Mathematics 1 Final 3. Deneme Sınavı
Toplam 19 Soru1.Soru
Which of the following gives the average velocity of a particle in time interval (t1, t2) if its' position at time t is defined by f(t)?
|
(f(t2)+f(t1))/(t2+t1) |
|
(f(t2)-f(t1))/(t2-t1) |
|
(f(t2)-f(t1))/(t2+t1) |
|
(f(t2)+f(t1))/(t2-t1) |
|
f(t2)/t2-f(t1)/t1 |
Average velocity could be found by dividing the position difference to the time difference.
3.Soru
What is the domain of the function f(x,y)=√(x2-4y2)
|
x≥2y ∩ x≥-2y |
|
x≥y ∩ x≥-2y |
|
x≥2y U x≥-2y |
|
2x≥y ∩ x≥-2y |
|
x=0, y=0 |
Since negative numbers do not have square roots,x2-4y2 must be non-negative. Thus:
x2-4y2≥0
(x-2y)(x+2y)≥0
This can be true only if both (x-2y) and (x+2y) are non-negative or both are non-positive.
I. First we take the first case (both are non-negative).
Thus:
x-2y≥0 which means x≥2y
x+2y≥0 which means x≥-2y
Thus the solution set is x≥2y ∩ x≥-2y
II. Now we take the second case (both are non-positive)
Thus:
0≥x-2y which means 2y≥x
0≥x+2y which means -2y≥x
This can only be true when x=y=0, which is included in the solution set of case 1.
Thus the answer is x≥2y ∩ x≥-2y
4.Soru
What is the shortest distance between the point P(0, 2) and the line y = x ?
|
2 |
|
2-1/2 |
|
23/2 |
|
2-1 |
|
21/2 |
22 = (d1)2 + (d2)2 = ((x1)2 + (y1)2)+ ((x1)2 + (2 - y1)2) = ((x1)2 + (x1)2) + ((x1)2 + (2 - x1)2) = (2 (x1)2) + ((x1)2 + 4 – 4 (x1) + (x1)2) = 4 (x1)2 + 4 – 4 (x1) ; 4 (x1)2 – 4 (x1) = 0 ; x1 = 1
y1 = 1 ; d2 = 21/2 . pg. 193. Correct answer is E.
6.Soru
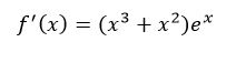
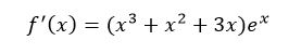
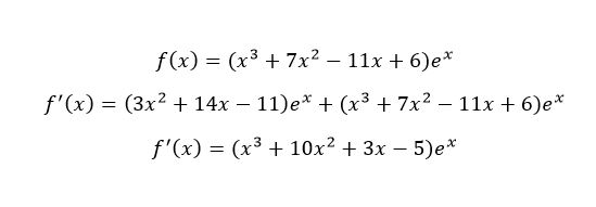
For the function , find the derivative function f'(x)?
|
|
|
|
|
|
|
|
|
|
The answer is D.
7.Soru
Let f :R›R, f (x) = x-1 and g :R›R, g(x) = 2x -1 be given. What is the value of (f.g)(3) =?
|
-3 |
|
3 |
|
5/3 |
|
7/3 |
|
-8/3 |
(f.g)(3) =f(3).g(3)=3-1.2.3-1=3-1.5=5/3
8.Soru
Which of the following functions is monotone increasing in interval (-?, +?) | x ?0?
|
f(x)=x6 |
|
f(x)=2x3 |
|
f(x)=-2x4 |
|
f(x)=5x2 |
|
f(x)=10x8 |
f(x)=x3
f '(x)=3x2>0 for all values of x other than x=0.
For all other functions f '(x)<0 for (-?,0) and f '(x)>0 for x>0.
9.Soru
- The sets A = {4, 8, 11, 15} and B = {8, 15, 4 ,11} are the same.
- The empty set Ø is a subset of any set.
- The equality A = B is equivalent to two inclusions: A ? B and B ? A.
- The set of elements that are in either A or B or both is called the union of the sets A and B and is denoted by A ? B.
- x ? A ? B if and only if x ? A and x ? B.
- If A ? B = Ø then the sets A and B are called disjoint sets.
- Universal set is unique.
Which of the statements above regarding to sets are correct?
|
I, II and IV |
|
II, IV, V and VI |
|
III, IV, V, VI and VII |
|
I, II, III, IV, V and VI |
|
II, III, IV, V, VI and VII |
The statements regarding to sets in the options;
I “The sets A = {4, 8, 11, 15} and B = {8, 15, 4 ,11} are the same.”
II “The empty set Ø is a subset of any set.”
III “The equality A = B is equivalent to two inclusions: A ? B and B ? A.”
IV “The set of elements that are in either A or B or both is called the union of the sets A and B and is denoted by A ? B.”
V “x ? A ? B if and only if x ? A and x ? B.”
VI “If A ? B = Ø then the sets A and B are called disjoint sets.” are correct, so the correct answer is D.
The statement in the option VII “Universal set is unique.” is not correct. Universal set is not unique. It varies depending on the problem.
10.Soru
On which interval is the function f(x)=x3+3x2+5 decreasing?
|
|
|
|
|
(1,2) |
|
(-2,0) |
|
(0,2) |
11.Soru
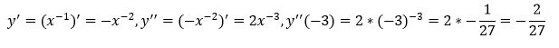
Given function , find the second derivative
|
1/4 |
|
3/4 |
|
-1/27 |
|
-2/27 |
|
0 |
The answer is D.
12.Soru
The mobile phone manufacturer BestPhone predicts that the demand to their brand new smartphone will be 5000 units if its price is set to 3000 TL, and the demand will be 6000 units if the price is reduced 500 TL per item. What is the slope of demand function?
|
1/2 |
|
-1/2 |
|
1 |
|
1/4 |
|
-1/4 |
The slope of the demand function is
So, we find the slope as (2500-3000)/(6000-5000)=-1/2.
13.Soru
Suppose that the olive oil firm Zeytindali supplies 300 bottles onto the market when the price is 100 TL They provide 500 bottles when the price goes upto 150 TL. What is the slope of the supply function?
|
1/2 |
|
-1/2 |
|
1 |
|
1/4 |
|
-1/4 |
The slope of the demand function is
If x denotes the quantity of supply, and p is the price then we can
write (x1, p1)=(300,100) and (x2,p2)=(500,150). So, the slope is equal to 50/200=1/4.
14.Soru
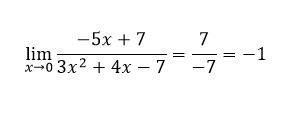
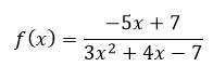
What is the limit of the function at x=0?
|
0 |
|
-1 |
|
1 |
|
-2 |
|
-5 |
The answer is B.
15.Soru
What is the value of ?
|
3/5 |
|
1/5 |
|
6/5 |
|
5 |
|
7/5 |
. The answer is C.
16.Soru
What is the partial derivative fx of the function f(x, y)=5x2+xy-y2?
|
5x+y |
|
5x-2y |
|
10x+y |
|
10x-2y |
|
5+xy |
f(x, y)=5x2+xy-y2
fx=10x+y (since the derivative of y2 is zero)
17.Soru
What is the slope (f'(x)) of function f(x)=2x3-3x2+4x-3 at the point x=2?
|
18 |
|
16 |
|
12 |
|
9 |
|
4 |
If f(x)=2x3-3x2+4x-3, then f'(x)=6x2-6x+4. And for x=2 f'(x)=16
18.Soru
The fixed costs of a product is 8000 TL, variable cost for one unit is 3 TL and the selling price of the product is 7 TL. Which of the following is the break-even point?
|
400 |
|
800 |
|
1200 |
|
1600 |
|
2000 |
Break-even point is the point where the total cost and the total revenue are equal (C(x)=R(x)).
19.Soru
Which of the following can be the function of the graph below?
|
f(x)=x2+5x |
|
f(x)=x2-5x+6 |
|
f(x)=x2+5x+6 |
|
f(x)=x2+5x-6 |
|
f(x)=x2-6 |
The graph tells us that the equation has 2 positive roots. The equation in A has two roots which are 0 and -5. The equation in C has two roots which are -3 and -2. The equation in D has two roots which are -6 and 1. The equation in E has 2 roots which are -?6 and ?6.
Finally the equation in B has 2 roots which are 2 and 3. Thus only this equation has 2 positive roots.
-
- 1.SORU ÇÖZÜLMEDİ
- 2.SORU ÇÖZÜLMEDİ
- 3.SORU ÇÖZÜLMEDİ
- 4.SORU ÇÖZÜLMEDİ
- 5.SORU ÇÖZÜLMEDİ
- 6.SORU ÇÖZÜLMEDİ
- 7.SORU ÇÖZÜLMEDİ
- 8.SORU ÇÖZÜLMEDİ
- 9.SORU ÇÖZÜLMEDİ
- 10.SORU ÇÖZÜLMEDİ
- 11.SORU ÇÖZÜLMEDİ
- 12.SORU ÇÖZÜLMEDİ
- 13.SORU ÇÖZÜLMEDİ
- 14.SORU ÇÖZÜLMEDİ
- 15.SORU ÇÖZÜLMEDİ
- 16.SORU ÇÖZÜLMEDİ
- 17.SORU ÇÖZÜLMEDİ
- 18.SORU ÇÖZÜLMEDİ
- 19.SORU ÇÖZÜLMEDİ