Matematik 2 Ara 8. Deneme Sınavı
Toplam 19 Soru1.Soru
eşitsizliğinin çözüm kümesinin grafiği aşağıdakilerden hangisidir?
|
|
|
|
|
|
|
|
|
|
3x+4y=12 doğrusu eksenleri (0,3) ve (4,0) noktalarında keser. Kontrol noktamız (0,0) için
olduğundan eşitsizliği sağlamaz. Dolayısıyla (0,0) ın bulunamadığı taraf taranır.
2.Soru
Herhangi bir mal ve hizmeti belli bir fiyatın üstünde olmaya istekli olan tüketiciler eğer o mal veya hizmeti almaya istekli oldukları fiyatın altında satın alabilirlerse bu durumda korunan para miktarına ne ad verilir?
|
Tüketici Rantı |
|
Talep |
|
Toplumsal Fayda |
|
Arz |
|
Gini Endeksi |
Herhangi bir mal ve hizmeti belli bir fiyatın üstünde olmaya istekli olan tüketiciler eğer o mal veya hizmeti almaya istekli oldukları fiyatın altında satın alabilirlerse bu durumda korunan para miktarına tüketici rantı denir.
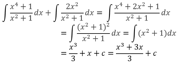
4.Soru
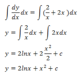
diferansiyel denkleminin genel çözümü aşağıdakilerden hangisidir?
|
|
|
|
|
|
|
|
|
lnx+x+c |
diferansiyel denkleminin her iki tarafının x’e göre integrali alınırsa
olur.
5.Soru
Bir malın talep fiyat esnekliği 1/4 olarak verildiğine göre bu malın miktarı ve fiyatı arasındaki ilişkiyi veren talep denklemi aşağıdakilerden hangisidir?
|
|
|
|
|
|
|
|
|
|
6.Soru
Aşağıdaki noktalardan hangisi eşitsizliklerinin
hepsini birden sağlar?
|
(2,2) |
|
(2,1) |
|
(1,2) |
|
(2,0) |
|
(2,4) |
(2,0) noktası verilen eşitsizliklerin hepsini sağlar.
7.Soru
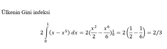
Bir ülkenin İstatistik kurumunun yayınladığı yüzde 20'lik fert gruplarına göre gelir dağılımı verilerinden elde edilen Lorenz fonksiyonu L(x)=x.x şeklinde belirlenmiştir. Buna göre bu ülkenin Gini indeksi aşağıdakilerden hangisidir?
|
1/3
|
|
0.5
|
|
0.25
|
|
0.375
|
|
0.125
|
8.Soru
Aşağıdaki noktalardan hangisi
eşitsizliğini sağlamaz?
|
(2,-2) |
|
(2,2) |
|
(1,4) |
|
(-1,4) |
|
(2,3) |
x+5y=10 doğrusunun üst tarafında kalan noktalar verilen eşitsizliği sağlarken, altında kalan noktalar sağlamaz. (2,-2) noktası bu doğrunun altında kaldığından yani
olduğundan eşitsizliği sağlamaz.
9.Soru
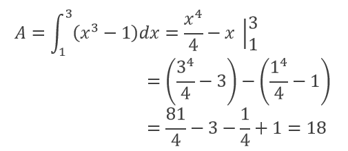
Üstten y=x3 eğrisi alttan y=x2 parabolü ve yanlardan x=2 ve x=3 doğrusu ile sınırlı bölgenin alanı kaç br2’dir
|
109/12 |
|
119/12 |
|
139/12 |
|
149/12 |
|
169/12 |
İstenilen bölgenin alanı
olur.
10.Soru
fonksiyonunun [0, 1] aralığı üzerindeki ortalama değeri aşağıdakilerden hangisidir?
|
1/6 |
|
1/5 |
|
1/4 |
|
1/3 |
|
1/2 |
olduğu biliniyor. Bu durumda
değerini hesaplamak için u=1-x diyelim. Bu durumda du=-dx olur.
u=1-x olduğundan ve c=0 alınırsa
olur.
11.Soru
Bir mahallede 2000 kişi yaşamaktadır. Bu mahallede dedikodunun yayılma hızı, hemdedikoduyu duymuş, hem de henüz dedikoduyu duymamış olan kişi sayısıyla doğru orantılıdır. Orantı sabiti 0,02 olduğuna göre yaklaşık kaç dakika sonra 500 kişi dedikoduyu duymuş olur?
|
15
|
|
8
|
|
5
|
|
13
|
|
9
|
12.Soru
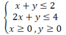
Aşağıdaki noktalardan hangisi 5x +4y ? 20 ve x ? 0 , y ? 0 eşitsizliklerinin hepsini sağlar?
|
(-1,7)
|
|
(2,3)
|
|
(3,3)
|
|
(0,5)
|
|
(5,1)
|
13.Soru
5x+6y?30 eşitsizliğinde eksenleri kesen nokta aşağıdakilerden hangisidir?
|
(5,6)
|
|
(6,4)
|
|
(4,5)
|
|
(5,5)
|
|
(6,5)
|
14.Soru
4.soruda verilen bilgiler doğrultusunda piyasa düzeyindeki tüketici rantı kaçtır?
|
225/3 |
|
250/3 |
|
100/3 |
|
305/3 |
|
325/3 |
Önceki soruda x0=5 ve p0=45 olarak hesaplanmış idi. Burada tüketici rantı,
bulunur.
16.Soru
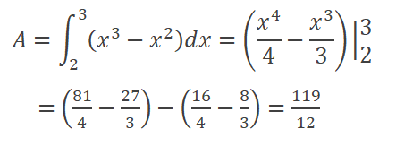
ve yanlardan x=1 ve x=3 doğrularıyla sınırlı bölgenin alanı kaç br²’dir?
|
17 |
|
18 |
|
19 |
|
20 |
|
21 |
Alanı istenilen bölgeyi A ile gösterelim.
17.Soru
Bir madde sıcaklığı 28 C olan bir ortamda tutuluyor. 8 dakika sonra maddenin sıcaklığı 30 C olarak belirleniyor. Maddenin soğuma katsayısı -0,25 olduğuna göre maddenin başlangıç sıcaklığı yaklaşık olarak nedir?
|
42,70
|
|
42,78
|
|
42,86
|
|
42,94
|
|
43,02
|
18.Soru
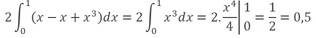
Bir ülkenin istatistik kurumunun yayımladığı yüzde 20’lik fert gruplarına göre gelir dağılımı verilerinden elde edilen Lorenz fonksiyonu
şeklinde belirlenmiştir. Buna göre bu ülkenin Gini indeksi aşağıdakilerden hangisidir?
|
0,45 |
|
0,50 |
|
0,60 |
|
0,65 |
|
0,70 |
Bir ülkenin Gini indeksi
formülüyle bulunabilir. Buna göre
elde edilir.
19.Soru
Aşağıdaki noktalardan hangisi
eşitsizliklerinin hepsini birden sağlar?
|
(-5,3) |
|
(5,-3) |
|
(7,2) |
|
(-4,4) |
|
(0,2) |
Verilen noktalardan (-5,3) noktası eşitsizliklerin hepsini birden sağlar.
-
- 1.SORU ÇÖZÜLMEDİ
- 2.SORU ÇÖZÜLMEDİ
- 3.SORU ÇÖZÜLMEDİ
- 4.SORU ÇÖZÜLMEDİ
- 5.SORU ÇÖZÜLMEDİ
- 6.SORU ÇÖZÜLMEDİ
- 7.SORU ÇÖZÜLMEDİ
- 8.SORU ÇÖZÜLMEDİ
- 9.SORU ÇÖZÜLMEDİ
- 10.SORU ÇÖZÜLMEDİ
- 11.SORU ÇÖZÜLMEDİ
- 12.SORU ÇÖZÜLMEDİ
- 13.SORU ÇÖZÜLMEDİ
- 14.SORU ÇÖZÜLMEDİ
- 15.SORU ÇÖZÜLMEDİ
- 16.SORU ÇÖZÜLMEDİ
- 17.SORU ÇÖZÜLMEDİ
- 18.SORU ÇÖZÜLMEDİ
- 19.SORU ÇÖZÜLMEDİ