Matematiksel İktisat Ara 5. Deneme Sınavı
Toplam 19 Soru1.Soru
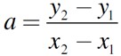
Bir doğrusal fonksiyon için (4, 5) ve (0, 3) noktaları veriliyor. Buna göre doğrunun eğimi aşağıdakilerden hangisidir?
|
|
|
0 |
|
|
|
|
|
1 |
İki noktası verilen bir doğrunun eğimini bulmak için
formülü kullanılır. Burada y2 = 5, y1 = 3 ve x2 = 4, x1 = 0 olarak verilmiştir.
olarak eğimi bulunur. Buna göre Doğru Cevap D seçeneği olur.
2.Soru
Bir ülkede nüfus artış hızı % 3.2'dir. Buna göre şu anki nüfusu 1000000 olan bu ülkenin 20 yıl sonraki nüfusu aşağıdakilerden hangisi olur?
|
1321567 |
|
1436269 |
|
1647950 |
|
1785397 |
|
1896480 |
3.Soru
Aşağıdakilerden hangisi üreticilerin ne kadar miktarda mal arz edeceklerini etkileyen faktörlerden biri değildir?
|
Malın fiyatı |
|
Girdi fiyatları |
|
Teknolojik değişmeler |
|
Üretici beklentileri |
|
Malın cinsi |
Üreticilerin ne kadar miktarda mal arz edeceklerini; Malın fiyatı, Girdi fiyatları, Teknolojik değişmeler, Üretici beklentileri gibi faktörlerden etkilenir.
4.Soru
Aşağıdakilerden hangisi bir bağıntıdır?
|
|
|
|
|
|
|
|
|
|
Verilen kümenin bir Doğal sayılarda bir bağıntı olabilmesi için oluşyurulacak sıralı ikililerin doğal sayılardan oluşması gerekir.
5.Soru
e Euler sayısı aşağıdaki formüllerden hangisi kullanılarak hesaplanır?
|
3,14 |
|
1+1/n+1/n2 |
|
|
|
2,17 |
|
|
eşitliğinden elde edilir.
6.Soru
Qd = 55 - 4p + p* - 9y p ilgili malın fiyatını, p* başka bir malın fiyatını ve y geliri temsil etmek üzere yandaki talep fonksiyonuna göre talebin fiyat esnekliği kaçtır?
|
|
|
|
|
|
|
|
|
|
Kısmi türev kurallarıyla talebin fiyat esnekliği:
7.Soru
I. Doğrusal denklem sistemlerinin çözümlerinde iki yöntem: İkame metodu ve eleme methodu kullanılır.
II. İkame metodunda denklem sistemindeki doğrusal fonksiyonlardan biri alınır ve y veya x cinsinden yazılır.
III. Eleme metodunda verilen denklem sistemindeki bilinmeyenlerin iki doğrusal fonksiyonda birbirine eşitlenmesi
gerekir.
Doğrusal denklem sistemlerinin çözüm methoduyla ilgili verilenlerden hangisi ya da hangileri doğrudur?
|
Yalnız I |
|
Yalnız II |
|
Yalnız III |
|
I ve II |
|
I ve III |
I. Doğrusal denklem sistemlerinin çözümlerinde iki yöntem: İkame metodu ve eleme methodu kullanılır. (Yanlış, Eğim-Kesişim Formunu Kullanma, İkame (Yerine Koyma) ve Eleme Metotlarıı olmak üzere üç methottan yararlanılır.)
II. İkame metodunda denklem sistemindeki doğrusal fonksiyonlardan biri alınır ve y veya x cinsinden yazılır. (Doğru)
III. Eleme metodunda verilen denklem sistemindeki bilinmeyenlerin iki doğrusal fonksiyonda birbirine eşitlenmesi
gerekir. (Yanlış, Eleme metodunda verilen denklem sistemindeki bilinmeyenlerden x veya y’nin elenmesi yoluna başvurulur.)
Cevap B şıkkıdır.
8.Soru
I. e0=1
II. e1=e
III. ex>0
IV. e tabanlı üstel fonksiyonların özellikleri yukarıdakilerden hangisi hangileridir?
|
I ve II |
|
II ve III |
|
I, II ve III |
|
II, III ve IV |
|
I, II, III ve IV |
a. e0 = 1 b. e1 = e c. ex > 0 d. olmak üzere e tabanlı üstel fonksiyonların özellikleri sayılabilir.
9.Soru
Aşağıdakilerden hangisi doğrusal bir arz fonksiyonunda eğim katsayısı olabilir?
|
-2
|
|
2
|
|
-0.8
|
|
-8
|
|
-1
|
10.Soru
Bir piyasa için talep ve arz fonksiyonları sırasıyla,
QD = 50 – P
QS = 20 + 2P
şeklinde verilmiş olsun. Piyasa dengesi, QS = QD eşitliğini sağlan fiyat (P) düzeyinde gerçekleştiğine göre, piyasa denge fiyat (P) ve miktarı (Q) aşağıdakilerden hangisi ile ifade edilir?
|
P = a / b ve Q = / d-b |
|
P = ac / db ve Q = a-b / b-d |
|
P = ad-bc / a-c ve Q = ad-bc / d-b |
|
P = a-c / d-b ve Q = d-b / d-b |
|
P = a-c / d-b ve Q = ad-bc / d-b |
Bir piyasa için talep ve arz fonksiyonları sırasıyla,
QD = 50 – P
QS = 20 + 2P
şeklinde verilmiş olsun. Piyasa dengesi, QS = QD eşitliğini sağlan fiyat (p) düzeyinde gerçekleşir. İşlem sonucunda,
20 + 2P = 50 – P
Denge fiyat, P = 10 ve denge miktar, Q = 40 olarak bulunur.
Piyasa denge durumunu genel form olarak ifade etmek istersek talep ve arz fonksiyonları sırasıyla,
QD = a + bP
QS = c + dP
ifade edilir ve piyasa denge fiyat ve miktarı ise
P = a-c / d-b ve Q = ad-bc / d-b
olarak ifade edilir. Doğru cevap E'dir.
11.Soru
4. ve 5. Soruları aşağıdaki verilere göre cevaplayınız.
Toplam gelir ise toplam efektif talebin fonksiyonudur.
C= 500 + 8/(10 ) Y, I= 300, G=400 ve Y= C+I+G
4. Y’nin değeri kaçtır?
|
2 500 |
|
3 000 |
|
4 000 |
|
5 500 |
|
6 000 |
Y = 500 + Y + 300 + 400 ve Y = 500 + Y + 300 + 400 , Y = 1200 + Y, Y - Y = 1200 , (10/10) Y - Y = 1200, 2/10 Y= 1200
Y = (10/2)*1200
Y = 5*(1200)
Y = 6000
12.Soru
Değeri model tarafından belirlenen değişken aşağıdakilerden hangisi ile ifade edilir?
|
Dışsal değişken |
|
İçsel değişken |
|
Bağımlı değişken |
|
Bağımsız değişken |
|
İntegral |
Bir fonksiyon için girdi sayılarını temsil eden bir değişken bağımsız değişken olarak adlandırılır. Çıktı sayılarını temsil eden bir değişken ise bağımlı değişken olarak adlandırılır. Çünkü alacağı değer, bağımsız değişkenin aldığı değere bağlıdır. y =ƒ(x) şekildeki bir fonksiyonda, y bağımlı değişken ya da fonksiyonun değeridir. İktisatta y değişkenine içsel değişken de denir. x ise bağımsız değişken ya da fonksiyonun argümanıdır. x değişkenine ise genellikle dışsal değişken denir.
Benzeri ifade ile, içsel değişken: Değeri model tarafından belirlenen değişkendir. Dışsal değişken: Değere modelin dışında belirlenen değişkendir. Bir modelde içsel olan bir değişken başka bir modelde dışsal olabilir. Doğru cevap B’dir.
13.Soru
Bir bankaya aylık % 5 faiz oranından yatırılan bir mevduat için yıllık efektif faiz oranı aşağıdakilerden hangisi olur?
|
% 5 |
|
% 5.1 |
|
% 5.2 |
|
% 5.3 |
|
% 5.4 |
14.Soru
Qd = 8000 - 2P3 talep fonksiyonu için toplam hasıla hangi düzeyde maksimum seviyesine ulaşır?
|
4 |
|
5 |
|
6 |
|
8 |
|
10 |
Qd = 8000 - 2P3 talep fonksiyonu için toplam hasıla TR=P*Q=P*(8000 - 2P3) = 8000P - 2P4 olur. Bu denklemin P'ye göre türevini alırsak TR' = 8000 - 8P3 ve maksimum noktasını bulmak için sıfıra eşitlersek P3=1000 eşitliğinde P=10 seviyesinde maksimum düzeyde olduğunu buluruz. Cevap E şıkkıdır.
15.Soru
Aşağıdakilerden hangisinin sıfıra eşitlenmesi toplam hasılatın maksimum olmasını sağlar?
|
dTR/dP
|
|
dTR/dQ
|
|
dP/dQ
|
|
dQ/dP
|
|
dTR/dTC
|
16.Soru
Üretim fonksiyonu ise emeğin marjinal fiziki ürünü aşağıdakilerden hangisidir?
|
|
|
|
|
|
|
|
|
|
17.Soru
Piyasa dengesi ile ilgili aşağıdaki ifadelerden hangisi yanlıştır?
|
Piyasa dengesi, tüketicilerin almaya gönüllü olduğu mal miktarı ile üreticilerin satmak için gönüllü olduğu mal miktarının eşit olduğu durumu ifade eder. |
|
Piyasada arz ve talep edilecek mal miktarlarını eşitleyecek tek bir fiyat düzeyi vardır ve bu fiyata “piyasa denge fiyatı” veya “piyasayı temizleyen fiyat denir. |
|
Eğer Qd > Qs ise piyasada denge yoktur ve fiyatın düşmesi gerekir. |
|
Eğer Qd < Qs ise piyasada üreticiler tüketiciler tarafından talep edilen miktardan daha fazla miktarda mal arz etmek istiyorlardır. |
|
Piyasa denge koşulu; Qd = Qs olarak ifade edilir. |
Eğer qD > qS ise piyasada denge yoktur talep fazlası vardır ve fiyatın düşmesi değil yükselmesi gerekir.
18.Soru
Doğal logaritmik fonksiyon en temel şekliyle aşağıdakilerden hangisi ile gösterilebilir?
|
|
|
x = ln(y) |
|
y = ex |
|
|
|
|
Doğal logaritmik fonksiyon en temel şekliyle x = ln(y) şeklinde gösterilebilir.
19.Soru
Üç bilinmeyenli ve üç denklemli bir makro denge sistemi aşağıdaki şekilde verilmiştir.
C=C0+bY I=I0+aY Y=C+I
C0=65 I0=70 b=0,6 a=0,2 ise denge milli gelir düzeyi aşağıdakilerden hangisidir?
|
515 |
|
565 |
|
625 |
|
675 |
|
735 |
Denge koşulu Y=C+I denklemidir. Diğer denklemler ve verilen değerler denge koşulunda yerine koyulmalıdır.
Tüketim denklemi C=65+0,6Y
Yatırım denklemi I=70+0,2Y
Denge koşulu Y=65+0,6Y+70+0,2Y
Y=135+0,8Y
Y-0,8Y=135
0,2Y=135
Y=675
-
- 1.SORU ÇÖZÜLMEDİ
- 2.SORU ÇÖZÜLMEDİ
- 3.SORU ÇÖZÜLMEDİ
- 4.SORU ÇÖZÜLMEDİ
- 5.SORU ÇÖZÜLMEDİ
- 6.SORU ÇÖZÜLMEDİ
- 7.SORU ÇÖZÜLMEDİ
- 8.SORU ÇÖZÜLMEDİ
- 9.SORU ÇÖZÜLMEDİ
- 10.SORU ÇÖZÜLMEDİ
- 11.SORU ÇÖZÜLMEDİ
- 12.SORU ÇÖZÜLMEDİ
- 13.SORU ÇÖZÜLMEDİ
- 14.SORU ÇÖZÜLMEDİ
- 15.SORU ÇÖZÜLMEDİ
- 16.SORU ÇÖZÜLMEDİ
- 17.SORU ÇÖZÜLMEDİ
- 18.SORU ÇÖZÜLMEDİ
- 19.SORU ÇÖZÜLMEDİ