Mathematics 2 Ara 8. Deneme Sınavı
Toplam 2 Soru1.Soru
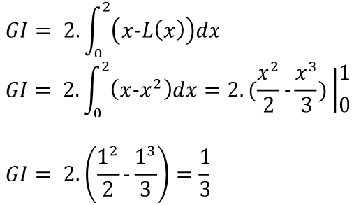
Calculate the Gini index for the following Lorenz function
|
1/3 |
|
7 |
|
7/3 |
|
10/3 |
|
8 |
Yanıt Açıklaması:
Let us calculate the Gini index for the first function. Inserting the Lorenz function into the formula for the Gini index given above, we obtain
2.Soru
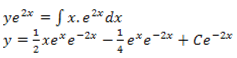
Which of the following is solution of the intial value problem
|
|
|
|
|
|
|
|
|
|
Yanıt Açıklaması:
Integrating factor
Integrating by parts
Therefore the general solution is
From initial condition
hence
Correct answer is C .