Matematik 2 Ara 10. Deneme Sınavı
Toplam 18 Soru1.Soru
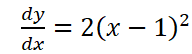
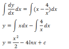
diferansiyel denkleminin genel çözümü aşağıdakilerden hangisidir?
|
|
|
|
|
|
|
|
|
|
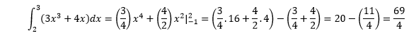
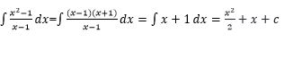
eşitliğinde x’e göre her iki tarafın integrali alınırsa
bulunur.
2.Soru
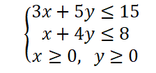
Bir maksimizasyon probleminin tanım kümesi aşağıdaki grafikte taralı bölge olarak verildiğine göre bu problemin kısıtları aşağıdakilerden hangisidir?
|
|
|
|
|
|
|
|
|
|
Grafikteki taralı bölge
eşitsizliklerini sağlayan tüm (x,y) noktalarının ara kesitidir. Bu durumda problemin kısıtları
olur.
3.Soru
Diferansiyel denklemler ile ilgili aşağıdaki ifadelerden hangileri doğrudur? I. Bağımlı değişkenin, bağımsız değişkene göre türevlerini içeren bir denkleme diferansiyel denklem denir. II. Diferansiyel denklemi özdeş olarak sağlayan fonksiyona diferansiyel denklemin çözümü denir. III. Diferansiyel denklemin keyfi sabitlere bağlı çözümüne diferansiyel denklemin özel çözümü denir.
|
I ve II
|
|
I, II ve III
|
|
II ve III
|
|
Yalnız I
|
|
I ve III
|
4.Soru
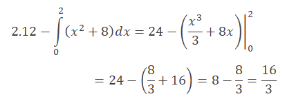
x miktarı ve p fiyatı göstermek üzere bir malın talep fonksiyonu p=80-x2 şeklinde verilmiştir. Bu göre p0=16 fiyatındaki tüketici rantı aşağıdakilerden hangisidir?
|
552 |
|
528 |
|
450 |
|
448 |
|
428 |
Talep fonksiyonunda p0=16 değerini yerine yazarsak talep miktarı, 16=80-x2 eşitliğinden x2=64 olup x=8 veya x=-8 olarak bulunur. Talep miktarı negatif olamayacağından x0=8 olup, tüketici rantı,
sonucuna ulaşılır.
5.Soru
Aşağıdaki noktalardan hangisi 2x-3y?14 eşitsizliğini sağlar?
|
(8, -2)
|
|
(14, 3)
|
|
(7, -1)
|
|
(1, -7)
|
|
(9, 2)
|
7.Soru
Yukarıda grafiği verilen eşitsizlik aşağıdakilerden hangisidir?
|
|
|
|
|
|
|
|
|
|
x+2y=12 doğrusu eksenleri (12,0) ve (0,6) noktasında keser. (0,0) noktası
eşitsizliğini sağlamadığından, yani
olduğundan (0,0) noktasının olmadığı bölge taranır.
9.Soru
x miktarı ve p fiyatı göstermek üzere talep fonksiyonu
ve arz fonksiyonu
şeklinde verilsin. Buna göre piyasa fiyatı düzeyindeki tüketici rantı aşağıdakilerden hangisidir?
|
14/3 |
|
5 |
|
16/3 |
|
17/3 |
|
6 |
Arz ve talebin eşit olduğu noktadaki fiyat piyasa fiyatıdır. Buna göre;
denklemi elde edilir. Bu denklem çözülürse x=2 ya da x=-5 olur. Miktar sıfırdan küçük olamayacağından x₀=2 olarak alınır. Bu değeri talep fonksiyonunda yerine yazarsak p₁=6-4=2 elde edilir. Buradan tüketici rantı
olarak elde edilir.
11.Soru
Babasının yaşı oğlunun yaşının 19 katının 2 eksiğinden büyüktür. Babasının yaşı y oğlunun yaşı x olduğuna göre aşağıdaki ifadelerden hangisi doğrudur?
|
|
|
|
|
|
|
|
|
|
Babasının yaşı oğlunun yaşının 19 katının 2 eksiğinden büyüktür. Babasının yaşı y oğlunun yaşı x olduğuna göre doğru cevap E şıkkıdır.
12.Soru
Aşağıda y=f(x) fonksiyonun grafiği verilmiştir. Buna göre
integralinin sonucu aşağıdakilerden hangisidir?
|
5 |
|
7 |
|
9 |
|
11 |
|
13 |
x-ekseninde [-4, 0] aralığı ile y=f(x) fonksiyonunun grafiği arasında kalan A1 , x-ekseninde [0, 1] aralığı y=f(x) fonksiyonunun grafiği arasında kalan A2 ve x-ekseninde [1, 3] aralığı y=f(x) fonksiyonunun grafiği arasında kalan A3 olmak üzere
=4.2+1-4=5 br2 olur.
13.Soru
Aşağıdaki noktalardan hangisi
eşitsizliklerinin hepsini birden sağlar?
|
(1,3) |
|
(3,2) |
|
(-2,2) |
|
(8,-1) |
|
(3,1) |
(-2,2) ve (8,-1) noktalarının koordinatlarından biri negatif olduğundan son eşitsizlik sağlanmaz. Her iki koordinatı da pozitif olan diğer noktalar arasında (3,1) noktası tüm eşitsizlikleri sağlar.
14.Soru
diferansiyel denkleminin y(0)=1 koşuluna uyan çözümü aşağıdakilerden hangisidir?
|
|
|
|
|
|
|
|
|
|
ve buradan
bulunur. y(0)=1 koşulundan c=1 ve böylece diferansiyel denklemin y(0)=1 koşuluna uyan çözümü
bulunur.
16.Soru
x miktarı ve p fiyatı göstermek üzere bir malın arz fonksiyonu
şeklinde verilmiştir. Buna
göre p0=46 fiyatındaki üretici rantı aşağıdakilerden hangisidir?
|
48 |
|
46 |
|
72 |
|
64 |
|
52 |
Arz fonksiyonunda piyasa fiyatı olan 46’yı yerine yazalım:
olur. Buradan da x=4 elde edilir. Bu değeri x°=4 şeklinde göstererek
formülünü kullanarak
olarak bulunur.
17.Soru
x miktarı ve p fiyatı göstermek üzere bir malın arz fonksiyonu
şeklinde verilmiştir. Buna göre
fiyatındaki üretici rantı kaçtır?
|
16/3 |
|
14/3 |
|
10/3 |
|
24 |
|
12 |
değeri arz fonksiyonunda yerine yazılırsa
eşitliğinden
bulnur. Buradan x=2 veya x=-2 elde edilir. Arz miktarı negatif olmayacağına göre x=2 çözüm olur. Bu değer x0=2 şeklinde gösterilirse buradan üretici rantı
bulunur.
18.Soru
x miktarı ve p fiyatı göstermek üzere bir malın arz fonksiyonu p=3x2+3 şeklinde veriliyor. Piyasa fiyatı 6 olduğuna göre üretici rantı aşağıdakilerden hangisidir?
|
2 |
|
4 |
|
6 |
|
8/3 |
|
10 |
Piyasa fiyatı 6 yı arz fonksiyonunda yerine yazarsak, 6=3x2+3 eşitliğinden x=1 (pozitif kök) bulunur. O halde üretici rantı,
olarak bulunur.
-
- 1.SORU ÇÖZÜLMEDİ
- 2.SORU ÇÖZÜLMEDİ
- 3.SORU ÇÖZÜLMEDİ
- 4.SORU ÇÖZÜLMEDİ
- 5.SORU ÇÖZÜLMEDİ
- 6.SORU ÇÖZÜLMEDİ
- 7.SORU ÇÖZÜLMEDİ
- 8.SORU ÇÖZÜLMEDİ
- 9.SORU ÇÖZÜLMEDİ
- 10.SORU ÇÖZÜLMEDİ
- 11.SORU ÇÖZÜLMEDİ
- 12.SORU ÇÖZÜLMEDİ
- 13.SORU ÇÖZÜLMEDİ
- 14.SORU ÇÖZÜLMEDİ
- 15.SORU ÇÖZÜLMEDİ
- 16.SORU ÇÖZÜLMEDİ
- 17.SORU ÇÖZÜLMEDİ
- 18.SORU ÇÖZÜLMEDİ