Matematik 2 Final 27. Deneme Sınavı
Toplam 20 Soru1.Soru
Kuvvet fonksiyonuyla şifrelemede p=13 ve e=5 olsun. M=6 sayısının şifrelenmişi aşağıdakilerden hangisidir?
|
2
|
|
3
|
|
1
|
|
8
|
|
7
|
2.Soru
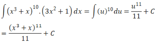
integralinin sonucu aşağıdakilerden hangisidir?
|
|
|
|
|
|
|
|
|
|
İntegralde u=x3+x değişken değiştirmesi yapılırsa, du=(3x2+1)dx olarak bulunur. İntegralde yerine yazarsak,
şeklinde ifade edilir.
3.Soru
Aşağıda matrisi verilen sıfır toplamlı oyunun denge ikilisi aşağıdakilerden hangisidir?
|
(2.Satır, 1.Sütun) |
|
(2. Satır, 2. Sütun) |
|
(3. Satır, 1. Sütun) |
|
(3. Satır, 2. Sütun) |
|
(4. Satır, 2. Sütun) |
Her satırın sağına o satırın en küçüğünü, her sütunun altına da o sütunun en büyüğünü yazalım:
Eğer matriste bulunduğu satırda en küçük, bulunduğu sütunda ise en büyük olacak şekilde bir eleman varsa bu elemanın bulunduğu satır sütun numaralarına denge ikilisi denir. O halde bu soru için denge ikilisi vardır ve (2. Satır, 1. Sütun) denge ikilisi olur.
4.Soru
Deşifre fonksiyonu
olan doğrusal şifreleme fonksiyonu aşağıdakilerden hangisidir?
|
|
|
|
|
|
|
|
|
|
doğrusal şifreleme fonksiyonunun deşifre fonksiyonu
şeklindedir. Burada
sayısı
olacak şekildeki bir sayıdır (
’nın
moduna göre tersi). O halde
denkliğinden
olması gerekir. Buradan doğru cevap B’dir.
5.Soru
3. soruda matrisi verilen oyunun aşağı değeri aşağıdakilerden hangisidir?
|
3
|
|
-1
|
|
4
|
|
-2
|
|
5
|
6.Soru
Matrisi
şeklinde verilen oyunda birinci oyuncu 1. satırı seçtiğinde garantilenmiş kazancı aşağıdakilerden hangisidir?
|
-2 |
|
0 |
|
-1 |
|
3 |
|
2 |
Birinci satırdaki {2,-1,-2,0} sayılarının en küçüğü olan -2 birinci oyuncunun garantilenmiş kazancıdır.
7.Soru
6 günde bir mantar çorbası, 8 günde bir de brokoli çorbası pişiren bir lokanta her iki çorbayı da Pazartesi günü pişirdiyse bir sonraki sefer bu iki çorba aynı anda hangi gün pişer?
|
Pazar |
|
Pazartesi |
|
Salı |
|
Çarşamba |
|
Perşembe |
Önce 6 ve 8 sayılarının en küçük ortak katı bulunmalıdır. 6=2x3 ve 8=23 olduğundan ekok(6,8)=23x4=24 olur. Şimdi de pazartesiden 24 gün sonrasının hangi güne denk geldiği bulunmalıdır.
olduğundan Pazartesiden başlayarak 3 gün sonrasına denk gelen gün aranan cevap olur.
8.Soru
Türkçe alfabedeki 29 harf A=0, B=1, … , Z=28 şeklinde kodlansın. Aşağıdakilerden hangisi Sezar şifrelemesinde
fonksiyonu kullanılarak “ÇAY” sözcüğünün şifrelenmişidir?
|
ŞRÜ |
|
ÜŞÜ |
|
RÜŞ |
|
ŞÜR |
|
ÜŞR |
Ç=3, A=0 ve Y=27 olarak kodlandığından,
Ü=25, Ş=22 ve R=20 şeklinde kodlandığından doğru cevap E’dir.
9.Soru
Matrisi
olan oyunun denge ikilisi aşağıdakilerden hangisidir?
|
(2,3) |
|
(3,1) |
|
(1,2) |
|
(1,3) |
|
(2,1) |
Her satırın karşısına en küçük elemanını, sütunların altına en büyük elemanı yazıp birincilerin maksimumunu, ikincilerin minimumunu bulalım:
maksimum{-1, -4, -7}=-1, minimum{5, 3, -1}=-1. Maksimum ve minimum eşit olduğundan -1’in bulunduğu 1. satır ve 3. sütun denge ikilisidir. Doğru yanıt D seçeneğidir.
10.Soru
|
38 |
|
19 |
|
2 |
|
3 |
|
6 |
olduğundan
olduğundan
elde edilir. Buradan doğru cevap A’dır.
11.Soru
Aşağıda verilen çizgelerden hangisi tamdır?
|
|
|
|
|
|
|
|
|
|
Bir çizgenin herhangi iki köşe noktası arasında bir kenar varsa, bu çizgeye tam çizge denir. Yani tam çizge olması için tüm köşe noktaları arasında bir kenar olmalıdır. Bu koşul sadece E)-şıkkındaki çizgede sağlanmaktadır.
12.Soru
“Bir çizgedeki tüm köşe noktalarının dereceleri toplamı ----“ cümlesindeki boşluk bırakılan yere gelmesi gereken aşağıdakilerden hangisidir?
|
361 derecedir. |
|
181 derecedir. |
|
tek sayıdır |
|
çift sayıdır |
|
121 derecedir. |
Bir çizgedeki tüm köşe noktalarının dereceleri toplamı çit sayıdır
14.Soru
matris oyununda I. oyuncu 2. satırı seçtiğinde garantilenmiş kazancı ile 4. satırı seçtiğindeki garantilenmiş kazancının toplamı aşağıdakilerden hangisidir?
|
-2 |
|
-10 |
|
-8 |
|
0 |
|
12 |
2. satırdaki {-7, -11, -6} sayılarının en küçüğü -11, 4. satırdaki {3, 4, 1} sayılarının en küçüğü 1’dir. Bu yüzden garantilenmiş kazançlar sırasıyla -11 ve 1’dir, toplamları da -10 olacaktır.
15.Soru
Bir düzlemsel çizgede köşe sayısı 6 ve kenar sayısı 9 ise bölge sayısı kaçtır?
|
4
|
|
5
|
|
6
|
|
7
|
|
8
|
16.Soru
Deşifre fonksiyonu d(y)=13(2y-7) (mod 29) ile y=15 sayısının deşifresi aşağıdakilerden hangisidir?
|
5 |
|
9 |
|
15 |
|
17 |
|
23 |
d(15)=13(2*15-7)=299 ve 299?9 (mod 29) olduğundan doğru cevap B seçeneğidir.
17.Soru
3 günde bir nöbet tutan bir doktor ilk nöbetini pazartesi tuttuğuna göre 13. nöbetini hangi gün tutar?
|
Pazartesi |
|
Salı |
|
Çarşamba |
|
Perşembe |
|
Cuma |
Pazartesi tutulan ilk nöbetten sonra geriye 12 nöbet kalır. Son nöbet 12.3=36 gün sonra tutulur. 36?1 (mod 7) olduğundan son nöbet Salı günü tutulur.
18.Soru
Bugün (1. gün) Pazartesidir. Derya 93. gün trenle geziye gidecektir. Derya'nın geziye gideceği gün aşağıdakilerden hangisidir?
|
Pazartesi
|
|
Salı
|
|
Çarşamba
|
|
Perşembe
|
|
Cuma
|
19.Soru
Aşağıdaki noktalardan hangisi -2x + y ≥ 4 eşitsizliğini sağlar?
|
(-2,2) |
|
(0,0) |
|
(1,1) |
|
(1,3) |
|
(-1,0) |
(-2,2) noktasını eşitsizlikte yerine yazarsak-2x+y=-2(-2)+2=6 olup doğru cevap A dır.
20.Soru
Matrisi
şeklinde verilen oyunda II. oyuncu 1. sütunu seçtiğinde garantilenmiş kaybı aşağıdakilerden hangisidir?
|
-9 |
|
9 |
|
5 |
|
-5 |
|
4 |
1. sütundaki 9, -5, 4 elemanlarından en büyüğü 9 olduğundan garantilenmiş kayıp 9 olur. Doğru cevap B seçeneğidir.
-
- 1.SORU ÇÖZÜLMEDİ
- 2.SORU ÇÖZÜLMEDİ
- 3.SORU ÇÖZÜLMEDİ
- 4.SORU ÇÖZÜLMEDİ
- 5.SORU ÇÖZÜLMEDİ
- 6.SORU ÇÖZÜLMEDİ
- 7.SORU ÇÖZÜLMEDİ
- 8.SORU ÇÖZÜLMEDİ
- 9.SORU ÇÖZÜLMEDİ
- 10.SORU ÇÖZÜLMEDİ
- 11.SORU ÇÖZÜLMEDİ
- 12.SORU ÇÖZÜLMEDİ
- 13.SORU ÇÖZÜLMEDİ
- 14.SORU ÇÖZÜLMEDİ
- 15.SORU ÇÖZÜLMEDİ
- 16.SORU ÇÖZÜLMEDİ
- 17.SORU ÇÖZÜLMEDİ
- 18.SORU ÇÖZÜLMEDİ
- 19.SORU ÇÖZÜLMEDİ
- 20.SORU ÇÖZÜLMEDİ