Matematik 1 Ara 14. Deneme Sınavı
Toplam 19 Soru2.Soru
30 kişilik bir sınıfta her bir öğrenci İngilizce ya da Almanca olmak üzere en az bir yabancı dil bilmektedir. İngilizce bilen öğrenci sayısı 20 ve Almanca bilen öğrenci sayısı 15 olduğuna göre bu sınıfta yalnızca Almanca bilen kaç öğrenci vardır?
|
5 |
|
10 |
|
15 |
|
20 |
|
25 |
3.Soru
kuralı ile verilen fonksiyonun en geniş tanım kümesi aşağıdakilerden hangisidir?
|
|
|
|
|
|
|
|
|
|
fonksiyonu doğrusal fonksiyon ile mutlak değer fonksiyonun bileşkesi olup bu iki fonksiyon da tüm gerçel sayılarda tanımlı olduğu için verilen fonksiyonun en geniş tanım kümesi tüm gerçel sayılardır. Doğru cevap A’dır.
4.Soru
A = {1, 3, 5, 6} ve B = {3, 4, 6, 8} olmak üzere, A\ B kümesinin eleman sayısı kaçtır?
|
0
|
|
1
|
|
2
|
|
3
|
|
4
|
5.Soru
A={x∣x∊ℕ, bir doğal sayı ve 10' dan daha küçük},
B={y∣y∊ℕ, y bir tek sayı ve 10' dan daha küçük } kümeleri veriliyor.
A ve B kümelerinin kesişimi aşağıdakilerden hangisidir?
|
{1, 3, 5, 7, 9} |
|
{2, 4, 6, 8} |
|
{2, 4, 6, 8, 10} |
|
{ 2, 3, 5, 7 } |
|
∅ |
A={1, 2, 3, 4, 5, 6, 7, 8, 9, 10}
B={1, 3, 5, 7, 9}
A∩B={1, 3, 5, 7, 9}
6.Soru
5x-125 = 625 eşitliğini sağlayan x değeri aşağıdakilerden hangisidir?
|
3
|
|
4
|
|
2
|
|
5
|
|
6
|
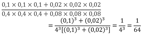
7.Soru
|
|
|
|
|
|
|
|
|
1 |
olur. Buradan doğru cevap B’dir.
8.Soru
x in değeri aşağıdakilerden hangisidir?
|
8 |
|
4 |
|
0.5 |
|
2 |
|
1 |
9.Soru
(2^3)^2 aşağıdakilerden hangisine eşittir?
|
128
|
|
64
|
|
32
|
|
18
|
|
81
|
11.Soru
f birim fonksiyon olmak üzere f ( f ( f ( x ) ) ) fonksiyonu nedir ?
|
0
|
|
1
|
|
x
|
|
x^2
|
|
x^3
|
12.Soru
olduğuna göre
fonksiyonunun en geniş tanım kümesi aşağıdakilerden hangisidir?
|
|
|
|
|
|
|
|
|
|
fonksiyonu tüm gerçel sayılar kümesinde tanımlıdır.
fonksiyonu verilen rasyonel fonksiyonun paydasında yer aldığı için
de bu fonksiyon sıfır değerini alacağından payda tanımsız olur. Buradan
fonksiyonunun en geniş tanım kümesi
olur. Doğru cevap C’dir.
13.Soru
Aşağıdakilerden hangisi bir üstel fonksiyondur?
|
|
|
|
|
|
|
0
|
|
x
|
14.Soru
Sayı kümeleri arasındaki ilişki aşağıdakilerden hangisinde doğru verilmiştir?
|
|
|
|
|
|
|
|
|
|
15.Soru
60 kişilik bir sınıfta matematik dersinden başarılı olanlar 22, İktisat dersinden başarılı olan 35, her iki dersten başarılı olan 8 kişi ise her iki dersten başarısız olan öğrenci sayısı kaçtır?
|
8 |
|
9 |
|
10 |
|
11 |
|
12 |
16.Soru
log(x)=2 ise x=?
|
2
|
|
50
|
|
100
|
|
200
|
|
250
|
17.Soru
log2 x = 8 ise x’in değeri kaçtır?
|
256
|
|
128
|
|
132
|
|
156
|
|
166
|
18.Soru
f(x)=2x ve g(x)=3x ise (f o g)(1)=?
|
3
|
|
4
|
|
5
|
|
6
|
|
7
|
-
- 1.SORU ÇÖZÜLMEDİ
- 2.SORU ÇÖZÜLMEDİ
- 3.SORU ÇÖZÜLMEDİ
- 4.SORU ÇÖZÜLMEDİ
- 5.SORU ÇÖZÜLMEDİ
- 6.SORU ÇÖZÜLMEDİ
- 7.SORU ÇÖZÜLMEDİ
- 8.SORU ÇÖZÜLMEDİ
- 9.SORU ÇÖZÜLMEDİ
- 10.SORU ÇÖZÜLMEDİ
- 11.SORU ÇÖZÜLMEDİ
- 12.SORU ÇÖZÜLMEDİ
- 13.SORU ÇÖZÜLMEDİ
- 14.SORU ÇÖZÜLMEDİ
- 15.SORU ÇÖZÜLMEDİ
- 16.SORU ÇÖZÜLMEDİ
- 17.SORU ÇÖZÜLMEDİ
- 18.SORU ÇÖZÜLMEDİ
- 19.SORU ÇÖZÜLMEDİ