Mathematics 1 Final 5. Deneme Sınavı
Toplam 20 Soru1.Soru
For the function f(x)=-x²+13x-27 find the derivative at the point x=5.
|
1 |
|
3 |
|
8 |
|
21 |
|
63 |
f(x)=-x²+13x-27
f'(x)=-2x+13
f'(5)=-2.5+13=3.
2.Soru
While approaching from the right limx→-2 |x + 2| / (x + 2) = ?
|
-1 |
|
does not exist |
|
1 |
|
0 |
|
∞ |
(x + 2) / (x + 2) = 1 . pg. 109. Correct answer is C.
3.Soru
A furniture manufacturer company sells its new product for 500 TL per item. Total cost consists of a fixed cost of 12000 TL, and the
production cost of 300 TL per item. What is the break-even point?
|
120 |
|
150 |
|
180 |
|
240 |
|
300 |
The break-even point is the point at which cost or expenses and revenue are equal: so;
Cost: 300x+12000
Revenue : 500x
300x+12000=500x, then x=120.
4.Soru
What is the limit of the function f(x) = ( x-7 / x - 5) at x = 5?
|
5 |
|
7 |
|
+∞ |
|
-∞ |
|
does not exist. |
limx→5- ( x-7 / x - 5) = -2 / 0- = +∞.
limx→5+ ( x-7 / x - 5) = -2 / 0+ = -∞.
The limit of the function at x = 5 does not exist due to the different behaviour of one-sided limits.
6.Soru
Which of the statements given is true for the local extreme points of the function x3 + 2x2 - 4x ?
|
x=-2 is a local minimum |
|
x=2/3 is a local maximum |
|
x=-2 is a local minimum and x=2/3 is a local maximum |
|
x=-2 is a local maximum and x=2/3 is a local minimum |
|
x=-2 is a local maximum, x=2/3 is a local minimum and x=2 is a local minimum |
For the function x3 + 2x2 - 4x the derivative is equal to 3x2 + 4x - 4 and the second derivative is equal to 6x + 4. If we equal the derivative functions to zero we would have 3x2 + 4x - 4=0 is (3x-2)(x+2)=0 x will be equal to -2 and 2/3, these are the critical points. When we plug each one to the second derivative we will find 6(-2)+4=-8 and 6(2/3)+4=8. -8<0 which makes x=-2 a local maximum and 8>0 which makes x=2/3 a local minimum. The answer is D.
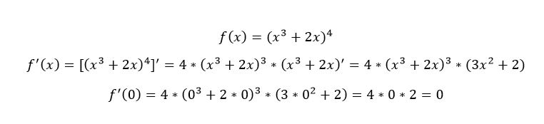
7.Soru
Given the function , find the derivative
at the point x=0.
|
-1 |
|
-3 |
|
0 |
|
3 |
|
4 |
The answer is C.
8.Soru
What is the half-life of a radioactive substance if 90% of the initial amount remains at the end of 25 years ?
|
50 (ln 0.5) ln 0.9 |
|
75 (ln 0.9) / ln 0.5 |
|
25 (ln 0.5) / ln 0.9 |
|
100 ln (0.5 / 0.9) |
|
150 ln (0.9 / 0.5) |
Q(t) = Q0 ek t ; 0.9 Q0 = Q0 ek 25 ; ln 0.9 = k 25 ; k = (ln 0.9) / 25 ; 0.5 Q0 = Q0 e((ln 0.9) / 25) t ; ln 0.5 = ((ln 0.9) / 25) t ; t = 25 (ln 0.5) / ln 0.9 . Correct answer is C.
9.Soru
((5-1 + 2-1)- 1 / (5-1 – 2-1))- 1 = ?
|
-3 / 7 |
|
-7 / 3 |
|
3 / 7 |
|
7 / 3 |
|
21 / 10 |
x = ((1 / 5) + (1 / 2))-1 / ((1 / 5) – (1 / 2))-1 = -3 / 7. Correct answer is A.
10.Soru
The demand function of A is p = 1.200 – 3 x, and the supply function of A is p = 5 x – 400. Which of the following is the equilibrium price ?
|
600 |
|
500 |
|
400 |
|
300 |
|
200 |
p : price ; x : quantity ; at equilibrium : 1.200 – 3 x = 5 x – 400 ; 1.600 = 8 x ; x = 200 ; p = 600. pg. 160. Correct answer is A.
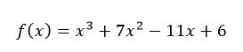
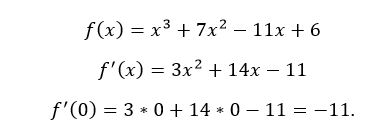
11.Soru
For the function, find the derivative f'(x), at the point x=0?
|
11 |
|
-11 |
|
6 |
|
11 |
|
14 |
The answer is B.
12.Soru
If f(x,y)=5+e-3y+x.lnx
What is the partial derivative ?f/?x= ?
|
e-3x |
|
e-3x / lnx |
|
lnx+1 |
|
-3y.lnx |
|
-3e-3y+x.lnx |
f(x,y)=5+e-3y+x.lnx
?f/?x=(x.lnx)'=x'.lnx+x.lnx'
=lnx+1
13.Soru
|
0 |
|
1 |
|
-1 |
|
∞ |
|
does not exist |
The function is a rational function. Since the degree of the numerator is greater than the degree of the denominator, the following result is;
14.Soru
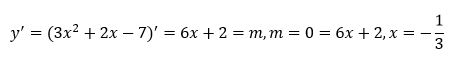
At which point on the graph of the function the slope is zero?
|
1/3 |
|
-2/3 |
|
0 |
|
-1/3 |
|
-1 |
The answer is D.
15.Soru
limx→-∞ (-x26 + 1) / (x25 + x24 – 1) = ?
|
1 |
|
-1 |
|
∞ |
|
does not exist |
|
-∞ |
∞ ; Since the degree of the numerator is greater than the degree of the denominator. pg. 114. Correct answer is C.
16.Soru
Find the 3rd derivative of f(x)=x3+lnx. (f'''(x)=?)
|
6+2/x3 |
|
6-2/x3 |
|
6x-(1/x)2 |
|
6x+(1/x)2 |
|
6-1/x |
f(x)=x3+lnx
f '(x)=3x2+1/x
f ''(x)=6x-(1/x)2
f '''(x)=6+2/x3
17.Soru
If demand is elastic, which of the followings is correct?
|
|Ep|<1, revenue R increases as price p increases. |
|
|Ep|>1, revenue R(p)=p q(p) decreases as price p increases. |
|
|Ep|<1, revenue R decreases as price p increases. |
|
|Ep|>1, revenue R(p)=p q(p) increases as price p increases. |
|
|Ep|=1, revenue is unaffected by a small change in price. |
If demand is elastic, i.e. |Ep|>1, revenue R(p)=p q(p) decreases as price p increases.
If demand is inelastic, i.e. |Ep|<1, revenue R increases as price p increases.
If demand is of unit elasticity, i.e. |Ep|=1, revenue is unaffected by a small change in
price.
18.Soru
A company produces a certain item whose demand function is p(x)=10x-150, and supply function is q(x)=5x-100. For what values of x is there a market shortage?
|
x<10 |
|
B) x<15 |
|
C) x<20 |
|
D) x>10 |
|
E) x>15 |
The market is in equilibrium when supply and demand are equal. So, equation these we find 10x-150=5x-100 from which we find x=10. Therefore, there will be market shortage when x<10.
19.Soru
limx→0 00 = ?
|
0 |
|
1 |
|
∞ |
|
does not exist |
|
-1 |
1 ; limit of a constant is itself. pg. 107. Correct answer is B
20.Soru
limx›-1 (x3 – x0) (x – 1) = ?
|
5 |
|
-1 |
|
2 |
|
0 |
|
4 |
(-1 – 1) (-1 – 1) = 4. pg. 110. Correct answer is E.
-
- 1.SORU ÇÖZÜLMEDİ
- 2.SORU ÇÖZÜLMEDİ
- 3.SORU ÇÖZÜLMEDİ
- 4.SORU ÇÖZÜLMEDİ
- 5.SORU ÇÖZÜLMEDİ
- 6.SORU ÇÖZÜLMEDİ
- 7.SORU ÇÖZÜLMEDİ
- 8.SORU ÇÖZÜLMEDİ
- 9.SORU ÇÖZÜLMEDİ
- 10.SORU ÇÖZÜLMEDİ
- 11.SORU ÇÖZÜLMEDİ
- 12.SORU ÇÖZÜLMEDİ
- 13.SORU ÇÖZÜLMEDİ
- 14.SORU ÇÖZÜLMEDİ
- 15.SORU ÇÖZÜLMEDİ
- 16.SORU ÇÖZÜLMEDİ
- 17.SORU ÇÖZÜLMEDİ
- 18.SORU ÇÖZÜLMEDİ
- 19.SORU ÇÖZÜLMEDİ
- 20.SORU ÇÖZÜLMEDİ