Mathematics 1 Ara 9. Deneme Sınavı
Toplam 18 Soru1.Soru
A bacteria population increases exponentially. At t = 0, its population is 50. At t = 1 hour, its population is 250. At t = 4 hours, what is its population ?
|
3.125 |
|
10.000 |
|
6.500 |
|
2.500 |
|
7.750 |
P(t) = P0 ek t ; P(0) = P0 = 50 ; P(1) = 50 ek 1 = 250 ; ek = 5 ; ln ek = ln 5 ; k = ln 5 ; x = 50 e(ln5) 4 ; a = ln 54 ; x = 50 ea = 50 54 = 10 55 = 3.125. Correct answer is A.
2.Soru
Among the numbers 7/12, 3/5, 11/15, 14/20, and 23/30 which is the greatest number?
|
7/12 |
|
3/5 |
|
11/15 |
|
14/20 |
|
23/30 |
Extend the given fractions to the common denominator 60.
Then we find that 7/12 =35/60, 3/5 = 36/60, 11/15 = 44/60, 14/20 = 42/60, and 23/30 = 46/60. The greatest number among these is, therefore, 23/30.
3.Soru
|
25 |
|
50 |
|
60 |
|
80 |
|
100 |
4 x 25= 100
Correct answer is E.
4.Soru
Given that f : R›R, f (x) = 7x - 3 which of the following is f –1(x) ?
|
(x-3)/7 |
|
(x+3)/7 |
|
7x+3 |
|
7x-3 |
|
(x+7)/3 |
f (x) = 7x - 3 and f –1(x)=(x+3)/7
5.Soru
How many different functions can be defined from a set of 5 elements to a set of 9 elements?
|
5 |
|
9 |
|
45 |
|
59 |
|
95 |
Constant functions map every element from their domain to the same element of the range. We may therefore define a constant function for every element in the range. Since there are 9 different elements in the range we may write 9 different constant functions.
6.Soru
(351/2 / 51/2) . (700)1/2 = ?
|
90 |
|
80 |
|
50 |
|
60 |
|
70 |
x = ((7 . 5)1/2 / 51/2) . (7 . 100)1/2 = 70. Correct answer is E.
7.Soru
- A ? B = (–2, 6)
- A ? B = (1, 5)
- A \ B = (-2, 1]
Let A = (-2, 5), B = (1, 6) be open intervals. Which of the statements above are correct?
|
I |
|
I and II |
|
I and III |
|
II and III |
|
I, II and III |
Let A = (-2, 5), B = (1, 6) be open intervals. Find A ? B, A ? B, and A \ B.
A ? B = (–2, 6), A ? B = (1, 5), A \ B = (-2, 1]
As also understood from the information given, the correct answer is E. All of the statements in the options are correct.
8.Soru
What is the inverse of the function f(x)=6x-5 ?
|
6x-5 |
|
(2x-5)/12 |
|
(2x+5)/12 |
|
(x-5)/6 |
|
(x+5)/6 |
6x-5=y›(y+5)/6=x›f-1(x)=(x+5)/6
10.Soru
Given that x is a real number and f is given by the rule f (x) = (2x - 12)1/2 , which of the following sets is the largest domain of the definition of f ?
|
(-∞, -1] |
|
(-∞, -6] |
|
(-∞, 6] |
|
[6, ∞) |
|
[1, ∞) |
In order for the square root to make sense, the argument (the terms inside the square root) should not be negative. (2x - 12)1/2 is the square root of 2x - 12. Therefore, the inequality 2x–12 ≥ 0 should be satisfied. This means that x ≥ 6 must be satisfied. Hence, the largest domain of definition of f is [6, ∞).
11.Soru
What is the solution set of the inequality 5x+25≥0?
|
(-∞, 5) |
|
(-∞, 5] |
|
(-∞, -5] |
|
[5, ∞) |
|
[-5, ∞) |
5x+25≥0
5x ≥ -25
x ≥ - 5
12.Soru
Which of the following is a polynomial of degree 3?
|
f(x)=3 |
|
f(x)=3x |
|
f(x)=x3+3 |
|
f(x)=x/3 |
|
f(x)=3x |
The exponent of x must be 3 for a 3rd degree polynomial. So the answer is C.
13.Soru
Which of the following equations has the solution set (0,2)?
|
x2-2x=0 |
|
x2+2x=0 |
|
x2-2x+2=0 |
|
x2-2x+1=0 |
|
x2=0 |
if x=0 and x=2 are the roots of the equation then we can write x(x-2)=0, so x2-2x=0
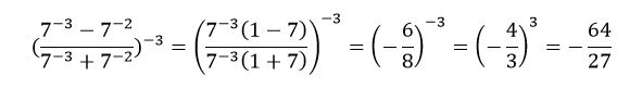
14.Soru
Evaluate ?
|
15/37 |
|
27/64 |
|
-36/27 |
|
-27/64 |
|
-64/27 |
The answer is E.
16.Soru
Given that a < b < c and all a, b, and c are real numbers, which of the following equals to the expression |b - a| + |a - c| ?
|
b + c |
|
-2a +b + c |
|
a + c |
|
2a - b + c |
|
b - c |
From the definition of the absolute value |b – a| = b – a since a < b and |a – c| = c - a since a < c. Therefore |b – a| + |a – c| = b – a + c – a = -2a + b + c.
17.Soru
- s(A ? B) = 13
- s(A) + s(B) – s(A ? B) = s(A ? B)
- s(B \ A) = 13
- s(A \ B) = 7
For given sets A and B assume that s(A) = 20, s(B) = 26 and s(A ? B) = 33. Which of the statements regarding to the sets A and B are correct?
|
I and II |
|
I and III |
|
II and IV |
|
I, III and IV |
|
I, II, III and IV |
Example
For given sets A and B assume that s(A) = 10, s(B) = 16 and s(A ? B) = 23. Find s(B \ A).
Solution
s(A ? B) = s(A) + s(B) – s(A ? B) = 10 + 16 – 23 = 3. Therefore s(A \ B) = 7 and s(B \ A) = 13
As also understood form the solution given for the example, all of the statements in the options are correct, so the correct answer is E.
s(A ? B) = s(A) + s(B) – s(A ? B) = 20 + 26 – 33 = 13. Therefore s(A \ B) = 7 and s(B \ A) = 13.
18.Soru
Which of the following is the solution set of x2 - 8x + 16 = 0?
|
Ø |
|
{–4, 2} |
|
{4} |
|
{–4} |
|
{–2, 2} |
x2 - 8x + 16 = 0
(x-4)2 = 0
x-4 = 0
x = 4
-
- 1.SORU ÇÖZÜLMEDİ
- 2.SORU ÇÖZÜLMEDİ
- 3.SORU ÇÖZÜLMEDİ
- 4.SORU ÇÖZÜLMEDİ
- 5.SORU ÇÖZÜLMEDİ
- 6.SORU ÇÖZÜLMEDİ
- 7.SORU ÇÖZÜLMEDİ
- 8.SORU ÇÖZÜLMEDİ
- 9.SORU ÇÖZÜLMEDİ
- 10.SORU ÇÖZÜLMEDİ
- 11.SORU ÇÖZÜLMEDİ
- 12.SORU ÇÖZÜLMEDİ
- 13.SORU ÇÖZÜLMEDİ
- 14.SORU ÇÖZÜLMEDİ
- 15.SORU ÇÖZÜLMEDİ
- 16.SORU ÇÖZÜLMEDİ
- 17.SORU ÇÖZÜLMEDİ
- 18.SORU ÇÖZÜLMEDİ