Matematik 1 Ara 13. Deneme Sınavı
Toplam 20 Soru1.Soru
fonksiyonları veriliyor. Buna göre,
değeri aşağıdakilerden hangisidir?
|
16 |
|
-8 |
|
-1 |
|
1 |
|
0 |
olduğundan, doğru cevap E’dir.
3.Soru
denklemini (x+h)2+ k şeklinde ifade edilirse k sayısı aşağıdakilerden hangisidir?
|
4 |
|
-3 |
|
-2 |
|
-1 |
|
+2 |
k=-1
4.Soru
Aşağıdaki sayılarda hangisi irrasyonel sayıdır?
|
0 |
|
0,021 |
|
|
|
|
|
8 |
sayısı rasyonel olarak (a/b şeklinde ) ifade edilemediğinden irrasyonel sayıdır.
5.Soru
İki arkadaş oyun konsolu için 20 TL kiralama ücreti ve oyun başına 3 TL ücret ödeyecektir. Bu iki arkadaş kosolu 6 oyun ile birlikte kiralar ise kişi başı ödenmesi gereken ücret ne olur?
|
21
|
|
38
|
|
19
|
|
26
|
|
29
|
6.Soru
Aşağıdakilerden hangisi y = 2x + 1 doğrusuna paraleldir?
|
y = -2x - 1
|
|
y = 2x + 3
|
|
y= 3x + 1
|
|
y = x + 1
|
|
y = 2
|
7.Soru
Verilen ifadede x in değerini aşağıdakilerden hangisidir?
|
2 |
|
3 |
|
4 |
|
5 |
|
1 |
8.Soru
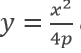
Odak noktası
ve doğrultmanı
doğrusu olan parabolün denklemi aşağıdakilerden hangisidir?
|
|
|
|
|
|
|
|
|
|
Odak noktası
ve doğrultmanı
doğrusu olan parabolün denklemi
olduğuna göre, odak noktası
ve doğrultmanı
doğrusu olan parabolün denklemi
olur. Doğru cevap E’dir.
9.Soru
{4, 5, 6} kümesinin kaç tane alt kümesi vardır?
|
12 |
|
11 |
|
10 |
|
9 |
|
8 |
Verilen kümenin alt kümeleri ,
{}, {1}, {2}, {3}, {1, 2}, {1, 3}, {2, 3}, {1, 2, 3}
kümeleridir. O halde bu kümenin 8 tane alt kümesi vardır.
10.Soru
İki bardak suyun sertlik dereceleri alet ile ölçüldüğünde birinci bardaktaki suyun sertlik derecesi 3 pH, ikinci bardaktaki suyun ise 6 pH olarak bulunmuştur. 6 sertlik derecesine sahip bardağın sertliği, sertlik derecesi 3 olan bardağınkininin kaç katıdır?
|
10 |
|
1000 |
|
10000 |
|
100000 |
|
1000000 |
: Sertlik derecesinin 1 birim artması 10 kat olarak yansır. Büyüklükler arasında 3 birim olduğundan 10x10x10=103=1000 katıdır.
11.Soru
" KELEBEK " kelimesindeki harflerin kümesiyle, " ZEKİ " kelimesindeki harflerin kümesinin birleşimi aşağıdakilerden hangisidir?
|
{K,E}
|
|
{K,E,L,B}
|
|
{Z,E,K,İ}
|
|
{K,E,B,Z,İ}
|
|
{K,E,L,B,Z,İ}
|
12.Soru
Aşağıdakilerden hangisi bir küme oluşturur?
|
Bir sınıftaki uzun boylu öğrenciler |
|
Bir sınıftaki kısa boylu öğrenciler
|
|
Bir sınıftaki çalışkan öğrenciler
|
|
Bir sınıftaki tembel öğrenciler |
|
Bir sınıftaki mavi gözlü öğrenciler |
Küme, iyi tanımlanmış nesneler topluluğudur. Yani hangi nesnelerin kümeye ait olup olmadığı konusunda herkesin aynı fikirde olması gerekir. Ancak uzunluk, kısalık, çalışkanlık, tembellik gibi kavramlar kişiden kişiye değişir. Ancak bir öğrencinin mavi gözlü olup olmadığı konusunda herkes aynı fikirde olur.
13.Soru
doğrusunun eğimi aşağıdakilerden hangisidir?
|
-2 |
|
2 |
|
1 |
|
-1 |
|
3 |
y=ax+b denkleminde eğim a sayısıdır.
eğim=1 dir.
14.Soru
Aşağıdaki Kümelerden hangisi {0,1 } kümesinin alt kümesi değildir?
|
Ø
|
|
{0}
|
|
{1}
|
|
1/2
|
|
{1,0}
|
15.Soru
(0,16)8x(40)5=?
|
242x10-11 |
|
222x10-3 |
|
242x10-21 |
|
242x10-8 |
|
24x10-11 |
(0,16)8x(40)5=(16x10-2)8x(4x10)5
= (16)8x(10-2)8x(4)5x(10)5
=(24)8x(10-2)8x(22)5x(10)5
=232x10-16x210x105
=232+10x10-16+5
=242x10-11
17.Soru
denkleminin çözüm kümesi aşağıdakilerden hangisidir?
|
{-1} |
|
{-3} |
|
{1, 3} |
|
{3} |
|
{1} |
2x+2=-4
2x=-4-2
2x=-6
x=-3
19.Soru
y=x2 - 2x-2 parabolünün tepe noktası aşağıdakilerden hangisidir?
|
(1,-3) |
|
(-1,-3) |
|
(-1,3) |
|
(1,1) |
|
(1,-1) |
x=-b/2a ifadesinden x=1 ve y = -(b2-4ac)/4a ifadesinden y=-3 bulunur.
20.Soru
işleminin sonucu nedir?
|
2/3 |
|
4/5 |
|
1/2 |
|
1 |
|
2 |
-
- 1.SORU ÇÖZÜLMEDİ
- 2.SORU ÇÖZÜLMEDİ
- 3.SORU ÇÖZÜLMEDİ
- 4.SORU ÇÖZÜLMEDİ
- 5.SORU ÇÖZÜLMEDİ
- 6.SORU ÇÖZÜLMEDİ
- 7.SORU ÇÖZÜLMEDİ
- 8.SORU ÇÖZÜLMEDİ
- 9.SORU ÇÖZÜLMEDİ
- 10.SORU ÇÖZÜLMEDİ
- 11.SORU ÇÖZÜLMEDİ
- 12.SORU ÇÖZÜLMEDİ
- 13.SORU ÇÖZÜLMEDİ
- 14.SORU ÇÖZÜLMEDİ
- 15.SORU ÇÖZÜLMEDİ
- 16.SORU ÇÖZÜLMEDİ
- 17.SORU ÇÖZÜLMEDİ
- 18.SORU ÇÖZÜLMEDİ
- 19.SORU ÇÖZÜLMEDİ
- 20.SORU ÇÖZÜLMEDİ