Mathematics 2 Final 1. Deneme Sınavı
Toplam 19 Soru1.Soru
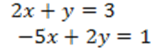
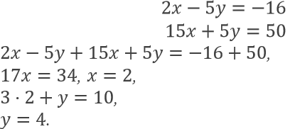
Which of the following is the point of intersection of the lines given by
|
(4,3) |
|
(7,6) |
|
(3,4) |
|
(2,4) |
|
(4,2) |
Multiply both sides of the second equation by 5 and add to the first equation:
The correct answer is D.
2.Soru
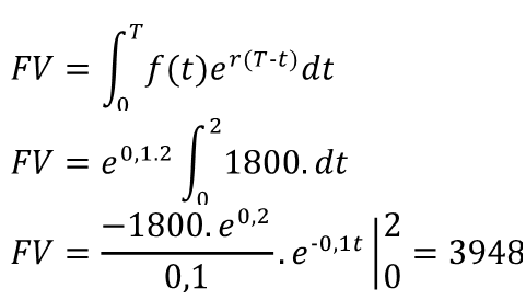
Money transferred continuously into an account at the constant rate of 1800 TL per year. The account earns interest at an annual rate of 10% compounded continuously. How much money will there be in the account at the end of 2 years?
|
2000 |
|
3948 |
|
11000 |
|
19000 |
|
24500 |
f (t) = 1800. The interest rate tells us that r = 0,1 and the time period is T = 2 years, so that the future value of the money is
3.Soru
Which of the following points belongs to the region determined by the inequality 5x-y≤-12?
|
(-2,0) |
|
(-1,3) |
|
(1,16) |
|
(0,11) |
|
(-2,3) |
When we check each point:
4.Soru
In the following graph, what is the largest vertex degree?
|
1 |
|
2 |
|
3 |
|
4 |
|
5 |
Degrees of all vertices are given below
Hence the largest vertex degree is 4. Correct answer is D.
5.Soru
Which one of the following matrix is the inverse of the matrix A?
|
|
|
|
|
|
|
|
|
|
6.Soru
In a certain market, demand function is given by
and supply function is
for a certain product. What is the equilibrium point?
|
(2,5) |
|
(2,12) |
|
(1,5) |
|
(1,12) |
|
(2,17) |
We would like to find the point
satisfying
Since
we have
We get
and hence
Therefore, the right answer is E.
7.Soru
RSA şifrelemesi kullanan alıcı
sayılarını seçmiştir. Ona gönderilecek şifreli sayıyı okumak için gerekli gizli
sayısı aşağıdakilerden hangisidir?
|
4 |
|
5 |
|
6 |
|
7 |
|
8 |
koşulunu sağlayan en küçük pozitif sayı olduğuna göre
denkliğinden
sayısı 5 olmalıdır. Doğru cevap B’dır.
8.Soru
Which of the following is true about the graphical interpretation of the system of linear equations
|
Two lines intersect at the point |
|
Two lines are parallel. |
|
Two lines are identical. |
|
Two lines intersect at the point |
|
Two lines intersect at the point |
We multiply the second equation by 2, then the linear equations become
Now we add the equations to eliminate the term
then one gets
If we back-subsitute
into the equations
we obtain
Then these lines intersect at the point
9.Soru
Let
and
what is the value
|
5 |
|
4 |
|
3 |
|
2 |
|
1 |
Since
Then we write
Since
is given from the equation
Correct answer is D .
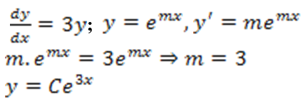
10.Soru
Which of the following is the general solution of the ODE
|
|
|
|
|
|
|
|
|
|
Therefore, the correct answer is B.
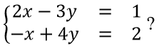
11.Soru
What is the determinant of the coefficent matrix of the above lineer system?
|
10 |
|
9 |
|
8 |
|
7 |
|
6 |
The coefficient matrix of the linear system
Is
Then determinant of the matrix
Correct answer is B.
12.Soru
Given that the points
are the corner points of the constraint set , which of the following is the maximum value of the function
|
40 |
|
99 |
|
100 |
|
133 |
|
140 |
Correct answer is D
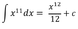
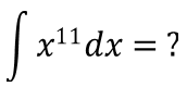
13.Soru
What is the indefinite integral of
|
|
|
|
|
|
|
|
|
|
the correct answer is E.
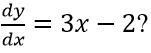
14.Soru
What is the general solution of the differential equation
|
|
|
|
|
|
|
|
|
|
This is a 2nd order homogenous ODE’s with constant coefficient so we start from the trial solution
Substituting these results in the ODE gives
so we get,
Then the general solution is
The correct answer is B.
15.Soru
Türkçe alfabedeki 29 harf A=0, B=1, … , Z=28 şeklinde kodlansın. Aşağıdakilerden hangisi Sezar şifrelemesinde
fonksiyonu kullanılarak “ZİL” sözcüğünün şifrelenmişidir?
|
ÜŞI |
|
ÜŞR |
|
RIŞ |
|
ÜRI |
|
IŞÜ |
Z=28, İ=11 ve L=14 olarak kodlandığından,
olduğundan I=10, Ş=22 ve Ü=25 şeklinde kodlandığından doğru cevap E’dir.
16.Soru
How should
be chosen so that the lines
intersect at the point
|
|
|
|
|
|
|
|
|
|
Since the intersection point
lies on both lines
the equations
Must be satisfied then, on has
Correct answer is C.
17.Soru
The corner points of the constraint set of the goal function f are (0, 0), (0, 8), (4, 5), (7, 0). Which of the following is the maximum value of the function f = 5x + 2y?
|
15 |
|
20 |
|
30 |
|
35 |
|
40 |
(0,0) , F = 5.0 +2.0 = 0,
(0,8) , F = 5.0 +2.8 = 16
(4,5) , F = 5.4 +2.5 = 30
(7,0) , F = 5.7 +2.0 = 35, max value =35
18.Soru
What are the values of and z for the following system of equations if the inverse matrix of the coefficient matrix is
|
|
|
|
|
|
|
|
|
|
To solve the matrix equation
we multiply both sides of the equation by
on the left, getting
is the identity
The matrix equation above implies that
19.Soru
What is the solution of the differential equation
|
|
|
|
|
|
|
|
|
|
Correct answer is B.
-
- 1.SORU ÇÖZÜLMEDİ
- 2.SORU ÇÖZÜLMEDİ
- 3.SORU ÇÖZÜLMEDİ
- 4.SORU ÇÖZÜLMEDİ
- 5.SORU ÇÖZÜLMEDİ
- 6.SORU ÇÖZÜLMEDİ
- 7.SORU ÇÖZÜLMEDİ
- 8.SORU ÇÖZÜLMEDİ
- 9.SORU ÇÖZÜLMEDİ
- 10.SORU ÇÖZÜLMEDİ
- 11.SORU ÇÖZÜLMEDİ
- 12.SORU ÇÖZÜLMEDİ
- 13.SORU ÇÖZÜLMEDİ
- 14.SORU ÇÖZÜLMEDİ
- 15.SORU ÇÖZÜLMEDİ
- 16.SORU ÇÖZÜLMEDİ
- 17.SORU ÇÖZÜLMEDİ
- 18.SORU ÇÖZÜLMEDİ
- 19.SORU ÇÖZÜLMEDİ