Mathematics 2 Final 11. Deneme Sınavı
Toplam 19 Soru1.Soru
What is the solution of the differential equation
|
|
|
|
|
|
|
|
|
|
This is a separable differential equation hence we may write
This may be rewritten as
if we say
then the solution is
The correct answer is A.
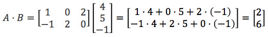
2.Soru
then which of the following matrices equals to the matrix A.B ?
|
|
|
|
|
|
|
|
|
|
Since A is type of 2x3 and B is type of 3x1 then the matrix A.B must be type of 2x1. When we multiply these matrices we obtain
3.Soru
For the matrix game
which of the following is the sum of the lower and upper values?
|
-1 |
|
0 |
|
1 |
|
2 |
|
3 |
maximum {-1,0,-8}=0 and minimum {2,4,6,3}=2. Hence, 2+0=2. So the answer is D.
4.Soru
Which of the following graphs is not complete?
|
|
|
|
|
|
|
|
|
|
It is known that in a complete graph all of the vertices are adjacent to each other.
5.Soru
What is the guaranteed value for Player I in the matrix game
if Player I chooses 2nd row?
|
0 |
|
1 |
|
2 |
|
3 |
|
4 |
If the first player chooses 2nd row, the guaranteed value (income) for him is the minimal element of this row. minimum {1,3,4,2} = 1. Hence the answer is B.
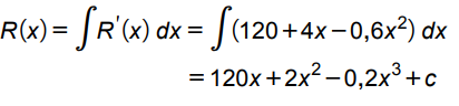
6.Soru
If the marginal revenue for selling x units of a product is defined by
What is the total revenue if the sale increases from 10 units to 20 units?
|
3500 |
|
3600 |
|
3700 |
|
3800 |
|
3900 |
The total revenue function may be found by integrating the marginal revenue, so that we have
Now we need to calculate R(30) – R(20) .
Hence the answer is D.
7.Soru
If
what is
|
1 |
|
2 |
|
3 |
|
4 |
|
5 |
Since
then
is obtained. Since
is given, we should have
From this equation one has
Then answer is
8.Soru
Given the matrix game
which of the following is equilibrium pair?
|
(1st row, 3rd column ) |
|
(2nd row, 4th column ) |
|
(2nd row, 2nd column ) |
|
(3rd row, 2nd column ) |
|
(3rd row, 4th column ) |
For each row write the lowest element to the right, and for each column write the greatest element below the matrix
maximum {-3,-4,-1} = -1, minimum {2,-1,6,7} = -1. There exists an equilibrium pair (3rd row, 2nd column). The number -1, which lies in the intersection of 3rd row and 2nd column, is the lowest in the 3rd row, is the greatest in the 2nd column. Answer is D.
9.Soru
Which one of the following is the set of all neighbours of the vertex a?
|
|
|
|
|
|
|
|
|
|
Since only b,c,d,e are adjacent to a, the answer is A.
10.Soru
Plane diagram of a connected planar graph has 5 vertices and 4 regions. What is the number of edges of the graph?
|
5 |
|
6 |
|
7 |
|
8 |
|
9 |
We know by Euler’s theorem on planar graphs that the number of edges is equal to m = f + (n -2). Hence, the number of edges is 5+ (4 – 2) = 7. Answer is C.
11.Soru
|
12 |
|
25 |
|
36 |
|
52 |
|
72 |
We can directly calculate the integral
The correct answer is E.
12.Soru
Given the matrix game
what is the minimax strategy of Player II?
|
1st column |
|
2nd column |
|
3rd column |
|
4th column |
|
5th column |
minimum {4,0,2,2,3}=0. The number 0 corresponds to the 2nd column. Hence the answer is B.
13.Soru
Which of the following is the lower value of the game below?
|
-6 |
|
-4 |
|
-3 |
|
0 |
|
1 |
The lower value is the guaranteed result for Player I, the upper value is the guaranteed result for Player II. Player I, by choosing a row, maximizes the obtained element. Considering this, player needs to analyze each row to find the lower value on each row and then choosing the maximum among those numbers will give him the result. Each row has the lower value -6, -3 and -4 respectively. So max {-3, -4, -6} =-3 is obtained hence the correct answer is B.
14.Soru
Find the determinant matrix of A?
|
6 |
|
9 |
|
11 |
|
13 |
|
16 |
15.Soru
Which of the following is the maximum value of
subject to the conditions
|
20 |
|
21 |
|
22 |
|
23 |
|
24 |
The constraint set has five corner points:
The maximum value of the goal function at these points is attained at the point
This value is 23.
The correct answer is D.
16.Soru
If the marginal revenue for selling x units of a product is defined by
What is the total revenue if the sale increases from 10 units to 20 units?
|
80 |
|
160 |
|
200 |
|
240 |
|
400 |
The total revenue function may be found by integrating the marginal revenue, so that we have
Now we need to calculate R(20) – R(10) and since we are taking a difference we do not need the value of the integration constant c.
Therefore the correct answer is the E option.
17.Soru
Given the matrix game
which of the following is the equilibrium pair?
|
(1st row, 2nd column) |
|
(2nd row, 1st column) |
|
(2nd row, 2nd column) |
|
(2nd row, 3rd column) |
|
(3rd row, 3rd column) |
If in the game matrix, there exists an element which is smallest in its row and greatest in its column then this row-column pair is an equilibrium pair. For each row write the lowest element to the right, and for each column write the greatest element below the matrix:
Now, observe that max {-1, 0, 2} = 2 and min {2, 3, 4} = 2. Therefore, (2nd row, 3rd column) is an equilibrium pair. The correct answer is D.
18.Soru
Which of the following graphs represent the solution set of inequality
|
|
|
|
|
|
|
|
|
|
is straight line with x-axis intercept (3,0), y-axis intercept (0,2). The point (0,0) statisfies
therefore (0,0) belongs to the half plane
Correct answer is B
19.Soru
Find the solution of initial value problem
|
|
|
|
|
|
|
|
|
|
Let us put
and substitute it into the differential equation. Then the characteristic equation is
We can write the solution like
Using initial conditions
we have
Hence
The correct answer is D.
-
- 1.SORU ÇÖZÜLMEDİ
- 2.SORU ÇÖZÜLMEDİ
- 3.SORU ÇÖZÜLMEDİ
- 4.SORU ÇÖZÜLMEDİ
- 5.SORU ÇÖZÜLMEDİ
- 6.SORU ÇÖZÜLMEDİ
- 7.SORU ÇÖZÜLMEDİ
- 8.SORU ÇÖZÜLMEDİ
- 9.SORU ÇÖZÜLMEDİ
- 10.SORU ÇÖZÜLMEDİ
- 11.SORU ÇÖZÜLMEDİ
- 12.SORU ÇÖZÜLMEDİ
- 13.SORU ÇÖZÜLMEDİ
- 14.SORU ÇÖZÜLMEDİ
- 15.SORU ÇÖZÜLMEDİ
- 16.SORU ÇÖZÜLMEDİ
- 17.SORU ÇÖZÜLMEDİ
- 18.SORU ÇÖZÜLMEDİ
- 19.SORU ÇÖZÜLMEDİ