Mathematics 1 Ara 10. Deneme Sınavı
Toplam 16 Soru1.Soru
Which of the following is not a subset of the set A={0,1,2,3,a,b}?
|
{0,1,2,3,a,b} |
|
Empty set |
|
{0,1,2,3} |
|
{a,b} |
|
{0,4,a,b} |
Since "4" is not an element of set A, the set {0,4,a,b} is not a subset of set A.
2.Soru
How many different inverse functions can be defined from a set of 10 elements to a set of 2 elements ?
|
45 |
|
20 |
|
90 |
|
10 |
|
2 |
Constant functions map every element from their domain to the same element of the range. We may therefore define a constant function for every element in the range. Since there are 10 different elements in the range we may write 10 different constant functions and inverse functions. Correct answer is D.
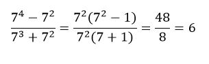
3.Soru
What is the value of ?
|
11 |
|
9 |
|
8 |
|
6 |
|
7 |
The answer is D.
4.Soru
Write a = -3, b = -1/2, c = - 5/3, d = 3/2 in increasing order?
|
a < b < c < d. |
|
a < c < b < d. |
|
b < a < c < d. |
|
c < a < d < b. |
|
d < b < c < a. |
a=-3, c=-1,6666..., b=-0.5, d=1.5 Then,
a < c < b < d.
5.Soru
Which of the following is a solution set of 3(2x+5) - 4(5x+10)=0?
|
{-14} |
|
{0, -25/14} |
|
{0, -25} |
|
{-25/14} |
|
{-14/25} |
3(2x+5) - 4(5x+10)=0
6x+15-20x-40=0
-14x-25=0
-14x=25
x=-25/14
The answer is D.
6.Soru
(59 – 57) / (252 – 253) = ?
|
-25 |
|
-625 |
|
-125 |
|
125 |
|
25 |
x = (57 (52 – 1)) / (54 (1 - 52)) = -125. Correct answer is C.
7.Soru
Which of the following is a point on the line y=2x+1?
|
(-2, 3) |
|
(2, 4) |
|
(2, 3) |
|
(-2, -3) |
|
(2, -3) |
Since -3 is 2(-2)+1, (-2, -3) is a point on the line (-2, -3).
8.Soru
Which of the following function's graph has x-intercept equal to 2 and y-intercept equal to 3?
|
f(x)=x2 |
|
f(x)=x2 -4 |
|
f(x)=(-3x/2)+3 |
|
f(x)=3x+2 |
|
f(x)=2x+3 |
for x=0 f(x)=3 and for x=2 f(x)=0 must be satisfied. Only the equation in C satisfies these conditions.
9.Soru
Let A = {a, b, c, d}. Find the number of all nonempty subsets of A?
|
3 |
|
7 |
|
17 |
|
31 |
|
63 |
n = s(A) = 4, 2n = 24 = 16.
A has only one empty subset Ø, therefore the number of nonempty subsets is 16 – 1 = 15.
10.Soru
Which of the following is a polynomial function, with degree 1?
|
f(x)=5 |
|
f(x)=2x-5 |
|
f(x)=1 |
|
f(x)=1/2 |
|
f(x)=x^2 |
The degree of f(x)=2x-5 is 1. The answer is B.
11.Soru
According to the Richter scale, earthquake magnitude 7.0 is how many times greater than 5.0 ?
|
500 |
|
25 |
|
10 |
|
1.000 |
|
100 |
7 = log10 107 ; 6 = log10 105 ; x = 107 / 105 = 100. Correct answer is E.
12.Soru
a, b, c : real numbers ; a > b > c. |b – a| + |c – b| + |a – c| = ?
|
2c – 2b |
|
2b – 2c |
|
2c – 2a |
|
0 |
|
2a – 2c |
x = a – b + b – c + a – c = 2a – 2 c. Correct answer is E.
13.Soru
(-4, 6] ? [3, 8) = ?
|
(-4, 3] |
|
(-4, 8) |
|
[-4, 3] |
|
[-4, 8) |
|
[6, 8) |
x = (-4, 8) . pg. 16. Correct answer is B.
14.Soru
|
II, IV |
|
II, III, IV |
|
I, II, III |
|
I, II, IV |
|
I, III, IV |
15.Soru
A = {0, 1, -1, -2, 2, 4, -4}, B = {1, -2, -3, -4, 5}, C={0, 2, 4, 6}. (A \ B) ? C = ?
|
{-1, 0, 2, 4, 5, 6} |
|
{-1, 0, 2, 4, 6} |
|
{-4, -3, -2, -1, 0, 1, 2, 4, 5, 6} |
|
{-4, -2, 0, 1, 2, 4, 6} |
|
{-3, -1, 0, 2, 4, 6} |
x = A \ B = {-1, 0, 2, 4} ; x ? C = {-1, 0, 2, 4, 6}. Correct answer is B.
16.Soru
- A = {x| x is a natural number between 30 and 40}
- A = {x: x is a natural number between 30 and 40}
- A = {x| x is a natural number}
- The empty set is a subset of the set A.
- A is its own subset.
Which of the above are implicit representations of the set A= {31, 32, 33,…39}?
|
I and II |
|
I and IV |
|
II and IV |
|
I, II and III |
|
III, IV and V |
A set can also be defined by giving a rule that determines whether an element is a member or not. For example, the expression
B = {x: x is a natural number between 10 and 20}
means that x is the collection of all natural numbers greater than 10 and less than 20. The set B above equivalently can be written as
B = {x| x is a natural number between 10 and 20}
or
B = {11, 12, ..., 19}.
Obviously, 15 ? B, 10 ? B, 25 ? B. The notations {x: …} and {x| …} are called implicit representations of sets.
As also understood from the information given, “A = {x| x is a natural number between 30 and 40" and “ A = {x: x is a natural number between 30 and 40}” are the implicit representations of the set A= {31, 32, 33,…39}, so the correct answer is A.
The expression “A = {x| x is a natural number}” is not well-defined, so it is not a set.
The expression “A is its own subset.” in the option IV explains the notion of set, but it is not the implicit representation of the set A.