Matematik 1 Final 11. Deneme Sınavı
Toplam 17 Soru1.Soru
|
-3 |
|
3 |
|
-12 |
|
6 |
|
-6 |
olur. Buradan
elde edilir. Benzer şekilde
olur. Böylece
olur. O halde
olduğundan doğru cevap C’dir.
2.Soru
|
I ve II |
|
I |
|
I ve III |
|
II ve III |
|
Hiçbiri |
3.Soru
İfadesinin sonucu aşağıdakilerden hangisidir?
|
1 |
|
2 |
|
4 |
|
3 |
|
6 |
4.Soru
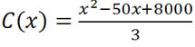
X üretim maliyetini göstermek üzere bir malın toplam maliyet fonksiyonu
olarak veriliyor. Maliyetin minimum olduğu üretim miktarı aşağıdakilerden hangisidir?
|
25 |
|
30 |
|
35 |
|
40 |
|
45 |
Maliyetin minimum olduğu üretim miktarı, maliyet fonksiyonunun yerel minimum noktasıdır. Maliyet fonksiyonunun yerel minimum noktasını bulmak için maliyet fonksiyonunun türevini alalım. C'(x)=(2x-50)/3 buradan x=25 , C''(x)=2/3, C''(25)=2/3>0 olduğundan, maliyet fonksiyonunun yerel minimum noktası 25’tir.
5.Soru
f(x,y) = x^2 * y^3 fonksiyonu verilmiştir. Buna göre fx(-2,2) değeri aşağıdakilerden hangisidir?
|
-32
|
|
-16
|
|
-8
|
|
-4
|
|
-10
|
6.Soru
Maliyet fonksiyonu C(x) = 50 + 0,2x^2 + 7x ve gelir fonksiyonu R(x)= 4x^2 ise, marjinal kar fonksiyonunu bulunuz.
|
P'(x) = 7x - 7
|
|
P'(x) =4x +50
|
|
P'(x) =8,1 x +7
|
|
P'(x) =6,5 x +5
|
|
P'(x) =7,6 x +7
|
7.Soru
|
6 |
|
5 |
|
4 |
|
3 |
|
2 |
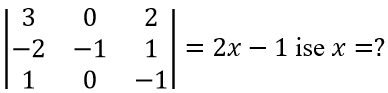
Sarrus kuralına göre verilen determinant hesaplanırsa
eşitliği
denklemine dönüşür. Buradan
elde edilir. Doğru cevap D’dir.
8.Soru
fonksiyonu veriliyor. F''(3) değeri aşağıdakilerden hangisidir?
|
|
|
|
|
0 |
|
1 |
|
|
fonksiyonu
değeri sabit bir değer olduğundan sabit fonksiyondur. Bu nedenle F'(x)=0 ve F''(x)= 0 ve F''(3)= 0 dır.
9.Soru
f(x,y) = 4x^2 - 3y^2 + 4y - 5x + 1 fonksiyonu verilmiştir. Buna göre fy (1,1) değeri aşağıdakilerden hangisidir?
|
-2
|
|
-3
|
|
-4
|
|
-5
|
|
-1
|
10.Soru
f(x)=x+b fonksiyonunun x=1 noktasındaki limit değeri 5 ise b kaçtır?
|
2
|
|
3
|
|
4
|
|
5
|
|
6
|
11.Soru
x ve y mallarına ait fayda fonksiyonu U(x,y)=x0.4y0.3 olarak verilmektedir. x=50 ve y=100 için x miktarı sabit kalmak üzere y malından sağlanan fayda aşağıdakilerden hangisidir?
|
0.45 |
|
0.61 |
|
0.56 |
|
0.35 |
|
0.71 |
0.45
12.Soru
fonksiyonunun grafiğine hangi
noktasında çizilen teğet doğrusunun eğimi 4 olur?
|
-2 |
|
-1 |
|
0 |
|
1 |
|
2 |
Bunun için önce f fonksiyonunun türevini alıp 4’e eşitlemeliyiz.
olur. Doğru cevap D’dir.
13.Soru
f (x,y) = x3 - y3 + 2xy + 1 ise f(1,-1) değeri aşağıdakilerden hangisidir?
|
1
|
|
2
|
|
3
|
|
4
|
|
5
|
14.Soru
f(x,y)=x2-y2 ise, f(3,1) değeri aşağıdakilerden hangisidir?
|
-9
|
|
-8
|
|
0
|
|
2
|
|
8
|
15.Soru
Onbinde birin 10 tabanına göre logaritması kaçtır?
|
-4
|
|
-1
|
|
3
|
|
1
|
|
4
|
16.Soru
|
(f+g)(x)=8 |
|
(f+g)(x)=x3 |
|
(f+g)(x)=x3-x |
|
(f+g)(x)=x3-x+4 |
|
(f+g)(x)=x+4 |
olarak bulunur. Cevap D'dir.
17.Soru
değeri aşağıdakilerden hangisidir?
|
|
|
|
|
|
|
|
|
|
olarak elde edilir. Buna göre doğru cevap E seçeneğidir.