Mathematics 1 Ara 6. Deneme Sınavı
Toplam 19 Soru1.Soru
ln(x2) – ln(4 e2 x) = -2. x = ?
|
e |
|
4 |
|
1 / e |
|
2 / (1 – e) |
|
e2 |
2 ln x – In 4 - 2 In e – In x = -2 ; In x = In 4 ; x = 4. Correct answer is B.
2.Soru
Which of the following is the intersection of intervals [-5, 7], and (3, 9]?
Which of the following is the intersection of intervals [-5, 7], and (3, 9]?
|
(3, 7] |
|
(3, 7) |
|
(3, 5] |
|
[-5, 9] |
|
[3, 7) |
The interval consisting of the elements of both intervals [-5, 7] and (3, 9] is (3, 7]. Correct answers is A.
3.Soru
Which power of 2 is between 500 and 600 ?
|
11 |
|
8 |
|
7 |
|
9 |
|
10 |
512 = 29 . Correct answer is D.
4.Soru
Which one of these is the minimum : 1 / 3, 2 / 5, 3 / 6, 3 / 10, 7 / 15 ?
|
3 / 10 |
|
7 / 5 |
|
1 / 3 |
|
3 / 6 |
|
2 / 5 |
x = min {1 / 3, 2 / 5, 3 / 6, 3 / 10, 7 / 15} = min {10, 12, 15, 9, 14} / 30 = 3 / 10. Correct answer is A.
5.Soru
Which of the following is the solution set of ?
|
{0, 5} |
|
{-5, 5} |
|
{-5, 0} |
|
{5} |
|
{-5} |
The answer is B.
6.Soru
Which one of these is an irrational number : 6251/2, (-64)1/3, -(25)1/2, 0, 271/2 ?
|
6251/2 |
|
-(25)1/2 |
|
(-64)1/3 |
|
271/2 |
|
0 |
x = 3 . 31/2 = 3 . 1.732.... . pg. 12. Correct answer is D.
7.Soru
- Consider the function
. For every x1, x2
A if x1 ? x2 implies f(x1) ? f(x2) then the function f is called one-to-one (or injective). - Given a function
if the image is equal to the range, i.e. f (A)=B the function f is called surjective (onto). - If a function which is both one-to-one and onto is called a bijection.
- Constant function and identity function are the concepts related to types of functions. A function assigning each element from its domain a single element in its range is called a constant function.
- Given A ?
, a function defined on the set A and assigning every element of A to itself is called the identity function.
Which of the statements above regarding to properties and types of functions is/are correct?
|
III |
|
II and III |
|
I, III and IV |
|
I, II, III and V |
|
I, II, III, IV and V |
Consider the function . For every x1, x2
A if x1 ? x2 implies
f(x1) ? f(x2) then the function f is called one-to-one (or injective).
Given a function if the image is equal to the range, i.e. f (A)=B the function f is called surjective (onto).
If a function which is both one-to-one and onto is called a bijection.
Constant function and identity function are the concepts related to types of functions. A function assigning each element from its domain a single element in its range is called a constant function.
Given A ? a function defined on the set A and assigning every element of A to itself is called the identity function.
As also understood from the information all of the statements regarding to properties and types of functions in the options are correct, so the correct answer is E.
8.Soru
Let f :R›R, f (x) = 1 + 3x and g :R›R, g(x) = x +12 be given. What is the value of (f+g)(1) =?
|
2 |
|
7 |
|
9 |
|
11 |
|
17 |
(f+g)(1)=f(1)+g(1)=1+3.1+1+12=17
9.Soru
Let f :R›R, f (x) = 9x - 1. Which of the following is the value of f –1 (16)?
|
2 |
|
11/5 |
|
12 |
|
17/9 |
|
21/3 |
f –1 (x)=(x+1)/9›f –1 (16)=16+1/9=17/9
11.Soru
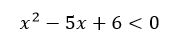
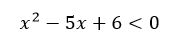
What is the solution set of the inequality ?
|
(-2, 0) |
|
(0, 2) |
|
(0, 3) |
|
(2, 3) |
|
(-3, -2) |
If then the roots are {2, 3}because, a is positive (a=1) and the right side of the root on the sign table is positive (+). So, the solution of
is the interval (2, 3). The answer is D.
12.Soru
f : R › R, f(x) = 2 + 3 x3 ; g : R › R , g(x) = -x + 1. (g ° f)(-1) = ?
|
10 |
|
-1 |
|
-3 |
|
26 |
|
2 |
y = -(2 + 3 x3) + 1 = 2 . Correct answer is E.
13.Soru
Given sets A = {1, 5, 7, 9}, B = {2, 5, 7}. Find the difference A \ B?
|
{1, 9} |
|
{2, 9} |
|
{5, 7} |
|
{1, 2, 5} |
|
{5, 7, 9} |
A \ B = {1, 9}.
14.Soru
Which of the following is not an exponential function?
|
f(x)=x3 |
|
f(x)=4x |
|
f(x)=(0.5)x |
|
f(y)=(5/2)y |
|
f(x)=10x |
The form of the exponential functions is f(x)=ax for all values of a other than 1. So f(x)=x3 is not an exponential function.
15.Soru
The graph of f :R›R is given below. According to this, what is the value of 2f (0) ?
|
-2 |
|
2 |
|
4 |
|
-4 |
|
8 |
for x=0 y=-2 then 2f(0)=2.-2=-4
16.Soru
What is the solution of log749?
|
5 |
|
4 |
|
3 |
|
2 |
|
1 |
log749=2
The correct answer is D.
17.Soru
(4-1 – 3-1)- 1 / (4-1 + 3-1)-1 = ?
|
-1 / 7 |
|
-7 / 4 |
|
-3 / 7 |
|
-7 / 3 |
|
-7 |
x = ((1 / 4) – (1 / 3))-1 / ((1 / 4) + (1 / 3))-1 = -7 . pg. 11. Correct answer is E.
18.Soru
Which power of 7 is between 2000 and 2500
|
8 |
|
7 |
|
6 |
|
5 |
|
4 |
7*7*7*7=2401; so 74=2401
The correct answer is E.
19.Soru
What is the solution of log216?
|
2 |
|
3 |
|
4 |
|
5 |
|
6 |
log216=4
The correct answer is C.
-
- 1.SORU ÇÖZÜLMEDİ
- 2.SORU ÇÖZÜLMEDİ
- 3.SORU ÇÖZÜLMEDİ
- 4.SORU ÇÖZÜLMEDİ
- 5.SORU ÇÖZÜLMEDİ
- 6.SORU ÇÖZÜLMEDİ
- 7.SORU ÇÖZÜLMEDİ
- 8.SORU ÇÖZÜLMEDİ
- 9.SORU ÇÖZÜLMEDİ
- 10.SORU ÇÖZÜLMEDİ
- 11.SORU ÇÖZÜLMEDİ
- 12.SORU ÇÖZÜLMEDİ
- 13.SORU ÇÖZÜLMEDİ
- 14.SORU ÇÖZÜLMEDİ
- 15.SORU ÇÖZÜLMEDİ
- 16.SORU ÇÖZÜLMEDİ
- 17.SORU ÇÖZÜLMEDİ
- 18.SORU ÇÖZÜLMEDİ
- 19.SORU ÇÖZÜLMEDİ