Mathematics 2 Final 10. Deneme Sınavı
Toplam 20 Soru1.Soru
Rüya has a budget of 46000tl for a car where she able to buy the model she want for a price of 40000tl. If the demand function for a car is given buy D(q)=46000-15q2 , what is the consumer surplus?
|
195375 |
|
196375 |
|
197375 |
|
198375 |
|
199375 |
2.Soru
Which of the following is the point of intersection of the lines given by 16x-2y=11 and 17x-4y=15?
|
(23/5, -45/2) |
|
(7/15, -53/30) |
|
(8/13, -42/35) |
|
(-6, -43/18) |
|
(-12/7, 5/8) |
To answer this question we need to solve both equations simultaneously. So, multiply the first equation with -2 and add the two equations together:
Now, substitute this value of x into any one of the equations to obtain the value y=-53/30. Hence the correct answer is B.
3.Soru
If the corner points of the constraint set are (0,0), (0,5), (5,0), (6,10), (2,7) then what is the maximum value of the function
|
92 |
|
82 |
|
72 |
|
52 |
|
35 |
When we calculate the values we obtain:
Thus, the maximum value is 82
4.Soru
What is the solution of the above system of linear equations?
|
|
|
|
|
|
|
|
|
|
We multiply first equation by 2 obtain the cofficient of the
to have different signs. Hence the linear equations become
Now we add the equations to eliminate the term
then one has
into the equation
we obtain
The solution is the ordered pair
Correct answer is C.
5.Soru
In the following graph, how many of the vertices have degree 3?
|
13 |
|
11 |
|
8 |
|
6 |
|
4 |
As we can see below, the brown circles are the vertices that has degree three, which gives the answer as 4.
The correct answer is E.
6.Soru
Consider the bimatrix game
Which of the following is the Nash equilibrium pair?
|
(1st row, 2nd column) |
|
(3rd row, 2nd column) |
|
(2nd row, 3rd column) |
|
(2nd row, 2nd column) |
|
(1st row, 3rd column) |
Consider the pair (4,6). The first component 4 is the greatest among the first components in the 2nd column. The second component 6 is also the greatest among the second components in the 3rd row. Therefore (3rd row, 2nd column)is an equilibrium pair.
7.Soru
The corner points of the constraint set are (0,0), (0,-1), (1,-2), (3,-3), (4,1). What is the minimum value of the goal function f=-2x+3y?
|
-20 |
|
-15 |
|
-10 |
|
-5 |
|
0 |
When we evaluate the values of given corner points under the goal function f:
Hence the minimum value of given constraint set is -15
8.Soru
A country’s distribution of income is defined by the Lorenz curve
What is the Gini index of this country?
|
|
|
|
|
|
|
|
|
|
The Gini index is calculated using the formula
where L(x) is the Lorenz curve. Inserting L(x) given in the question we find;
Therefore the correct answer is the C option.
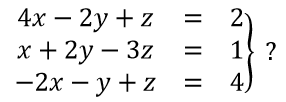
9.Soru
Which of the following is the determinant of the coefficient matrix of the system of linear equations
|
-21 |
|
9 |
|
-11 |
|
18 |
|
15 |
The coefficient matrix of the given system of linear equations is
We find the determinant of the coefficient matrix using Sarrus’ rule:
and we find
10.Soru
Which of the following is the maximin strategy for Player I , if matrix game is given as
|
1 st row |
|
2 st row |
|
3 nd column |
|
2 nd row |
|
4 nd row |
Minimum
Minimum
Minimum
Minimum
The maximum of the numbers -5,6,-1,1 is 6 .The corresponding row is the 2 nd row.
Correct answer is D
11.Soru
A planar graph has 3 vertices and 6 edges. What is the number of regions of the graph?
|
4 |
|
3 |
|
5 |
|
1 |
|
2 |
Let G be a connected planar graph with n vertices and m edges, and let f be the number of regions in any plane diagram of G. Then f + n = m + 2 holds. This is called Euler’s theorem on planar graphs. Now for n=3 and m=6 we have f=6-3+2=5, which is the number of regions. Thus the correct answer is C.
12.Soru
The supply curve of a certain product is given by
What is the producer surplus when 10 units of this product are sold?
|
6 |
|
7 |
|
8 |
|
9 |
|
10 |
The price may be found as S(10) = 2 + 2 = 4. Using the integral formula for the producer surplus, we obtain:
which is the required answer. E is the correct answer.
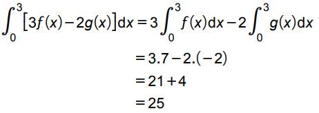
13.Soru
It is known that on the interval [0, 3], the functions f and g satisfy
and
. What is the value of
|
17 |
|
19 |
|
21 |
|
23 |
|
25 |
From the linearity of the integral, we find
Therefore the correct answer is the E option.
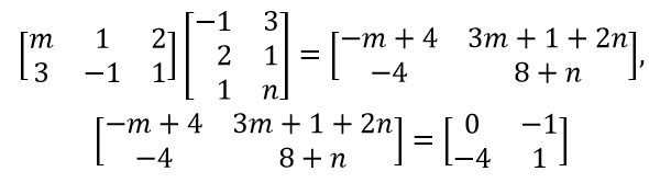
14.Soru
If
what are the values of
|
|
|
|
|
|
|
|
|
|
Since
we obtain
Hence
15.Soru
Which of the following is the point of intersection of the lines given by x - 2y = 8 and 2x - 2y = 10?
|
(1, 1) |
|
(-2, -6) |
|
(4, 6) |
|
(10, 8) |
|
(-5, 8) |
x - 2y = 8 -2x + 4y = -8
2x - 2y = 10 2x - 2y = 10
y = 1, x – 2(1) =8, x = 10, (10, 8)
16.Soru
If
what is the determinant of the matrix
?
|
16 |
|
-16 |
|
8 |
|
-8 |
|
-32 |
Since
one has
17.Soru
|
-6 |
|
9 |
|
-8 |
|
-14 |
|
-16 |
6=k.(-1)-1.8
k= -14
18.Soru
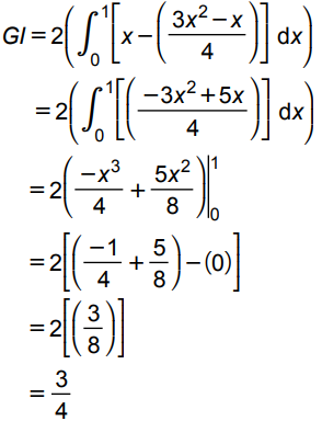
What is the area of the region bounded by the curve
and the axes?
|
|
|
|
|
|
|
|
|
|
Since the curve intersects the
required area is evaluated with the definite integral
and the limits of integration are changed from 0 to 4. Therefore, we have
The right answer is E.
19.Soru
Given the system of linear inequalities
which of the following points is corner point of the constraint set?
|
(6, 0) |
|
(-4, 0) |
|
(-2, 10) |
|
(0, 4) |
|
(2, 3) |
We need to solve the equations two at a time. Observe that
For the point (0, 4) if we insert this point into first inequality we see that
is not true. Also for the point (6, 0) if we insert this point into the third inequality we see that
is not true. Therefore the points (0, 4) and (6, 0) do not belong the constraint set. The corner points for the constraint set are (0, 3), (-4, 0), (0, 0) and (-2/3, 10/3). Hence the correct answer is B.
20.Soru
There are 8 teams in a football league and first week is completed in this leauge. But one of the first week’s game is postponed due to the bad weather conditions. Which of the following graphs is represent the current situation of the league?
|
|
|
|
|
|
|
|
|
|
Since there are 8 teams in this league, the corresponding graph must have 8 vertices.
-
- 1.SORU ÇÖZÜLMEDİ
- 2.SORU ÇÖZÜLMEDİ
- 3.SORU ÇÖZÜLMEDİ
- 4.SORU ÇÖZÜLMEDİ
- 5.SORU ÇÖZÜLMEDİ
- 6.SORU ÇÖZÜLMEDİ
- 7.SORU ÇÖZÜLMEDİ
- 8.SORU ÇÖZÜLMEDİ
- 9.SORU ÇÖZÜLMEDİ
- 10.SORU ÇÖZÜLMEDİ
- 11.SORU ÇÖZÜLMEDİ
- 12.SORU ÇÖZÜLMEDİ
- 13.SORU ÇÖZÜLMEDİ
- 14.SORU ÇÖZÜLMEDİ
- 15.SORU ÇÖZÜLMEDİ
- 16.SORU ÇÖZÜLMEDİ
- 17.SORU ÇÖZÜLMEDİ
- 18.SORU ÇÖZÜLMEDİ
- 19.SORU ÇÖZÜLMEDİ
- 20.SORU ÇÖZÜLMEDİ