Matematik 1 Ara 9. Deneme Sınavı
Toplam 19 Soru1.Soru
fonksiyonun tanım kümesi aşağıdakilerden hangisidir?
|
|
|
|
|
|
|
|
|
|
Kareköklü bir ifadenin anlamlı olabilmesi için karekök içinin sıfıra eşit veya sıfırdan büyük olması gerekir. Buna göre
aralığındadır. Doğru cevap C seçeneğidir.
2.Soru
Bir küpün toplam yüzey alanının hacmine oranı 3 ise küpün bir kenarı kaç birimdir?
|
8
|
|
24
|
|
3
|
|
2
|
|
4
|
3.Soru
log100=?
|
10
|
|
100
|
|
2
|
|
1
|
|
0
|
4.Soru
Aşağıdakilerden hangisinde f, A'dan B'ye bir fonksiyonu gösterir?
|
|
|
|
|
|
|
|
|
|
A şıkkında f fonksiyon değildir. Çünkü tanım kümesindeki "e" elemanının fonksiyon altında görüntüsü yoktur. B şıkkı tanım kümesindeki "a" elemanının f altında iki görüntüsü olduğundan fonksiyon değildir. C şıkkı tanım kümesindeki "b" ve "d" elemanlarının f altında görüntüsü olmadığından fonksiyon değildir. D şıkkı tanım kümesindeki "a" ve "d" elemanlarının f altında iki karşılığı olduğundan fonksiyon değildir. Doğru cevap "E" şıkkıdır. Tanım kümesinin her elemanı f altında değer kümesinde yanlız bir elemanla eşleşmiş ve tanım kümesinde boşta eleman kalmamıştır.
5.Soru
2(x - 1) + 7 = 13 denkleminin çözüm kümesi aşağıdakilerden hangisidir?
|
1 |
|
2 |
|
3 |
|
4 |
|
5 |
2(x - 1) + 7 = 13
2x - 2 + 7 = 13
2x + 5 = 13
2x = 8
x = 4
7.Soru
Aşağıdaki kümelerden hangisi {1,7} kümesini kapsar?
|
{2,3,5,7,8}
|
|
{0,-1,7,8,9}
|
|
{0,-1,1,7,8}
|
|
{17,0,-1,1,5,6,8}
|
|
{11,0,-1,1,8}
|
8.Soru
f(x)=x ve g(x)=|x| ise (fog)(x)=?
|
2x
|
|
x
|
|
x+|x|
|
|
2|x|
|
|
|x|
|
9.Soru
A={a,b,c,d,e} ve B={a,c,e,f,g} ise
aşağıdakilerden hangisidir?
|
{a,c} |
|
{f,g} |
|
{b,d,f,g} |
|
{a,b,c} |
|
{a,c,e} |
ve
olduğundan
elde edilir.
10.Soru
Aşağıdakilerden hangisi (0,1) ve (2,3) noktalarından geçen doğrunun denklemidir?
|
f(x)=x+1
|
|
f(x)=y-3
|
|
f(x)=2x-1
|
|
f(x)=3x-2y+1
|
|
f(x)=4x-2
|
11.Soru
Bir banka müşterisi 50000 lira tutarındaki para %10 yıllık faizle bankaya yatırılmıştır. 2 yıl sonunda bankadaki toplam parası ne kadar olur?
|
57500
|
|
50250
|
|
60250
|
|
55000
|
|
60500
|
12.Soru
Yarılanma ömrü 50 yıl olan bir radyoaktif maddeden 800 gram vardır. 200 yıl sonra bu maddeden kaç gram kalır?
|
200
|
|
150
|
|
100
|
|
75
|
|
50
|
13.Soru
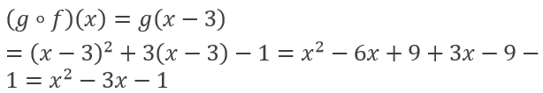
olduğuna göre
fonksiyonu aşağıdakilerden hangisidir?
|
|
|
|
|
|
|
|
|
|
olur. Doğru cevap B’dir.
14.Soru
f(x)=-3x+56 polinom fonksiyonunun derecesi aşağıdakilerden hangisidir?
|
0
|
|
53
|
|
-3
|
|
56
|
|
1
|
16.Soru
Sayı doğrusu üzerinde 1 noktasına olan uzaklığı 3 birim ve 3 birimden daha az olan reel sayıların kümesi aşağıdakilerden hangisidir?
|
|
|
|
|
|
|
|
|
|
18.Soru
|
Pozitif tamsayılar |
|
Negatif reel sayılar |
|
Rasyonel sayılar |
|
Pozitif rasyonel sayılar |
|
Negatif tamsayılar |
Mutlak değerleri eşit oln a ve -a biçimindeki sayıların her ikisi de tanım kümesinde bulunursa fonksiyon bire-bir olmaz.
19.Soru
2x-6=0 denkleminin çözüm kümesi aşağıdakilerden hangisidir?
|
|
|
|
|
|
|
|
|
3 |
2x-6=0 denklemi çözüldüğünde 2x=6 ve buradan x=3 bulunur yani cevap b şıkkıdır.
-
- 1.SORU ÇÖZÜLMEDİ
- 2.SORU ÇÖZÜLMEDİ
- 3.SORU ÇÖZÜLMEDİ
- 4.SORU ÇÖZÜLMEDİ
- 5.SORU ÇÖZÜLMEDİ
- 6.SORU ÇÖZÜLMEDİ
- 7.SORU ÇÖZÜLMEDİ
- 8.SORU ÇÖZÜLMEDİ
- 9.SORU ÇÖZÜLMEDİ
- 10.SORU ÇÖZÜLMEDİ
- 11.SORU ÇÖZÜLMEDİ
- 12.SORU ÇÖZÜLMEDİ
- 13.SORU ÇÖZÜLMEDİ
- 14.SORU ÇÖZÜLMEDİ
- 15.SORU ÇÖZÜLMEDİ
- 16.SORU ÇÖZÜLMEDİ
- 17.SORU ÇÖZÜLMEDİ
- 18.SORU ÇÖZÜLMEDİ
- 19.SORU ÇÖZÜLMEDİ