Matematik 1 Final 7. Deneme Sınavı
Toplam 14 Soru1.Soru
8 santimetreküp hacimli dikdörtgenler prizması şeklinde bir karton kutu yapılmak isteniyor. Bu işi için kullanılacak kartonu minimuma indirmek için kutunun boyutları ne olmalıdır?
|
(2,4,1)
|
|
(8,1,1)
|
|
(2,1,4)
|
|
(2,2,2)
|
|
(8/3 , 8/3, 8/3 )
|
2.Soru
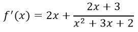
f(x)=x2+ln(x2+3x+2) ise f'(1) aşağıdakilerden hangisidir?
|
17/6 |
|
6/17 |
|
1 |
|
5/6 |
|
6/5 |
olduğundan
olur.
3.Soru
ise 3A-2B işleminin sonucu aşağıdakilerden hangisidir?
|
|
|
|
|
|
|
|
|
|
Matrislerde gerçekleştirilen cebirsel işlemler tüm matris elemanlarında gerçekleştirilmelidir. Bu durumda
olarak hesaplanır.
4.Soru
miktarı göstermek üzere, bir malın talep fonksiyonu
olarak veriliyor. Fiyat
birim için talebin fiyat esnekliği aşağıdakilerden hangisidir?
|
1 |
|
2 |
|
3 |
|
4 |
|
5 |
Talebin fiyat esnekliği
Buradan doğru cevap C’dir.
5.Soru
İki değişkenli bir f(x,y) fonksiyonunun, (a,b) kritik noktası için ikinci türev testi uygulanmış ve D değeri bulunmuştur. İkinci türev testi sonucu (a,b) noktasının ne yerel minimum ne de yerel maksimum noktası olmadığı bulunmuştur. Buna göre D değeri hakkında aşağıdaki verilen seçeneklerden hangisi doğrudur?
|
D<0
|
|
D=0
|
|
D>0
|
|
D>1
|
|
D>2
|
6.Soru
f(x)=x+2 ve g(x)=3 olduğuna göre f+g (x) aşağıdakilerden hangisine eşittir?
|
f+g (x)=x+5
|
|
f+g (x)=x+1
|
|
f+g (x)=x-1
|
|
f+g (x)=3x+6
|
|
f+g (x)=x+2
|
7.Soru
Verilen ifadenin sonucu aşağıdakilerden hangisidir?
|
|
|
2 |
|
1 |
|
4 |
|
8 |
9.Soru
matrisi verilsin. A matrisinin determinantının 26 olması için
sayısı ne olmalıdır?
|
4 |
|
5 |
|
6 |
|
7 |
|
8 |
A matrisinin determinantı
olarak verilmiştir. Verilen matrisin determinantı hesaplanırsa
denklemi elde edilir. Bu denklem çözülürse
bulunur. Doğru cevap B’dir.
10.Soru
p fiyatı ve q miktarı göstermek üzere bir malın talep fonksiyonu q=f(p)=300-p2 olarak verilmektedir. Fiyat p=15 birim için talebin fiyat esnekliği aşağıdakilerden hangisidir?
|
6 |
|
5 |
|
4 |
|
3 |
|
2 |
6
11.Soru
A, 3x3 boyutunda bir kare matris olsun. A matrisi ile çarpıldığında A.X=X.A kuralı geçerli olan X matrisi aşağıdakilerden hangisidir?
|
|
|
|
|
|
|
|
|
|
Matrislerde çarpma işleminde değişme kuralı yoktur. Bu kuralı ihlal eden tek matris birim matristir. A 3x3 boyutunda olduğu için 3x3 boyutundaki birim matris
AX=XA eşitliğini sağlar. Her A matrisi için
bulunur.
12.Soru
Eğer a sabit bir değerse f(x)=a şeklindeki bir polinomun derecesi nedir?
|
0
|
|
1
|
|
0.5
|
|
a
|
|
-1
|
13.Soru
A=⎨a,b,c⎬ve B=⎨b,c⎬olduğuna göre bu iki kümenin birleşim kümesi nedir?
|
⎨a,b,c⎬
|
|
⎨a,b⎬
|
|
⎨b,c⎬
|
|
⎨a,c⎬
|
|
⎨⎬
|
14.Soru
f(x,y) = 4x^2 - 3y^2 + 4y - 5x + 1 fonksiyonu verilmiştir. Buna göre f(1,1) değeri aşağıdakilerden hangisidir?
|
0
|
|
1
|
|
2
|
|
3
|
|
4
|