Matematik 2 Ara 13. Deneme Sınavı
Toplam 18 Soru1.Soru
|
-1 |
|
0 |
|
3/2 |
|
2 |
|
5/2 |
Orijinden geçen bu doğrunun eğimi grafikten de görüldüğü gibi 1/4 olduğundan
2.Soru
Aşağıdaki noktalardan hangisi 5x+5y? 15 eşitsizliğini sağlar?
|
(5,1)
|
|
(4,3)
|
|
(1,2)
|
|
(2,2)
|
|
(3,4)
|
3.Soru
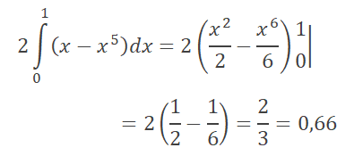
Bir ülkenin istatistik kurumunun yayınladığı yüzde 20’lik fert gruplarına göre gelir dağılımı verilerinde elde edilen Lorenz fonksiyonu L(x)=x5 şeklinde belirlenmiştir. Buna göre ülkenin Gini indeksi aşağıdakilerden hangisidir?
|
0,25 |
|
0,30 |
|
0,33 |
|
0,50 |
|
0,66 |
formülü ile hesaplanır. Verilen bilgiler yerine yazılırsa bu ülkenin Gini indeksi,
olarak bulunur.
4.Soru
Aşağıdaki eşitsizliklerden hangisinin çözüm kümesi (1,2), (3,4) ve (5,6) noktalarının hepsini birden bulundurur?
|
|
|
|
|
|
|
|
|
|
eşitsizliğinin çözüm kümesi (1,2), (3,4) ve (5,6) noktalarının hepsini birden bulundurur.
5.Soru
integralinin değeri aşağıdakilerden hangisidir?
|
|
|
|
|
|
|
|
|
|
6.Soru
I.Diferansiyel denklemi özdeş olarak sağlayan fonksiyona diferansiyel denklemin çözümü denir. II. Diferansiyel denklemin keyfi sabitlere bağlı çözümüne diferansiyel denklemin genel çözümü denir. III. Diferansiyel denklemin genel çözümündeki keyfi sabitlere değerler vererek elde edilen çözümlere özel çözümler denilir. Diferansiyel denklemlerle ilgili yukarıdaki ifadelerden hangileri doğrudur?
|
Yalnız I |
|
Yalnız II |
|
I ve II |
|
I, II ve III |
|
II ve III |
1, 2 ve 3 doğrudur.
8.Soru
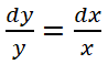
diferansiyel denkleminin genel çözümü aşağıdakilerden hangisidir?
|
|
|
|
|
|
|
|
|
|
İfadeyi
formunda yazarak her iki tarafı integre edersek
buluruz. Buradan
elde ederiz.
diyecek olursak y=cx elde ederiz.
9.Soru
Bir ekonomide arz fonksiyonu y=4x-20 olarak verilmiştir. Üreticiler 15 birim fiyattan satıyorsa elde edilecek üretici rantı kaçtır?
|
50 |
|
100 |
|
150 |
|
200 |
|
250 |
15 değerini talep fonksiyonunda yerine yazarsak
y=4x-20
y=4.15-20
y=40
Buna göre değeri için üretici rantı
10.40/2=200
olarak bulunur.
10.Soru
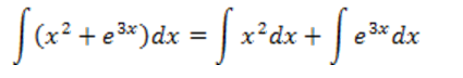
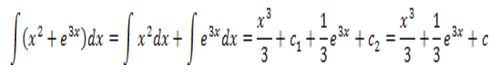
integralinin sonucu aşağıdakilerden hangisidir?
|
|
|
|
|
|
|
|
|
|
İki fonksiyonun toplamının integrali bu fonksiyonların integralleri toplamına eşit olduğundan
olur. Kuvvet fonksiyonunun integral alma kuralı gereği
elde edilir. Üstel fonksiyonun integral alma kuralı gereği
bulunur.
olur.
14.Soru
Arz ve talep miktarının eşit olduğu noktadaki fiyata ne denir?
|
Talep fiyatı |
|
Arz fiyatı |
|
Piyasa fiyatı |
|
denge fiyatı |
|
üretici rantı |
Arz ve talep miktarının eşit olduğu noktadaki fiyatına piyasa fiyatı denir.
15.Soru
Aşağıdaki noktalardan hangisi
eşitsizliklerinin hepsini birden sağlar?
|
(4,7) |
|
(-1,4) |
|
(4,6) |
|
(3,8) |
|
(1,2) |
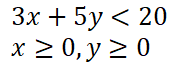
(1,2) noktası tüm eşitsizlikleri sağlar. 3.1+5.2=13<20, 1>0 ve 2>0.
16.Soru
Bir ülkede 2000 yılında nüfus sayımı yapılmıştır. Yıllık nüfus artış oranının %1,05 olduğu daha önceki çalışmalarla belirlenmiştir. 2016 yılında yapılan sayımda nüfus 5375836 çıktığına göre 2000 yılındaki sayımda nüfus yaklaşık olarak kaçtır?
|
4 600 485
|
|
4 545 480
|
|
4 644 488
|
|
4 544 484
|
|
4 540 844
|
18.Soru
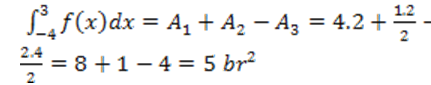
Aşağıda y=f(x) fonksiyonun grafiği verilmiştir. Buna göre
integralinin sonucu aşağıdakilerden hangisidir?
|
5 |
|
7 |
|
9 |
|
11 |
|
13 |
x-ekseninde [-4, 0] aralığı ile y=f(x) fonksiyonunun grafiği arasında kalan A1, x-ekseninde [0, 1] aralığı ile y=f(x) fonksiyonunun grafiği arasında kalan alan A2 ve x-ekseninde [1, 3] aralığı ile y=f(x) fonksiyonunun grafiği arasında kalan alan A3 olmak üzere
olur.
-
- 1.SORU ÇÖZÜLMEDİ
- 2.SORU ÇÖZÜLMEDİ
- 3.SORU ÇÖZÜLMEDİ
- 4.SORU ÇÖZÜLMEDİ
- 5.SORU ÇÖZÜLMEDİ
- 6.SORU ÇÖZÜLMEDİ
- 7.SORU ÇÖZÜLMEDİ
- 8.SORU ÇÖZÜLMEDİ
- 9.SORU ÇÖZÜLMEDİ
- 10.SORU ÇÖZÜLMEDİ
- 11.SORU ÇÖZÜLMEDİ
- 12.SORU ÇÖZÜLMEDİ
- 13.SORU ÇÖZÜLMEDİ
- 14.SORU ÇÖZÜLMEDİ
- 15.SORU ÇÖZÜLMEDİ
- 16.SORU ÇÖZÜLMEDİ
- 17.SORU ÇÖZÜLMEDİ
- 18.SORU ÇÖZÜLMEDİ