Matematik 1 Final 18. Deneme Sınavı
Toplam 20 Soru2.Soru
Aşağıdakilerden hangisi boş kümedir?
|
|
|
|
|
|
|
|
|
|
3.Soru
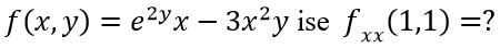
Eğer
|
0 |
|
3 |
|
-3 |
|
-6 |
|
6 |
Eğer
sabit kabul edilip iki defa
göre türev alınacak olursa,
olur. Buradan
elde edilir. Doğru cevap D’dir.
4.Soru
Tabloda verilen değerlere göre
denkleminde hataların kareleri toplamı kaçtır?
|
25 |
|
50 |
|
75 |
|
100 |
|
125 |
Hatanın kareleri toplamı: 0+9+16+4+100=125 olur. Dolayısıyla cevap E seçeneğidir.
5.Soru
2x2 tipinden bir A matrisinin ilk satırı ( 2 3 ) ve ikinci satırı ( x y ) şeklinde ise bu matrisin determinantı aşağıdakilerden hangisidir?
|
y
|
|
3x+2y
|
|
3(x+y)
|
|
3x - 2y
|
|
2y - 3x
|
6.Soru
A = {2, 4, 6, 7}, B = {3, 2, 7, 5}, C = {4,5, 8, 2} olarak verilmiştir. (A?B)?C kümesinin elemanları hangi şıkta doğru olarak verilmiştir?
|
{2, 4}
|
|
{2}
|
|
{2, 4, 5}
|
|
{2, 4, 5, 8}
|
|
{2, 5}
|
7.Soru
x miktarı ve y fiyatı göstermek üzere, bir malın arz ve talep denklemleri sırasıyla y=20+x/5 ve y=44-x/3 olarak veriliyor. Aşağıdakilerden hangisi bu malın piyasa fiyatıdır?
|
45
|
|
35
|
|
29
|
|
49
|
|
37
|
8.Soru
30 kişilik bir sınıfta 15 kişi basketbol, 20 kişi futbol oynamaktadır. Bu sınıfta iki oyundan herhangi birini oynamayan öğrenci olmadığına göre, hem basketbol hem de futbol oynayan kaç kişi vardır?
|
4 |
|
5 |
|
6 |
|
7 |
|
8 |
Sınıftaki tüm öğrenciler ya futbol ya da basketboldan birini oynadığına göre ve futbol oynayanlarla basketbol oynayanların sayılarının toplamı 15+20=35 olduğundan sınıf mevcuduna göre 5 kişilik bir fazlalık söz konusudur. Bu fazlalık hem basketbol hem de futbol oynayanların iki kez sayılmasından kaynaklandığından her iki oyunu da oynayan 5 kişi vardır.
9.Soru
x=-1 noktası f(x)=ax-3x2 fonksiyonunun bir yerel ekstremum noktası ise a değeri aşağıdakilerden hangisi olabilir?
|
0 |
|
3 |
|
-3 |
|
6 |
|
-6 |
x=-1 noktası yerel ekstremum noktası olduğundan f'(x)=0 denkleminin bir çözümüdür. Buradan f'(x)=a-6x, f'(-1)=a-6(-1)=0 denkleminden a=-6 olur.
10.Soru
Aşağıdaki sayılardan hangisi en büyüktür?
|
|
|
|
|
|
|
|
|
|
11.Soru
Günlük hazırlanan bir pastanın günlük sabit üretim gideri 7TL, birim değişken gideri 0,5 TL olduğuna göre, 6 tane pastanın toplam maliyeti nedir?
|
7
|
|
10
|
|
5
|
|
12
|
|
20
|
13.Soru
Bir sınıfta ingilizce ve fransızca derslerinden en az birini alan öğrenciler bulunmaktadır. Fransızca dersini alan 7 öğrenci vardır. İngilizce dersi alan ise 18 öğrenci vardır. Sınıf mevcudu 23 olduğuna göre iki dersi de alan kaç öğrenci vardır.
|
5
|
|
2
|
|
3
|
|
4
|
|
11
|
14.Soru
Pozitif bir nicelik zaman içinde değişiyorken mevcut büyüklüğü ile orantılı olarak artıyorsa aşağıdakilerden hangisi doğrudur?
|
|
|
|
|
|
|
|
|
|
15.Soru
f(x,y)=xy+y2-x2 ise f(1,1) aşağıdakilerden hangisidir?
|
1 |
|
2 |
|
0 |
|
-2 |
|
-1 |
1
16.Soru
2(x+2)-5(x-1)=17 denkleminin çözüm kümesi aşağıdakilerden hangisidir?
|
{-8/3} |
|
{8/3} |
|
{18/3} |
|
{-18/3} |
|
{7/3} |
Denklem çözüldüğünde x=-8/3 cevabı elde edilir.
17.Soru
Bir malın sabit üretim giderleri 10000 TL, birim değişken maliyet 2,5 TL ve satış fiyatı 6,5 TL ise işletmenin zarar etmemesi için satış miktarının en az kaç olması gerekir?
|
2200 |
|
2300 |
|
2400 |
|
2500 |
|
2600 |
Toplam maliyetin toplam gelire eşit olduğu noktaya baş-başa noktası (ne kar ne de zararın olduğu nokta) denir. Sabit üretim giderleri a=10000 TL, birim değişken maliyet v=2,5 TL ve malın satış fiyatı p=6,5 TL olduğundan başa-baş satış miktarı
elde edilir.
18.Soru
150.000 Dolar yıllık % 15 bileşik faiz oranıyla 5 yıllığına bir bankaya yatırılıyor. Buna göre, 5. yılın sonunda yatırılan para yaklaşık kaç Türk Lirası’na ulaşır?
|
201.703
|
|
301.704
|
|
320.000
|
|
350.000
|
|
450.000
|
19.Soru
f(x)=2x^4+2x fonksiyonunun grafiğine hangi x noktasında çizilen teğet doğrusunun eğimi 1 olur?
|
-2
|
|
-1/2
|
|
2
|
|
1/2
|
|
-1
|
20.Soru
3125 sayısının 5 tabanına göre logaritması kaçtır?
|
1 |
|
2 |
|
3 |
|
4 |
|
5 |
-
- 1.SORU ÇÖZÜLMEDİ
- 2.SORU ÇÖZÜLMEDİ
- 3.SORU ÇÖZÜLMEDİ
- 4.SORU ÇÖZÜLMEDİ
- 5.SORU ÇÖZÜLMEDİ
- 6.SORU ÇÖZÜLMEDİ
- 7.SORU ÇÖZÜLMEDİ
- 8.SORU ÇÖZÜLMEDİ
- 9.SORU ÇÖZÜLMEDİ
- 10.SORU ÇÖZÜLMEDİ
- 11.SORU ÇÖZÜLMEDİ
- 12.SORU ÇÖZÜLMEDİ
- 13.SORU ÇÖZÜLMEDİ
- 14.SORU ÇÖZÜLMEDİ
- 15.SORU ÇÖZÜLMEDİ
- 16.SORU ÇÖZÜLMEDİ
- 17.SORU ÇÖZÜLMEDİ
- 18.SORU ÇÖZÜLMEDİ
- 19.SORU ÇÖZÜLMEDİ
- 20.SORU ÇÖZÜLMEDİ