Mathematics 2 Ara 10. Deneme Sınavı
Toplam 20 Soru1.Soru
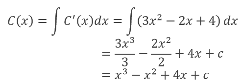
Solve the following ODE (ordinary differential equation)
|
|
|
|
|
|
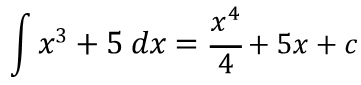
|
|
|
|
2.Soru
The present population of a city is 800.000 and its population grows at a rate proportional to the present population, increases by 10% in 5 years. What will be the population after 12 years?
|
987.800 |
|
995.800 |
|
1.010.500 |
|
1.016.800 |
|
1.116.500 |
3.Soru
Records indicate that
months after the beginning of the year, the price of local milk in market was
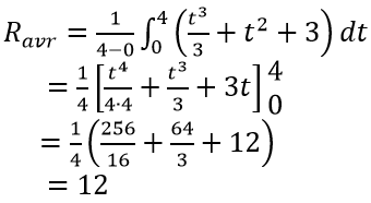
What was the average price of local milk during the first 4 months of the year?
|
|
|
|
|
|
|
|
|
|
Correct answer is E
4.Soru
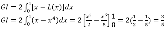
The Lorenz curve for the distribution of income in a certain country in 1986 is given in Figure. What is the Gini index for this mode?
|
|
|
|
|
|
|
|
|
|
Since
which is given in the graph, the reqired answer is found as
Correct answer is C .
5.Soru
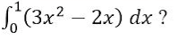
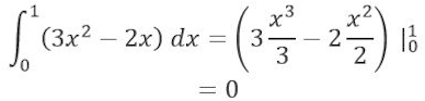
Which of the following is the value of the integral
|
-1 |
|
1 |
|
0 |
|
2 |
|
|
6.Soru
Find the following integral
|
|
|
|
|
|
|
|
|
|
the correct answer is D.
7.Soru
Find the following integral
|
|
|
|
|
|
|
|
|
|
the correct answer is D.
8.Soru
what is the value of the composition
|
-12 |
|
-4 |
|
0 |
|
12 |
|
18 |
We must first find f(3). Since 3 is an odd number f(3)=3-4=-1. And since I-1I=1<5, g(f(3))=g(1)=-4.
9.Soru
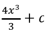
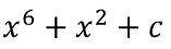
Which of the following functions is the antiderivative of
|
|
|
|
|
|
|
|
|
|
10.Soru
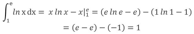
What is the value of
|
-1 |
|
0 |
|
1 |
|
|
|
|
By using the method of integration by parts we take
Therefore, we evaluate the indefinite integral as
Hence we obtain
The right answer is C.
11.Soru
A White goods company produces refrigerators at a number of
units with a marginal cost
If it costs 11200 to produce 10 units of refrigerators, what is the fixed cost?
|
10170 |
|
10230 |
|
10280 |
|
11200 |
|
11230 |
First, we’ll find total cost function by integrating marginal cost:
Since the total cost equals to 11200 to produce 10 units, we get
Thus,
Hence, the total cost function is
and the fixed cost equals to
which yields the right answer is A.
12.Soru
A type of toy is supplied according to the rule
and
units of this toy are sold at a price of 79 TL. What is the produces surplus?
|
200 |
|
250 |
|
300 |
|
350 |
|
400 |
First we have to find
So the producer surplus is evaluated as
Hence the right answer is B.
13.Soru
The demand curve of a certain product is given by
What is the consumer surplus when 16 units of this consume are sold?
|
72 |
|
80 |
|
88 |
|
96 |
|
104 |
The price may be found as
. Using the integral formula for the consumer surplus, we obtain:
Therefore the correct answer is the D option.
14.Soru
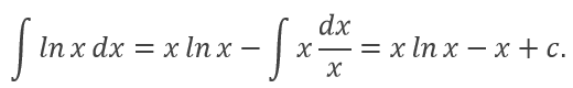
Evaluate the indefinite integral
|
lnxln(lnx)+c |
|
|
|
|
|
|
|
|
15.Soru
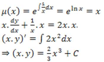
Find the general solution of
|
|
|
|
|
|
|
|
|
|
Integrating factor
The correct answer is E.
16.Soru
Marginal revenue that is obtained from the sale of a product
is given by
If the fixed cost is 326 TL, how many units of
is sold to gain 750 TL?
|
5 |
|
8 |
|
10 |
|
15 |
|
18 |
To obtain total revenue function we integrate the marginal revenue:
The fixed cost is 326 TL, so it is clear that
Hence, the total revenue function is
Since we would like to gain 750 TL, we obtain
which means we have to sell 8 units of
The right answer is B.
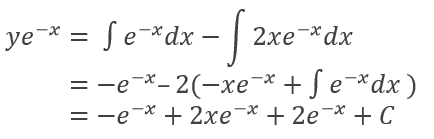
17.Soru
What is the solution of the initial value problem
|
|
|
|
|
|
|
|
|
|
Then
Integrating by parts
so
From initial condition
Thus, the solution
The correct answer is C.
18.Soru
What is the area under the graph of
on the interval
|
|
|
|
|
|
|
|
|
|
The sought for area A is expressed in terms of the definite integral as
Therefore the correct answer is the D option.
19.Soru
Find the general solution of
|
|
|
|
|
|
|
|
|
|
Integrating factor
Therefore
Correct answer is A
20.Soru
Solve the following ODE (ordinary differential equation)
|
|
|
|
|
|
|
|
|
|
-
- 1.SORU ÇÖZÜLMEDİ
- 2.SORU ÇÖZÜLMEDİ
- 3.SORU ÇÖZÜLMEDİ
- 4.SORU ÇÖZÜLMEDİ
- 5.SORU ÇÖZÜLMEDİ
- 6.SORU ÇÖZÜLMEDİ
- 7.SORU ÇÖZÜLMEDİ
- 8.SORU ÇÖZÜLMEDİ
- 9.SORU ÇÖZÜLMEDİ
- 10.SORU ÇÖZÜLMEDİ
- 11.SORU ÇÖZÜLMEDİ
- 12.SORU ÇÖZÜLMEDİ
- 13.SORU ÇÖZÜLMEDİ
- 14.SORU ÇÖZÜLMEDİ
- 15.SORU ÇÖZÜLMEDİ
- 16.SORU ÇÖZÜLMEDİ
- 17.SORU ÇÖZÜLMEDİ
- 18.SORU ÇÖZÜLMEDİ
- 19.SORU ÇÖZÜLMEDİ
- 20.SORU ÇÖZÜLMEDİ