şekildedir.
Adım 0. S paketler listesi, V uygun kutular listesi ve T kullanılmış kutular listesi olsun.
Başlangıçta T listesi boştur.
Adım 1. S listesinin başından bir i paketini seç ve kalan kapasitesi pi
’ye (i. paket ağırlığına) eşit olan ya da pi ’den büyük olan ve pi
’ye yakın olankutusuna ata. Eğer bu koşula uygun bin yoksa V listesinin başından yeni bir k kutusu seç ve T listesinin sonuna ekle. i paketini k kutusuna ekle.
Adım 2. S= Ø ise DUR, tüm paketler yüklenmiştir. T, kullanılan kutular listesi iken V
de kullanılmamış kutular listesidir.ise Adım 1’e git.
20.Soru
Herhangi bir ürün veya malzemenin çıkış noktasından varış noktasına kadarki güzergâhta bulunan en az bir noktada en az bir kez taşıma biçimi değiştirerek taşınmasına ne ad verilir?
|
Tek modlu ulaştırma |
|
Kombine ulaştırma |
|
Çok modlu ulaştırma |
|
Birleşik modlu ulaştırma |
|
Esnek modlu ulaştırma |
Çok modlu ulaştırma herhangi bir ürün veya malzemenin çıkış noktasından varış noktasına kadarki güzergâhta bulunan en az bir noktada en az bir kez taşıma biçimi değiştirerek taşınmasıdır.
-
- 1.SORU ÇÖZÜLMEDİ
- 2.SORU ÇÖZÜLMEDİ
- 3.SORU ÇÖZÜLMEDİ
- 4.SORU ÇÖZÜLMEDİ
- 5.SORU ÇÖZÜLMEDİ
- 6.SORU ÇÖZÜLMEDİ
- 7.SORU ÇÖZÜLMEDİ
- 8.SORU ÇÖZÜLMEDİ
- 9.SORU ÇÖZÜLMEDİ
- 10.SORU ÇÖZÜLMEDİ
- 11.SORU ÇÖZÜLMEDİ
- 12.SORU ÇÖZÜLMEDİ
- 13.SORU ÇÖZÜLMEDİ
- 14.SORU ÇÖZÜLMEDİ
- 15.SORU ÇÖZÜLMEDİ
- 16.SORU ÇÖZÜLMEDİ
- 17.SORU ÇÖZÜLMEDİ
- 18.SORU ÇÖZÜLMEDİ
- 19.SORU ÇÖZÜLMEDİ
- 20.SORU ÇÖZÜLMEDİ