Mathematics 2 Ara 11. Deneme Sınavı
Toplam 20 Soru1.Soru
What is the general solution of
|
|
|
|
|
|
|
|
|
|
Let us consider the trial solution
we can substitute these functions into the equation:
So the general solution is
2.Soru
If the marginal revenue for selling x units of a product is defined by
What is the total revenue if the sale increases from 10 units to 20 units?
|
1200 |
|
1300 |
|
1400 |
|
1500 |
|
1600 |
The total revenue function can be found by integrating the marginal revenue function, thus we have
Now, we should calculate R(20)-R(10).
3.Soru
The marginal revenue obtained from the sale of product Z is given by R'(x)=2x-24. If the fixed cost is 180TL, how many units Z should be sold to gain 36TL?
|
10 |
|
12 |
|
20 |
|
24 |
|
30 |
If we integrate the marginal revenue, we obtain the total revenue. So,
Since the fixed cost 180TL, we find that c=180. If we denote the quantity to be sold to gain 36TL by q0 then we arrive at the equality:
4.Soru
Let
is the continuous function and
Which of the following is the value of the integral
|
1 |
|
5 |
|
7 |
|
12 |
|
13 |
By using the property of definite integral, we can write
then we get
Then the correct answer is B.
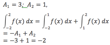
5.Soru
|
|
|
|
|
|
|
|
|
|
Therefore the correct answer is the E option.
6.Soru
evaluate the upper Riemann sum for the partition
|
|
|
|
|
1 |
|
2 |
|
|
Using the points 0, , 1, let us divide the interval
into two subintervals ,
has a maximum value Mi on the each subinterval. That is
7.Soru
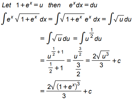
Evaluate the integral
|
15 |
|
5 |
|
25 |
|
50 |
|
100 |
the correct answer is A.
8.Soru
If the supply function of a certain commodity is given by
what is the producer surplus when the price is 9TL ?
|
|
|
|
|
|
|
|
|
|
We first calculate the quantity when the price is 9TL. Using the supply function, we find
which gives q = 2. Inserting the given values in the formula
we obtain
Hence the correct answer is D.
9.Soru
What is the result of
|
ln(16x)+c |
|
ln(8x2)+c |
|
ln(8x2+2)+c |
|
|
|
|
Let u=8x2+2 which means du=16xdx. If we write the integral with respect to the new variable u we have
10.Soru
According to the graph of the given, what is the value of the integral
|
-1 |
|
1 |
|
-2 |
|
3 |
|
|
For , let A1 denote the area of the triangle under the x-axis and above the graph. For
let A2 denote the area of the triangle.
11.Soru
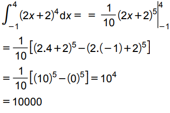
What is the valve of
|
10 |
|
100 |
|
1000 |
|
10000 |
|
100000 |
If we make a change of variables as
we get,
Returning back to the original variable x, we find that the antiderivative of f is
. Thus, the definite integral is
Therefore the correct answer is the D option.
12.Soru
|
|
|
|
|
|
|
|
|
|
Therefore the correct answer is the C option.
13.Soru
Suppose the market for grain is described by the given equations S(q) and D(q), where the supply is
and the demand is
What is the consumer surplus for this model?
|
0 |
|
1 |
|
2 |
|
3 |
|
4 |
The consumer surplus is evaluated taking into account the demand function.
Since the equilibrium point is
and
we have
Then the answer is C.
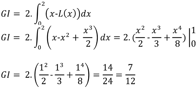
14.Soru
Calculate the Gini index for the following Lorenz function
|
7/12 |
|
7 |
|
4 |
|
4/7 |
|
2 |
Let us calculate the Gini index for the first function. Inserting the Lorenz function into the formula for the Gini index given above, we obtain
15.Soru
What is the value of
|
|
|
|
|
|
|
|
|
|
This integral can be calculated by change of variables. Let
then we get
Returning back to the original variable x, we find that the antiderivative of
Thus the definite integral is
The correct answer is D.
16.Soru
The rate of increase in the number of bacteria in a bacterial culture is proportional to the number of bacteria present. If number of bacteria in culture doubles in 5 hours, when will the number of bacteria reach to 16 times of the initial number?
|
20 |
|
18 |
|
16 |
|
12 |
|
10 |
To solve this problem, we should use
If we say
We know that
Cancelling the factor
and taking the logarithms of both sides
is found as
Hence, we have,
Lastly, to find
we will use
Thus,
The correct answer is A.
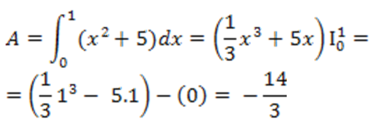
17.Soru
Evaluate the integral
|
-14/3 |
|
11/4 |
|
2 |
|
7 |
|
8 |
the correct answer is A.
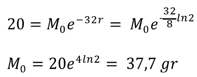
18.Soru
A radioactive isotope has a half-life of 4 days. You wish to have 20g at the end of 32 days. How much radioisotope should you start with? Round your answer to 1 decimal place.
|
35,2 |
|
37,7 |
|
42,5 |
|
47,6 |
|
52,5 |
According to the statement of the problem we wish to have a mass of 20g after 32 days, i.e. at t=32 M=20
19.Soru
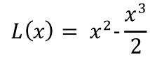
A country’s distribution of income is defined by the curve
What is the Gini index of this country?
|
|
|
|
|
|
|
|
|
|
The Gini index is calculated using the formula
where L(x) is the Lorenz curve. Inserting L(x) given in the question we find
Hence the correct answer D.
20.Soru
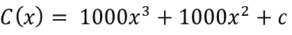
A unit change in the production cost of a house built at a number of x units is given by C' (x) =
If the number of houses to be built increases from 2 to 4, find the increase in the total cost
|
28000 |
|
40000 |
|
60000 |
|
68000 |
|
73000 |
Firstly, we need to determine the total cost function. This is achieved by integration as
Now, the cost of building 2 units is
When the production increases to 4 units we get
To find the increase of the cost, we calculate the difference which gives
-
- 1.SORU ÇÖZÜLMEDİ
- 2.SORU ÇÖZÜLMEDİ
- 3.SORU ÇÖZÜLMEDİ
- 4.SORU ÇÖZÜLMEDİ
- 5.SORU ÇÖZÜLMEDİ
- 6.SORU ÇÖZÜLMEDİ
- 7.SORU ÇÖZÜLMEDİ
- 8.SORU ÇÖZÜLMEDİ
- 9.SORU ÇÖZÜLMEDİ
- 10.SORU ÇÖZÜLMEDİ
- 11.SORU ÇÖZÜLMEDİ
- 12.SORU ÇÖZÜLMEDİ
- 13.SORU ÇÖZÜLMEDİ
- 14.SORU ÇÖZÜLMEDİ
- 15.SORU ÇÖZÜLMEDİ
- 16.SORU ÇÖZÜLMEDİ
- 17.SORU ÇÖZÜLMEDİ
- 18.SORU ÇÖZÜLMEDİ
- 19.SORU ÇÖZÜLMEDİ
- 20.SORU ÇÖZÜLMEDİ