Mathematics 1 Final 10. Deneme Sınavı
Toplam 19 Soru3.Soru
The demand for A is q = 600 – 0.02 p2 , (0 ? p ? 250). Which of the following is the value of p for which the demand is of unit elastic ?
|
60 |
|
80 |
|
100 |
|
75 |
|
45 |
Ep = |(p / q) (dq / dp)| = 1 for unit elastic ; dq / dp = -0.04 p ; Ep = |(p / (600 – (0.02 p2))) (-0.04 p)| = 1 ; p / (600 – (0.02 p2)) (-0.04 p) = 1 ; 0.04 p2 / (600 – 0.02 p2) = 1 ; 0.06 p2 = 600 ; p2 = 10.000 ; p = 100 . pg. 166. Correct answer is C.
4.Soru
A company produces a certain item whose demand function is
and supply function is
For what values of x is there a market shortage?
|
|
|
|
|
|
|
|
|
|
We first find the equilibrium point by equating the supply and demand functions. Therefore, the equality
gives
Since there will be a shortage in the market, to the left of this point the correct answer is
5.Soru
The demand function of a product is given by p=100-4x, and the supply function is p=1/2x-10. Which of the following is the equilibrium price?
|
11/9 |
|
3 |
|
5 |
|
20/9 |
|
10/9 |
Writing the demand function for x as x=25-1/4p, and writing the supply as x=2p+20 the equilibrium price may be found as
25-1/4p=2p+20
which is written as
25-20=2p+1/4p
and the price is found as
p=20/9. Therefore, the answer is D.
6.Soru
If demand is of unit elasticity,______________
|
Ep=0 |
|
Ep=1 |
|
Ep>1 |
|
Ep<1 |
|
Ep<0 |
If demand is of unit elasticity, i.e. |Ep|=1, revenue is unaffected by a small change in price.
7.Soru
What is the slope of the tangent line to the curve y=x3 at point (-1, -1)?
|
3 |
|
-3 |
|
2 |
|
-2 |
|
1 |
If we denote the slope of the curve with m, then:
8.Soru
What is the second derivative of the function f(x)=e3x ?
|
e3x |
|
3e2x |
|
6e2x |
|
6ex |
|
9e3x |
f(x)=e3x
f'(x)=3e3x
f(x)=9e3x
9.Soru
What is the shortest distance from point (3,5) to the x=y line?
|
0.5 |
|
0.8 |
|
1 |
|
√2 |
|
√3 |
We can find the shortest distance by drawing.
So the distance between points A and B is √2
10.Soru
A company produces a certain item whose demand function is p=-4x+150, and supply function is p=6x-275. For what values of x is there a market shortage?
|
x>42,5 |
|
x<42,5 |
|
x<21 |
|
x>21 |
|
x<47,5 |
We first find the equilibrium point by equating the supply and demand functions. Therefore, the equality
-4x+150=6x-275, x=42,5. Because there will be a shortage in the market, to the left of this point the correct is x<42,5. Therefore, the answer is B.
11.Soru
The motion of a particle is given by the function f(t) = 2t2 – t Find its velocity at the instant t = 3.
|
4 |
|
8 |
|
10 |
|
11 |
|
12 |
velocity at time t=limh›0 (f(t+h)-f(t))/h
since f(t) = 2t2 – t:
limh›0 (f(t+h)-f(t))/h=((2(t+h)2-(t+h))-(2t2-t))/h
=limh›0 (2t2+2h2 +4th-t-h-2t2+t)/h
=limh›0 (2h2 +4th-h)/h
=h(2h+4t-1)/h
=2h+4t-1
And for t=3 and h=0;
2h+4t-1=11
12.Soru
The demand equation for the firm Comp-M is p(x)=150-2x and the cost function is C(x)=120+60x-x2 for 0?x?40. If the government imposes a tax of 4 TL per unit quantity produced on Comp-M, what is the price that maximizes the profit?
|
32 |
|
43 |
|
64 |
|
128 |
|
150 |
Since P(x)=R(x)-C(x), according to the given information we can write P(x)=(150-2x)x-(120+60x-x2 )=-x2+90x-120. Now, since there is an extra of 4 TL tax the modified profit function is P(x)=-x2+(90-4)x-120=-x2+86x-120. The price that maximizes the profit is where the derivative is zero, i.e., P' (x)=-2x+86=0 which is x=43 TL. We insert this value in the price so that p(43)=150-2·43=64 TL.
13.Soru
|
|
|
|
|
|
|
|
|
|
The equilibrium point of given demand and supply functions is the point (4,5). Therefore, we must look for this point for graphs. Correct answer is B.
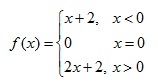
14.Soru
If f: R›R,then, which of the following is true?
|
The function has removable discontinuity at x=0 |
|
The limit of f(x) does not exist at x=0 |
|
The value limit of the function is 2 at x=-1 |
|
The value limit of the function is 6 at x=7 |
|
The function is discontinuous at x=-5 |
16.Soru
A company has a new product and they predict their demand function for this product as a;
and supply function as a;
What is the market price for this product would be?
|
45 |
|
75 |
|
135 |
|
180 |
|
240 |
The price of a product at the intersection point, provided that it is in the first quadrant, is called market price. Equate the supply and demand function giving;
x is found as 30. When we put it on the demand or supply equation, we find market price as 135.
17.Soru
Which of the following is the slope of the graph of y=x3-x2-x+7 at the point x=1?
|
-2 |
|
-1 |
|
0 |
|
1 |
|
2 |
18.Soru
What is the second derivative(f''(x)) of the function f(x)=x2+lnx-1?
|
2-(1/x2) |
|
2x+(1/x) |
|
2x-(1/x) |
|
2+(1/x2) |
|
2x-1 |
f(x)=x2+lnx-1
f'(x)=2x+(1/x)
f''(x)=2-(1/x2)
19.Soru
For x›0 and y›0 find lim(x2+3y2)/(x2-3y2).
|
0 |
|
1 |
|
1/3 |
|
-2 |
|
The limit does not exit |
If we substitute x=0 and y=0 the result is 0/0 which is undefined. So we will arbitrarirly take y=kx.
Then:
(x2+3y2)/(x2-3y2)=(x2+3k2x2)/(x2-3k2x2)=x2(1+3k2)/x2(1-3k2)=(1+3k2)/(1-3k2)
The result depends on the value of k. For instance if k=2 result is -13/11, but if k=4 result is -49/47.
Therefore the limit does not exit.
-
- 1.SORU ÇÖZÜLMEDİ
- 2.SORU ÇÖZÜLMEDİ
- 3.SORU ÇÖZÜLMEDİ
- 4.SORU ÇÖZÜLMEDİ
- 5.SORU ÇÖZÜLMEDİ
- 6.SORU ÇÖZÜLMEDİ
- 7.SORU ÇÖZÜLMEDİ
- 8.SORU ÇÖZÜLMEDİ
- 9.SORU ÇÖZÜLMEDİ
- 10.SORU ÇÖZÜLMEDİ
- 11.SORU ÇÖZÜLMEDİ
- 12.SORU ÇÖZÜLMEDİ
- 13.SORU ÇÖZÜLMEDİ
- 14.SORU ÇÖZÜLMEDİ
- 15.SORU ÇÖZÜLMEDİ
- 16.SORU ÇÖZÜLMEDİ
- 17.SORU ÇÖZÜLMEDİ
- 18.SORU ÇÖZÜLMEDİ
- 19.SORU ÇÖZÜLMEDİ