Mathematics 2 Ara 9. Deneme Sınavı
Toplam 19 Soru1.Soru
Let
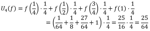
Calculate the lower sum of f for the partition
of the interval
|
|
|
|
|
|
|
|
|
|
Using the points
let us divide the interval
into four subintervals
and
Since the function f is an increasing function, it takes its smallest values at the left end of each interval. The length of each subinterval is
and
therefore
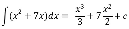
2.Soru
What is the indefinite integral of
|
|
|
|
|
|
|
|
|
|
the correct answer is C.
3.Soru
If you plan to deposit 1200 TL per year continuously into an account that pays 6% annual interest compounded continuously, what would be the amount in the account at the end of 10 years?
|
|
|
|
|
We need to calculate the future value of a continuous income stream, hence
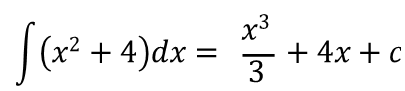
4.Soru
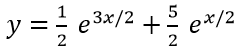
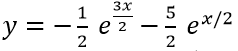
Find the general solution of
|
|
|
|
|
|
|
|
|
|
We assume that
and it then follows that m must be a root of the characteristic equation
Thus the possible values of
the general solution of the differential equation is
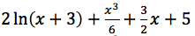
5.Soru
Which of the following functions is an antiderivative of
|
|
|
|
|
ln(x+3)+X3+x-5 |
|
|
|
|
Since
we clearly see that
6.Soru
Find the following integral
|
|
|
|
|
|
|
|
|
|
the correct answer is E.
7.Soru
What is the value of
|
-2 |
|
-1 |
|
0 |
|
1 |
|
2 |
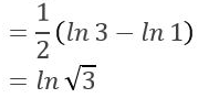
It is obvious that
which means the right answer is C.
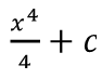
8.Soru
|
|
|
|
|
|
|
|
|
|
where c=c1+c2+c3. After these calculations we obtain the integral as
9.Soru
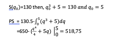
A certain item is supplied according to the rule S(q)=and its prices for an amount of units is 130 tl. What is the expected income?
|
518,75 |
|
519,75 |
|
520,75 |
|
521,75 |
|
522,75 |
10.Soru
What is the indefinite integral of
|
|
|
|
|
|
|
|
|
|
the correct answer is A.
12.Soru
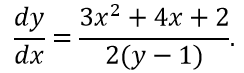
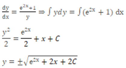
What is the solution of the initial value problem
|
|
|
|
|
|
|
|
|
|
Using the initial condition
hence “+” sign chosen
The correct answer is B.
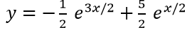
13.Soru
Find the solution of the initial value problem
|
|
|
|
|
|
|
|
|
|
If
then the characteristic equation is
and its roots are
Therefore the general solution of the differential equation is
Applying the initial conditions, we obtain the following two equations for
The solution of these equations is
and the solution of the initial value problem is
14.Soru
Find the general solution of the ODE
|
|
|
|
|
|
|
|
|
|
The differential equation can be written as
Integrating the left side with respect to
and the right side with respect to
gives
15.Soru
What is the future value at %20 compounded continuously for 3 years for the continuous income stream with a constant rate of flow f(t)=1200 ?
|
1400(1-e0,6) |
|
1200(e0,6-1) |
|
2400(e0,6-1) |
|
6000(e0,6-1) |
|
60000(1-e0,6) |
For this question, we only need to apply formula for the future value of an income. Since the time period T=3 and the interest rate r=0,2 is given, we have,
16.Soru
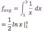
Which of the following is the mean value of the function
,
between x=1, x=3?
|
|
|
|
|
|
|
|
|
|
The average value is calculated using the definite integral as follows:
17.Soru
Which of the following options is indicated by a demand curve?
|
what price consumers are prepared to pay for a hypothetical quantity of a good, based on their expectation of private benefit |
|
what price consumers actually pay |
|
Marginal profit |
|
The expectation of common benefit |
|
A quantity goods based on producer’s expectation of common benefit |
Consumer surplus is derived whenever the price a consumer actually pays is less than they are prepared to pay. A demand curve indicates what price consumers are prepared to pay for a hypothetical quantity of a good, based on their expectation of private benefit.
18.Soru
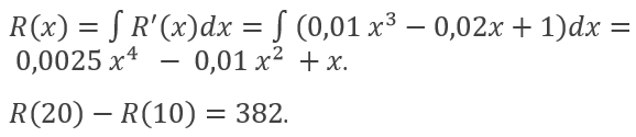
If the marginal revenue for selling x units of a product is defined by
|
378 |
|
379 |
|
380 |
|
381 |
|
382 |
The total revenue function may be found by integrating the marginal revenue, so that we have
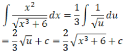
19.Soru
What is the solution to the integral
|
|
|
|
|
|
|
|
|
|
Let us use the change of variables method. Let u=x3+6 which gives
Substituting these values into the integral we get
where c is an arbitrary real number.
-
- 1.SORU ÇÖZÜLMEDİ
- 2.SORU ÇÖZÜLMEDİ
- 3.SORU ÇÖZÜLMEDİ
- 4.SORU ÇÖZÜLMEDİ
- 5.SORU ÇÖZÜLMEDİ
- 6.SORU ÇÖZÜLMEDİ
- 7.SORU ÇÖZÜLMEDİ
- 8.SORU ÇÖZÜLMEDİ
- 9.SORU ÇÖZÜLMEDİ
- 10.SORU ÇÖZÜLMEDİ
- 11.SORU ÇÖZÜLMEDİ
- 12.SORU ÇÖZÜLMEDİ
- 13.SORU ÇÖZÜLMEDİ
- 14.SORU ÇÖZÜLMEDİ
- 15.SORU ÇÖZÜLMEDİ
- 16.SORU ÇÖZÜLMEDİ
- 17.SORU ÇÖZÜLMEDİ
- 18.SORU ÇÖZÜLMEDİ
- 19.SORU ÇÖZÜLMEDİ