Matematik 1 Final 17. Deneme Sınavı
Toplam 17 Soru1.Soru
f(x)=9x+7 fonksiyonunun x=5 noktasındaki ikinci mertebeden türevi olan f''(5) değeri kaçtır?
|
0
|
|
4
|
|
6
|
|
7
|
|
9
|
3.Soru
Bir beyaz eşya firmasının çamaşır makinesi üretim fonksiyonu,
haftalık işgücü saatini ve
sermaye yatırım miktarını göstermek üzere
için işgücü marjinal verimliliği aşağıdakilerden hangisidir?
|
1200 |
|
1250 |
|
1300 |
|
1350 |
|
1400 |
Dolayısıyla cevap D seçeneği olur.
4.Soru
f(x)=x4+3ax2+1 ise f'''(x) aşağıdakilerden hangisidir?
|
24x |
|
24x2 |
|
12x2+6a |
|
12x2+6ax |
|
4x+6a |
Fonksiyonun birinci mertebeden türevi f'(x)=4x3+6ax'dir. İkinci mertebeden türevi ise
f''(x)=12x2+6a, üçüncü mertebeden türevi ise f'''(x)=24x olur.
5.Soru
y=3x-1 doğrusu aşağıdaki doğrulardan hangisine paralel bir doğrudur?
|
2y=6x+5 |
|
y=x+1 |
|
y=3 |
|
y=5x-3 |
|
x=3 |
2y=6x+5 y=3x-1
y=3x+5/2 doğrunun eğimi 3
doğrunun eğimi 3
eğimleri eşit doğrular birbirine paraleldir.
6.Soru
ise A-4I3 matrisi aşağıdakilerden hangisidir?
|
|
|
|
|
|
|
|
|
|
olur.
7.Soru
Tabloda verilen değerlere göre f(x)=150-20x denkleminde hataların kareleri toplamı kaçtır?
|
25 |
|
50 |
|
75 |
|
100 |
|
125 |
Hatanın kareleri toplamı: 0+9+16+4+100=125 olur.
8.Soru
f(x)=(x+1)(x-2) ise f '(1) kaçtır?
|
0
|
|
1
|
|
2
|
|
3
|
|
4
|
9.Soru
|
7 |
|
8 |
|
9 |
|
10 |
|
11 |
42 = 2a ise
(22)2 = 2a
24 = 2a olduğundan a = 4 bulunur.
1010= 100b ise
1010= (102)b
1010= 102b olduğundan 2b = 10 buradan b = 5 bulunur. O halde a + b = 4 + 5 = 9 bulunur. Doğru cevap C’dir.
11.Soru
y = 2x+1 doğrusuna paralel olan ve (0, -1) noktasından geçen doğrunun denklemi aşağıdakilerden hangisidir?
|
y = 2x-3
|
|
y = 2x
|
|
y = -2x+1
|
|
y = -2x+3
|
|
y = 2x-1
|
13.Soru
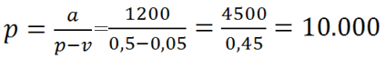
Bir gazetenin aylık üretim gideri 4500 TL, birim değişken gideri 20 KRŞ ve bir gazetenin fiyatı 5 KRŞ olduğuna göre bu gazetenin kara geçebilmesi için en az kaç gazete satması gerekir?
|
5.000 |
|
10.000 |
|
15.000 |
|
20.000 |
|
25.000 |
Malın sabit üretim gideri
birim değişken gideri
ve gazetenin fiyatı
TL olduğuna göre başa-baş noktası
olur. Dolayısıyla cevap B seçeneğidir.
14.Soru
Arz ve talep doğruları q= -20 + 6p ve q = 25 -3p olarak verilen bir modelin denge noktası olan (p,q) nedir?
|
(10,5) |
|
(5,10) |
|
(15,3) |
|
(10,7) |
|
(1,2) |
Bu iki denklemin ortak çözümünü bulmamız gerekir. Buna göre q= -20 + 6p ve 2q = 50 – 6p olduğundan denklem sistemi çözümü yapılmalıdır. -20+6p=25-3p-->9p=45--> p=5 ve buradan da q=10 elde edilir. Doğru cevap B’dir.
15.Soru
polinomunun derecesi aşağıdakilerden hangisidir?
|
4 |
|
3 |
|
1 |
|
5 |
|
2 |
5. dereceden polinom fonksiyondur.
16.Soru
f(x, y) = xln(xy) ise f_xx(1,-1) aşağıdakilerden hangisidir?
|
-1/2
|
|
-1/4
|
|
1
|
|
1/4
|
|
1/2
|
17.Soru
f(x)=3x3-9 fonksiyonunun x=2 noktasındaki anlık değişim hızı aşağıdakilerden hangisidir?
|
36 |
|
15 |
|
9 |
|
-6 |
|
-9 |
f'(x)=9x2 olur x=2 için f'(2)=36 olur.