Matematik 1 Ara 23. Deneme Sınavı
Toplam 18 Soru1.Soru
Tüm bireylerin en az bir dil bildiği bir grupta 28 kişi İngilizce, 20 kişi Fransızca bilmektedir. Bu grupta her iki dili de bilen 13 kişi olduğuna göre bu grupta toplam kaç kişi vardır?
|
32
|
|
35
|
|
49
|
|
55
|
|
61
|
2.Soru
2(X-1)+3=X-8 birinci dereceden bir bilinmeyenli denklemin çözümü nedir?
|
x=-9 |
|
x=-7 |
|
x=7 |
|
x=9 |
|
x=13 |
2(X-1)+3=X-8
2x-2+3=x-8
2x-x=2-3-8
x=-9
3.Soru
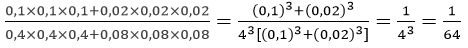
Eğer
ise aşağıdakilerden hangisi doğrudur?
|
|
|
|
|
|
|
|
|
|
Verilen eşitliğin her iki tarafının logaritması alınacak olursa,
olur. Buradan
elde edilir. Doğru cevap D’dir.
4.Soru
fonksiyonunun ters fonksiyonu aşağıdakilerden hangisidir?
|
|
|
|
|
|
|
|
|
|
fonksiyonunun ters fonksiyonunu bulmak için x yerine y, y yerine x yazarsak
bulunur. Doğru cevap C’dir.
6.Soru
f(x) = 4x + 1 ve g(x) = 3x + 8 olarak verilmiştir. gof(2) kaçtır?
|
24
|
|
11
|
|
36
|
|
35
|
|
13
|
7.Soru
Aşağıdaki sayılardan hangisi en küçüktür?
|
2-5
|
|
2-4
|
|
2-1
|
|
3-1
|
|
3-2
|
8.Soru
f(x)=x-2 olduğuna göre f fonksiyonunun ters fonksiyonu aşağıdakilerden hangisidir?
|
f^-1(x)=x+2
|
|
f^-1(x)=2x
|
|
f^-1(x)=x-2
|
|
f^-1(x)=x/2
|
|
f^-1(x)=x+2
|
9.Soru
Aşağıdakilerden hangisi y=3x+4 doğrusunun üzerindedir?
|
(0,4) |
|
(1,1) |
|
(1,0) |
|
(4,0) |
|
(-1,4) |
Denklemde x=0 değeri y=4 değerini sağladığından doğru üzerindedir.
10.Soru
parabolünün y-eksenini kestiği nokta aşağıdakilerden hangisidir?
|
|
|
|
|
|
|
|
|
|
parabolünün y eksenini kestiği noktayı bulmak için denklemde x yerine sıfır yazmalıyız. Buradan
noktası parabolün y eksenini kestiği noktadır. Doğru cevap D’dir.
11.Soru
Aşağıdaki doğrulardan hangisi y= -4x+3 doğrusuna paraleldir?
|
y =-4x
|
|
y = 2
|
|
y = 3x+1
|
|
y = -3x-1
|
|
y = 4x
|
12.Soru
Aşağıdakilerden hangisi rasyonel sayı değildir?
|
4
|
|
12/16
|
|
-3/2
|
|
|
|
1,254765
|
13.Soru
200 kişilik bir grupta İngilizce sınavından geçenlerin sayısı 110, Fransızca sınavından geçenlerin sayısı 60 kişidir. Her iki dersten başarılı olanlar 50 kişi olduğuna göre, her iki dersten başarısız olanlar kaç kişidir?
|
70 |
|
80 |
|
90 |
|
100 |
|
110 |
İngilizce sınavından geçen öğrencilerin kümesini İ, Fransızca sınavından geçen öğrencilerin kümesini F ile gösterelim. Bu durumda her iki dersten geçen öğrenciler kümesi 50 kişidir. İngilizceden geçen, fakat Fransızcadan kalan öğrenciler İ\F kümesidir. Bu kümede 60 kişi vardır. F\İ kümesi de 60-50=10 kişidir. İngilizce ve Fransızca derslerinin en az birinden geçen öğrencilerin kümesi İUF dir. 60+50+10=120 elemanı vardır. Her iki dersten başarısız olan öğrenciler 200-120=80 kişidir.
14.Soru
A ? R olmak üzere f: A› R ve g: A›R fonksiyonları varsa, f + g fonksiyonunun tanım ve görüntü kümeleriyle ilgili olarak aşağıdakilerden hangisi söylenebilir?
|
Tanım kümesi A görüntü kümesi R olmalıdır.
|
|
Değer kümesi boş kümedir.
|
|
Tanım kümesi doğal sayılar görüntü kümesi R dir.
|
|
Tanım ve Değer kümesi doğal sayılar kümesidir.
|
|
Her ikisi de rasyonel sayılar kümesi olmalıdır.
|
15.Soru
kümesi yirmi elemanlı,
kümesi de otuz elemanlı ise tanım kümesi
,
değer kümesi
olan kaç tane sabit fonksiyon yazılabilir?
|
50 |
|
40 |
|
10 |
|
20 |
|
30 |
Değer kümesinin otuz elemanı olduğu için
olmak üzere otuz tane sabit fonksiyon yazılabilir. Doğru cevap E’dir.
16.Soru
Aşağıdakilerden hangisi {0, 1} kümesinin bir alt kümesi degildir?
|
0
|
|
{0}
|
|
{1}
|
|
1/2
|
|
{1,0}
|
17.Soru
Aşağıdakilerden hangisi p(x)=-4x+6 polinomunun köküdür?
|
3/2
|
|
-3/2
|
|
4
|
|
3/4
|
|
-3/4
|
18.Soru
{1,2} kümesinin boş kümeden farklı kaç tane altkümesi vardır?
|
3
|
|
4
|
|
5
|
|
6
|
|
7
|
-
- 1.SORU ÇÖZÜLMEDİ
- 2.SORU ÇÖZÜLMEDİ
- 3.SORU ÇÖZÜLMEDİ
- 4.SORU ÇÖZÜLMEDİ
- 5.SORU ÇÖZÜLMEDİ
- 6.SORU ÇÖZÜLMEDİ
- 7.SORU ÇÖZÜLMEDİ
- 8.SORU ÇÖZÜLMEDİ
- 9.SORU ÇÖZÜLMEDİ
- 10.SORU ÇÖZÜLMEDİ
- 11.SORU ÇÖZÜLMEDİ
- 12.SORU ÇÖZÜLMEDİ
- 13.SORU ÇÖZÜLMEDİ
- 14.SORU ÇÖZÜLMEDİ
- 15.SORU ÇÖZÜLMEDİ
- 16.SORU ÇÖZÜLMEDİ
- 17.SORU ÇÖZÜLMEDİ
- 18.SORU ÇÖZÜLMEDİ