Mathematics 1 Final 9. Deneme Sınavı
Toplam 20 Soru1.Soru
What is the derivative of (2x + 1)3 equal to?
|
2 |
|
2(2x + 1)2 |
|
3(2x + 1)2 |
|
6(2x + 1)2 |
|
6(2x + 1)3 |
The Chain Rule: The derivative of composite function f (g(x)) is f'(g(x)) * g' (x). For this question our g(x) = 2x+1. The derivative of (2x + 1)3 yields to 3(2x + 1)2 * 2 which is equal to 6(2x + 1)2 . The answer is D.
2.Soru
3x2 + 5, x < -3
If f : R - {-3} › R, f (x ) = ?-x + 12, x > -3
then which of the following is the the value of limx›-3+ f(x)?
|
3 |
|
-6 |
|
9 |
|
-12 |
|
15 |
Because x approaches -3 from the right side x is more than -3 and for x > -3, f is given by the rule f (x)=–x+12. Hence, the result is as follows.
limx›-3+ f(x) = -(-3) + 12 = 3 + 12 = 15
3.Soru
Which of the following is the local minimum point of the function f (x, y) = x2 + 2 y2 + 2 x + 3 y ?
|
(3, 5) |
|
(-1, -4) |
|
(3 / 5, 1) |
|
(-2, -3 / 4) |
|
(1, 2 / 3) |
?f / ?x = 2x + 2 = 0 ; x = -2 ; ?f / ?y = 4 y + 3 = 0 ; y = -3 / 4 ; a = ?2f / ?x2 = 2 > 0 ; b = ?2f / ?y2 = 2 ; c = ?2f / ?x ?y = 0 ; D = a . b – c2 = 2 . 2 – 0 = 4 > 0 ; pg. 192. Correct answer is D.
6.Soru
A = {2, -3, -4, -5, 6}, B = {1, 3, 5, 7}, C = {1, 2, -2, -3, 3, 5, -5}. (C \ B) ? A = ?
|
{-3, -5} |
|
{2, -3, 6} |
|
{-5, 6, 1} |
|
{2, -3, -4, 6} |
|
{-4, -5} |
x = C \ B = {2, -2, -3, -5} ; x ? A = {-3, -5}. pg. 4. Correct answer is A.
8.Soru
For the function f(x)=-3x+11, find the derivative f'(x) at the point x=0?
|
-3 |
|
0 |
|
11 |
|
-5 |
|
7 |
f'(x)=(-3x+11)'=-3, f'(0)=-3. So, the answer is A.
9.Soru
What is the derivative of the function which is given below?
f(x)=3x.e-5x
|
e-5x |
|
9e-5x |
|
-12e-5x |
|
(1+5x)e-5x |
|
(3-15x)e-5x |
f(x)=3x.e-5x
f'(x)=(3x)'.e-5x+3x.(e-5x)'
f'(x)=3.e-5x+3x.(-5e-5x)
f'(x)=(3-15x)e-5x
10.Soru
Which of the following gives the instantaneous velocity of a particle at time t if its' position at time t is defined by f(t)?
|
limh›0 (f(t+h)+f(t))/h |
|
limh›0 (f(t+h)-f(t))/t |
|
limh›0 (f(t+h)-f(t))/h |
|
limh›0 (f(t-h)-f(h))/h |
|
limh›0 (f(h)-f(t))/h |
The velocity at time t is the derivative of function f(t) at time t which is defined by the limit given in C.
11.Soru
SleepTight company sells its new pillow for 360 TL per item. Total cost consists of a fixed cost of 4800 and the production cost of 120 per unit. What is the break-even point?
|
10 |
|
20 |
|
30 |
|
40 |
|
50 |
The break-even point is where the revenue and cost are equal. Here, revenue is R(x)=360x and the cost is C(x)=4800+120x. Equating them we find 360x=4800+120x and therefore the break-even point is x=20.
13.Soru
What is the largest possible area of a rectangle if its perimeter is 80?
|
800 |
|
600 |
|
400 |
|
300 |
|
200 |
Let x and y be the side lengths of the rectangele. If the perimeter is 80, then 2x+2y=80
x+y=40
y=40-x
The are of the rectangle is A=x*y=x*(40-x)=40x-x2
Since it is a maximization problem the first derivative of the area function (A) must be equal to zero and the second derivative must be negative.
A''(x)=-2<0 (Second derivative rule satisfied)
A'(x)=40-2x=0, 40=2x, 20=x, y=40-x=20 So the area A=20*20=400
14.Soru
A hardware manufacturer company sells its new product for 130 TL per item. Total cost consists of a fixed cost of 4400 TL, and the production cost of 50 TL per item. What is the break-even point?
|
45 |
|
50 |
|
55 |
|
60 |
|
65 |
Let x denote the number of items produced and sold. The total revenue is
R (x) = 130 x
and the total cost is
C (x) = 50 x + 4400
where, now, ?=45. To find the break-even point we equate total cost to total revenue, so
C(x)=R(x)? 50 x+4400=130 x?80 x=4400
so that
x =55
Thus, the manufacturer has to sell at least 55 units to break even, i.e. no profit, or no loss.
15.Soru
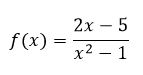
Determine the set of continuity of the function .
|
(-1, 1) |
|
R\{-1, 1} |
|
[-1, 1] |
|
(0, 1) |
|
(-1, 0) |
Since a rational function f is continuous on the domain of its definition, f is continuous on its domain. the is continuous for all real numbers x except -1 and 1. Thus, f is continuous on R\{-1, 1}. The answer is B.
17.Soru
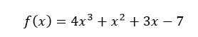
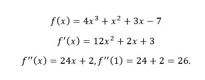
Given the function find the second derivative
at the point x=1.
|
5 |
|
14 |
|
26 |
|
23 |
|
22 |
The answer is C.
18.Soru
Let f: R›R, f(x)=7x+1 and g: R›R, g(x)=x²-1 be given. What is the value of f/g(2)?
|
14/3 |
|
3 |
|
5 |
|
7 |
|
15/2 |
f(2)=7.2+1=15
g(2)=2²-1=4-1=3
f/g(2)=15/3=5
19.Soru
What is the set of continuity of f(x) = 2 x / (x3 – 1) ?
|
(-∞, ∞) |
|
R \ {1} |
|
R |
|
R \ {-1, 1} |
|
R \ {-1} |
R \ {1} ; (x3 – 1) = 0 ; x = 1. pg. 117. Correct answer is B.
20.Soru
f(x) = x-1 + 2 for x < -2 ; f(x) = x-2 + 2 for x > -2 ; while approaching from the right limx›-2 f(x) = ?
|
1.50 |
|
0 |
|
2.25 |
|
2.50 |
|
1.75 |
y = 0.25 + 2 = 2.25. pg. 109. Correct answer is C.
-
- 1.SORU ÇÖZÜLMEDİ
- 2.SORU ÇÖZÜLMEDİ
- 3.SORU ÇÖZÜLMEDİ
- 4.SORU ÇÖZÜLMEDİ
- 5.SORU ÇÖZÜLMEDİ
- 6.SORU ÇÖZÜLMEDİ
- 7.SORU ÇÖZÜLMEDİ
- 8.SORU ÇÖZÜLMEDİ
- 9.SORU ÇÖZÜLMEDİ
- 10.SORU ÇÖZÜLMEDİ
- 11.SORU ÇÖZÜLMEDİ
- 12.SORU ÇÖZÜLMEDİ
- 13.SORU ÇÖZÜLMEDİ
- 14.SORU ÇÖZÜLMEDİ
- 15.SORU ÇÖZÜLMEDİ
- 16.SORU ÇÖZÜLMEDİ
- 17.SORU ÇÖZÜLMEDİ
- 18.SORU ÇÖZÜLMEDİ
- 19.SORU ÇÖZÜLMEDİ
- 20.SORU ÇÖZÜLMEDİ