Matematik 2 Ara 2. Deneme Sınavı
Toplam 20 Soru1.Soru
eşitsizliğini sağlayan noktaların grafiği aşağıdakilerden hangisidir?
|
|
|
|
|
|
|
|
|
|
3x+y=9 doğrusu eksenleri (3,0), (0,9) noktalarında x+2y=8 doğrusu ise eksenleri (8,0), (0,4) noktalarında keser. (0,0) noktası
eşitsizliklerini sağlamadığından tüm eşitsizlikleri sağlayan noktalar kümesinin grafiği aşağıdaki taralı bölgedir.
4.Soru
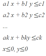
a1, b1, c1, . . . , ak, bk, ck sayıları pozitif olmak üzere,
eşitsizliklerini sağlayan bölgeye verilen ad aşağıdakilerden hangisidir?
|
Çokgen |
|
Dikdörtgen |
|
Maksimum |
|
Minimum |
|
Çözüm |
a1, b1, c1, . . . , ak, bk, ck pozitif sabit sayılar olmak üzere
eşitsizliklerini sağlayan tüm (x, y) noktalarının kümesine düzlemde bir çokgen veya çokgen bölge denir.
5.Soru
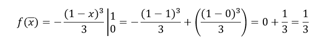
f(x)= (x-1) sürekli fonksiyonunun 0 ile 2 arasında ortalama değerini bulunuz?
|
4
|
|
3
|
|
2
|
|
1
|
|
0
|
6.Soru
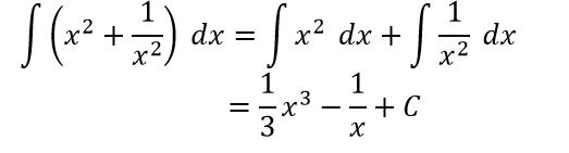
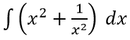
integralinin sonucu aşağıdakilerden hangisidir?
|
|
|
|
|
|
|
|
|
|
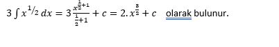
ve
olduğundan
olur.
7.Soru
integralinin değeri aşağıdakilerden hangisidir?
|
0 |
|
1/2 |
|
-1/2 |
|
1/5 |
|
-1/5 |
u=x-1 değişken değiştirmesi yapılırsa, du=dx olur. Bu değişken yerine yazıldığında integral,
elde edilir. Bu integralde u=x-1 ve c=0 yazılırsa,
elde edilir.
8.Soru
y=f(x) fonksiyonun grafiği aşağıda verilmiştir. Grafiğe göre
integralinin sonucu aşağıdakilerden hangisidir?
|
2 |
|
4 |
|
6 |
|
8 |
|
10 |
İntegralin Temel Teoremi kullanılırsa
9.Soru
x miktarı ve p fiyatı göstermek üzere bir malın arz fonksiyonu p = x 2 + 2 şeklinde verilmiştir. Buna göre p0 =6 fiyatındaki üretici rantı kaçtır?
|
20/3 |
|
7 |
|
6 |
|
19/3 |
|
17/3 |
p0 = 6 değerini arz fonksiyonunda yerine yazarsak x^ 2 + 2 = 6 eşitliğinden 4 = x ^2 bulunur. Buradan x = 2 veya x = -2 bulunur. Arz miktarı negatif olamayacağına göre x = 2 çözüm olur. Bu değeri de x0 = 2 şeklinde gösterirsek buradan üretici rantı,
10.Soru
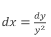
diferansiyel denkleminin x=3 için y=1 koşuluna sahip çözümü aşağıdakilerden hangisidir?
|
|
|
|
|
|
|
|
|
|
olup düzenlenirse
ifadesine ulaşılır. Her iki tarafın integrali alınırsa
eşitliğinden
elde edilir. x=3 için y=1 koşulu uygulanırsa
eşitliğinden c=4 elde edilir. O halde
olur.
11.Soru
integralinin sonucu aşağıdakilerden hangisidir?
|
|
|
|
|
|
|
|
|
|
13.Soru
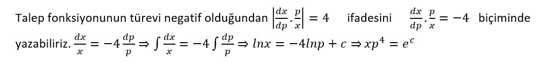
Bir malın talep esnekliği 4 olarak verildiğine göre bu malın miktarı ve fiyatı arasındaki ilişkiyi veren talep denklemi aşağıdakilerden hangisidir
|
|
|
|
|
|
|
|
|
xp=c |
14.Soru
Aşağıdaki grafiklerden hangisi
eşitsizliklerini sağlayan noktaların grafiğidir?
|
|
|
|
|
|
|
|
|
|
2x+y=6: eksenleri (0,6), (3,0)
x+y=2: eksenleri (0,2), (2,0) noktalarında keserler. (0,0) noktası için 2.0+0=0<6 ve 0+0=0<2 olduğundan (0,0) noktası 1. eşitsizliği sağlarken 2. eşitsizliği sağlamaz. O halde aranan bölge aşağıdaki şekildeki gibidir:
.
16.Soru
Yukarıda grafiği verilen eşitsizlik aşağıdakilerden hangisidir?
|
|
|
|
|
|
|
|
|
|
2x+y=2 doğrusu eksenleri (1,0) ve (0,2) noktasında keser. (0,0) noktası
eşitsizliğini sağladığından yani
olduğundan, (0,0) noktasının olduğu bölge taranır.
18.Soru
Bir malın talep fiyat esnekliği 3 olarak verildiğine göre bu malın miktarı ve fiyatı arasındaki ilişkiyi veren talep denklemi aşağıdakilerden hangisidir?
|
x . p=C
|
|
x^3 . p = C
|
|
3x . p = C
|
|
3x . p = 1
|
|
x . p = 3
|
19.Soru
Bir malın talep fiyat esnekliği 3 olarak verildiğine göre bu malın miktarı ve fiyatı arasındaki ilişkiyi veren talep denklemi aşağıdakilerden hangisidir?
|
|
|
|
|
|
|
|
|
|
20.Soru
fonksiyonunun [0, 1] aralığı üzerindeki ortalama değeri aşağıdakilerden hangisidir?
|
1/6 |
|
1/5 |
|
1/4 |
|
1/3 |
|
1/2 |
olduğu biliniyor. Bu durumda
değerini hesaplamak için u=1-x diyelim. Bu durumda du=-dx olur.
u=1-x olduğundan ve c=0 alınırsa
olur.
-
- 1.SORU ÇÖZÜLMEDİ
- 2.SORU ÇÖZÜLMEDİ
- 3.SORU ÇÖZÜLMEDİ
- 4.SORU ÇÖZÜLMEDİ
- 5.SORU ÇÖZÜLMEDİ
- 6.SORU ÇÖZÜLMEDİ
- 7.SORU ÇÖZÜLMEDİ
- 8.SORU ÇÖZÜLMEDİ
- 9.SORU ÇÖZÜLMEDİ
- 10.SORU ÇÖZÜLMEDİ
- 11.SORU ÇÖZÜLMEDİ
- 12.SORU ÇÖZÜLMEDİ
- 13.SORU ÇÖZÜLMEDİ
- 14.SORU ÇÖZÜLMEDİ
- 15.SORU ÇÖZÜLMEDİ
- 16.SORU ÇÖZÜLMEDİ
- 17.SORU ÇÖZÜLMEDİ
- 18.SORU ÇÖZÜLMEDİ
- 19.SORU ÇÖZÜLMEDİ
- 20.SORU ÇÖZÜLMEDİ