Matematik 2 Final 18. Deneme Sınavı
Toplam 19 Soru1.Soru
Hastanede 5 günde bir nöbet tutan doktor, ilk nöbetini Çarşamba tutmuş ise, 17. nöbetini hangi gün tutar?
|
Perşembe
|
|
Cuma
|
|
Cumartesi
|
|
Pazar
|
|
Pazartesi
|
2.Soru
ebob(36,81)=?
|
18
|
|
3
|
|
6
|
|
9
|
|
12
|
3.Soru
Matrisi
olan oyunun aşağı değeri aşağıdakilerden hangisidir?
|
-2 |
|
-1 |
|
0 |
|
1 |
|
3 |
Satırların en küçükleri -1, 0, -2’dir. Bu sayıların en büyüğü 0 olduğundan aşağı değer 0’dır.
4.Soru
n tane köşe noktası olan farklı ağaçların sayısı aşağıdakilerden hangisidir?
|
2n |
|
n+2 |
|
|
|
|
|
|
n tane köşe noktası olan farklı ağaçların sayısı
dir.
5.Soru
matris oyununda birinci oyuncu 1. satırı seçtiğindeki garantilenmiş kazancı ile 2. satırı seçtiğindeki garantilenmiş kazancının toplamı aşağıdakilerden hangisidir?
|
4 |
|
0 |
|
1 |
|
-1 |
|
3 |
1. satırı seçtiğinde garantilenmiş kazancı 2, 2. satırı seçtiğinde garantilenmiş kazancı -2 olduğundan toplamı 0 dır. Cevap B dir.
6.Soru
Sıfır toplamlı olmayan
oyununun denge ikilisi aşağıdakilerden hangisidir?
|
(3. Satır, 1. Sütun) |
|
(1. Satır, 3. Sütun) |
|
(2. Satır, 1. Sütun) |
|
(1. Satır, 2. Sütun) |
|
(2. Satır, 2. Sütun) |
(3,2) ikilisinin birinci bileşeni 3, bulunduğu 1. Sütundaki birinci bileşenlerin en büyüğüdür (bu bileşenler 1,0 ve 3’tür). 2 sayısı da bulunduğu 3. satırdaki ikinci bileşenlerin en büyüğüdür (bu bileşenler 2,1 ve 0’dır). Bundan dolayı (3. Satır, 1. Sütun) denge ikilisidir.
7.Soru
Doğrusal şifreleme fonksiyonu d(x) = 5(x+5)(mod 11) ile x =11 sayısının şifrelenmişi aşağıdakilerden hangisidir?
|
5
|
|
4
|
|
3
|
|
2
|
|
1
|
8.Soru
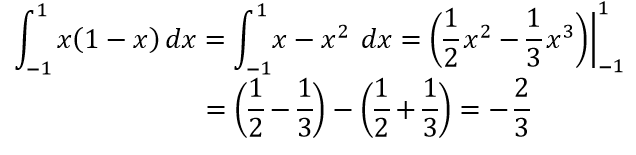
integralinin değeri aşağıdakilerden hangisidir?
|
-2/3 |
|
-1/3 |
|
0 |
|
1/3 |
|
2/3 |
9.Soru
Aşağıdaki çizgilerden hangisi düzlemsel değildir?
|
|
|
|
|
|
|
|
|
|
B şıkkındaki K5 tam çizgesini kenarları birbiriyle kesişmeyecek şekilde çizemeyiz. Dolayısıyla düzlemsel bir çizge değildir.
10.Soru
Ebob (45,120)?
|
25
|
|
12
|
|
15
|
|
10
|
|
30
|
11.Soru
Matrisi
şeklinde verilen oyunda birinci oyuncu 1. satırı seçtiğinde garantilenmiş kazancı aşağıdakilerden hangisidir?
|
-2 |
|
0 |
|
-1 |
|
3 |
|
2 |
Birinci satırdaki
sayılarının en küçüğü olan -2 birinci oyuncunun garantilenmiş kazancıdır. Doğru cevap A şıkkıdır.
12.Soru
Bir çizgenin tüm köşe noktalarının derecesi en fazla 7 ise bu çizgenin köşe noktaları, komşu noktalar farklı renkte olacak şekilde kaç renk ile boyanabilir?
|
5
|
|
6
|
|
7
|
|
8
|
|
9
|
13.Soru
Matrisi
olan oyunda II. oyuncunun minimaks stratejisi aşağıdakilerden hangisidir?
|
1.sütun |
|
2.sütun |
|
3.sütun |
|
4.sütun |
|
5.sütun |
Sütunların en büyükleri 4, 3, 2, 5 ve 1’dir. Bu sayıların en küçüğü 1’dir. 1’in bulunduğu 5. sütun II. oyuncunun minimaks stratejisidir.
14.Soru
denkliğinin çözüm kümesi aşağıdakilerden hangisidir?
|
|
|
|
|
|
|
|
|
|
Denkliğin her iki tarafına 1 eklenirse
elde edilir. Denkliğin her iki tarafı 3 ile çarpılırsa
olur. Böylece çözüm kümesi, 7 ile bölümünden 5 kalanını veren sayıların kümesidir. Doğru cevap E’dir.
15.Soru
Matrisi
şeklinde verilen oyunda, II. oyuncunun minimaks stratejisi nedir?
|
1.satır |
|
2.satır |
|
1.sütun |
|
2.sütun |
|
3.sütun |
Oyun II. oyuncu ile oynandığından sütunlar göz önünde bulundurulmalıdır. Sütunlardaki sayıların en büyükleri sırasıyla 1, 3 ve 4’tür. Bu sayıların en küçüğü olan 1’in bulunduğu 1. sütun II. oyuncunun minimaks stratejisidir.
16.Soru
Matrisi
olan oyunda I. oyuncu 1. satırı seçtiğinde garantilenmiş kazancı ile 3. satırı seçtiğinde garantilenmiş kazancının toplamı aşağıdakilerden hangisidir?
|
0 |
|
-3 |
|
-4 |
|
6 |
|
7 |
1. satır seçildiğinde garantilenmiş kazanç {1,-2,4} sayılarının en küçüğü olan (-2) ‘dir. 3. satır seçildiğinde garantilenmiş kazanç {-1,1,2} sayılarının en küçüğü (-1)’dir. Cevap -2 +(-1) = -3’tür.
17.Soru
5 tane köşe noktası olan kaç farklı ağaç vardır?
|
25 |
|
125 |
|
625 |
|
3125 |
|
3415 |
18.Soru
Bir Çizgeye ilişkin aşağıda verilen ifadelerden hangisi doğrudur?
|
Bir çizgedeki tüm köşe noktalarının dereceleri toplamı tek sayıdır. |
|
Bir çizgedeki tüm köşe noktalarının dereceleri toplamı çizgedeki kenar sayısı kadardır. |
|
Çizge, boş kümeden farklı noktalar kümesidir. |
|
Bir köşe noktasından kendisine kenar çizilemez. |
|
Bir çizgede derecesi tek olan köşe noktalarının sayısı çifttir. |
Bir çizgede tüm köşe noktaları derecesi toplamı çift sayıdır. Bir çizgedeki tüm köşe noktalarının dereceleri toplamı çizgedeki kenar sayısının iki katıdır. Çizge, boş kümeden farklı noktalar kümesiyle bu noktalar arasındaki çizgilerin kümesidir. Bir köşe noktasından kendisine kenar çizilebilir.
19.Soru
Sırasıyla 1., 2., ve 3. satırları (4 -5 3 2), (-3 -6 -7 1), ve (3 4 2 1) şeklinde verilen oyunda 2. oyuncu 1. sütunu seçtiğinde garantilenmiş kaybı nedir?
|
4
|
|
-3
|
|
3
|
|
0
|
|
1
|
-
- 1.SORU ÇÖZÜLMEDİ
- 2.SORU ÇÖZÜLMEDİ
- 3.SORU ÇÖZÜLMEDİ
- 4.SORU ÇÖZÜLMEDİ
- 5.SORU ÇÖZÜLMEDİ
- 6.SORU ÇÖZÜLMEDİ
- 7.SORU ÇÖZÜLMEDİ
- 8.SORU ÇÖZÜLMEDİ
- 9.SORU ÇÖZÜLMEDİ
- 10.SORU ÇÖZÜLMEDİ
- 11.SORU ÇÖZÜLMEDİ
- 12.SORU ÇÖZÜLMEDİ
- 13.SORU ÇÖZÜLMEDİ
- 14.SORU ÇÖZÜLMEDİ
- 15.SORU ÇÖZÜLMEDİ
- 16.SORU ÇÖZÜLMEDİ
- 17.SORU ÇÖZÜLMEDİ
- 18.SORU ÇÖZÜLMEDİ
- 19.SORU ÇÖZÜLMEDİ