Mathematics 2 Ara 1. Deneme Sınavı
Toplam 19 Soru1.Soru
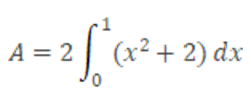
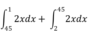
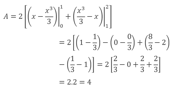
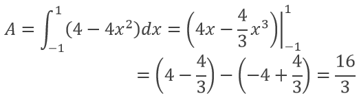
What is the area under the graph of
on the interval
|
|
|
|
|
|
|
|
|
|
The sought for area A is expressed in terms of the definite integral as
Let
and we get
and
With these results inserted in the integration by parts rule we obtain
The correct answer is E.
2.Soru
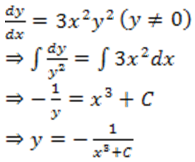
What is the general solution of the differential equation
|
|
|
|
|
|
|
|
|
|
This is a Euler equation so we start from the trial solution
Then we get
and
Substituting these results into the ODE, we obtain the equation in the form
So, the general solution is
The correct answer is C.
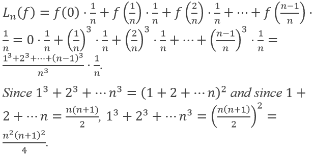
3.Soru
Calculate the upper sum
choosing the partition
of the interval
|
|
|
|
|
|
|
|
|
|
Since
and since
Thus upper sum of corresponding to the given partition is
4.Soru
Calculate the lower sum
choosing the partition
of the interval
|
|
|
|
|
|
|
|
|
|
Thus lower sum of corresponding to given partition is
5.Soru
Which of the following is the value of the integral
|
2 |
|
1 |
|
|
|
e |
|
|
The antiderivative of the integrand is
Therefore the correct answer is the B option.
6.Soru
What is the area of the region between the curve
axis where
|
2 |
|
4 |
|
6 |
|
8 |
|
10 |
Given parabola intersects the
and
The area of the region corresponding to the interval
equals to the area corresponding to
Hence required area is calculated by the definite integral
Because we observe that
and
Thus, we get
The right answer is B.
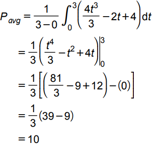
7.Soru
Records indicate that t months after the beginning of the year, the price of rice in ANADOLU-market was
. What was the average price of rice during the first 3 months of the year?
|
6 |
|
7 |
|
8 |
|
9 |
|
10 |
Therefore the correct answer is the E option.
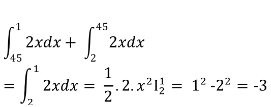
8.Soru
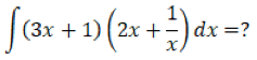
Evaluate the integral
|
-3 |
|
6 |
|
9 |
|
-12 |
|
15 |
the correct answer is A.
9.Soru
If the function
on the interval
then what is the value of
|
12 |
|
7 |
|
37 |
|
56 |
|
46 |
From the linearity of the integral, we find
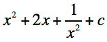
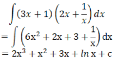
10.Soru
|
2x2+3x+lnx2+c |
|
x3+4x2+lnx+c |
|
|
|
2x3+x2+3x+lnx+c |
|
x3+6x2+ex+c |
Observe that
for any arbitrary real number c.
11.Soru
What is the solution of the initial value problem
|
|
|
|
|
|
|
|
|
|
Then the solution can be written as
If we use the initial condition we get that
Thus, we can write the solution as:
Thus, the correct answer is D.
12.Soru
The Lorenz curve for the distribution of income in a certain country in 1974 is given in the above figure. What is the Gini index for this model?
|
|
|
|
|
|
|
|
|
|
Since
which is given in the graph, the required answer is found as
Therefore the correct answer is the B option.
13.Soru
What is the future value at %25 compounded continuously for 4 years for the continuous income stream with a constant rate of flow
|
|
|
|
|
|
|
|
|
|
As before, we only need to apply the formula for the future value of an income. Since the time period is T = 4 and the interest rate gives r = 0,25, we have
Therefore the correct answer is the B option.
15.Soru
What is the general following solution of
|
|
|
|
|
|
|
|
|
|
Correct answer is E .
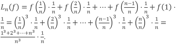
16.Soru
|
|
|
|
|
|
|
|
|
|
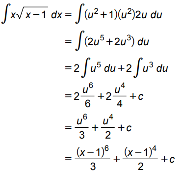
then du=2xdx or 1/2du=xdx. Substituting these values into the question we have
where c is an arbitrary real number.
17.Soru
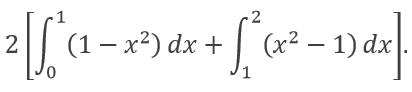
What is the area between the curves
|
|
|
|
|
|
|
|
|
|
We need the intersection points of given curves:
Hence, we have to evaluate the definite integral
on the interval
Therefore required area is evaluated as
that means the right answer is A.
18.Soru
What is the area between the x-axis and the function
over the interval
|
5 |
|
16/5 |
|
14/3 |
|
3 |
|
8/3 |
on the interval
and since the function is even the area A can be calculated by definite integral:
Calculating the integral gives the area as
Hence the correct answer is C.
19.Soru
Records indicate that t months after the beginning of the year, the price of local cheese in BIM-market was
What was the average price of local cheese during the first 4 months of the year?
|
|
|
|
|
|
|
|
|
|
Hence the correct solution is E.
-
- 1.SORU ÇÖZÜLMEDİ
- 2.SORU ÇÖZÜLMEDİ
- 3.SORU ÇÖZÜLMEDİ
- 4.SORU ÇÖZÜLMEDİ
- 5.SORU ÇÖZÜLMEDİ
- 6.SORU ÇÖZÜLMEDİ
- 7.SORU ÇÖZÜLMEDİ
- 8.SORU ÇÖZÜLMEDİ
- 9.SORU ÇÖZÜLMEDİ
- 10.SORU ÇÖZÜLMEDİ
- 11.SORU ÇÖZÜLMEDİ
- 12.SORU ÇÖZÜLMEDİ
- 13.SORU ÇÖZÜLMEDİ
- 14.SORU ÇÖZÜLMEDİ
- 15.SORU ÇÖZÜLMEDİ
- 16.SORU ÇÖZÜLMEDİ
- 17.SORU ÇÖZÜLMEDİ
- 18.SORU ÇÖZÜLMEDİ
- 19.SORU ÇÖZÜLMEDİ